导读:
为了提升新能源汽车动力电池回收利用效率,完善城市动力电池回收网络。考虑回收质量与价格不确定性,以及政府补贴、“碳减排”影响,引入模糊参数,建立多节点、多周期不确定型动力电池回收网络选址模型。通过导入三角模糊数,将此模型转化为清晰等价类,最后以哈尔滨市动力电池回收网络优化为研究背景进行实例分析,采用多目标线性加权规划和编程进行计算求解,得出不确定条件下的优化结果,并根据结果绘制出哈尔滨动力电池回收网络示意图及地理分布。结论得出在回收质量和回收价格不确定的条件下,得到动力电池回收网络优化方法最优方案,提高废旧电池回收率和回收质量的同时,避免资源浪费及环境污染。并通过Pareto深度学习可以确定动力电池回收网络经济成本与环境成本合理权值。
01
基本信息:
回收质量与价格不确定下城市动力电池回收网络优化研究
Research on Optimization of Urban Power Battery Recycling Networks Based on Uncertain Recycling Quality and Price
作者:
马成林, 雷湘豫*, 张 琳, 高续瑞, 韩宇坤:东北林业大学土木与交通学院,黑龙江 哈尔滨
关键词:
动力电池回收网络;多目标;不确定性
项目基金:
黑龙江省自然科学基金项目:LH2023G002
中央高校基本科研业务费专项资金资助项目:2572022BL02
国家自然科学基金项目:62176050
大学生创新训练项目:202310225625
原文链接:
https://doi.org/10.12677/mse.2025.143075
02
内容简介:
在汉斯出版社《管理科学与工程》期刊上,有论文研究我国动力电池回收网络,构建考虑碳减排影响的动力电池逆向物流网络。
完整的动力电池回收网络结构如图1所示。
本文构建的不确定型网络模型中,回收电池质量的不同直接影响预期收益,因此假设回收服务中心i回收电池的电池容量在40%至80%之间的比率为模糊变量θ˜i1 ,回收价格为H˜1 ;则回收服务中心i回收电池的电池容量在40%以下的比率为θ˜i2 ,回收价格为H˜2 。
对此回收过程作出以下假设:1) 认为此回收网络为单周期,并以单产品形式流通,单位回收与处理价格已知固定,每个回收服务网点回收的电池数目为已知量。2) 备选的回收中心、处理中心的位置和数量是已知条件,其投资和运营成本是已知数额,其回收、处理能力均有限制。3) 回收服务网点、回收中心及处理中心之间的单位运输成本已知,运输距离均按地图软件中车辆驾驶最短距离来算,并假设为单程运输。4) 各区域内动力电池回收量为已知量。5) 政府对各环节的单位补贴为已知量,且同一环节内单位补贴金额相同。6) 本文只考虑运输过程中碳排放对环境的影响,且碳排放成本只与运输距离和运输量有关,回收处理过程中的碳排放影响暂不考虑。
本文在建模中所涉及到的所有变量符号的具体含义描述如表1所示。
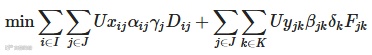
1) 目标函数
首先考虑动力电池回收网络以建设和运营成本最小为优化目标的模型,如公式(1)所示。
其次考虑动力电池回收网络以环境影响成本最小为优化目标的模型,如公式(2)所示。
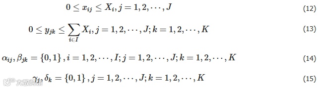
2) 约束条件
回收服务网点约束:
回收中心约束:
处理中心约束:
决策变量约束:
以哈尔滨市动力电池回收网络优化为研究背景,进行算例分析。
结论
1) 构建了我国新能源汽车动力电池回收网络模型,建立多目标数学模型,通过模型求解验证其有效性。在回收质量和回收价格不确定的条件下,动力电池回收网络优化方法得出最优方案的经济成本与环境成本,提高废旧电池回收率和回收质量的同时,避免资源浪费及环境污染。
2) 考虑环境成本的不确定条件下动力电池回收网络优化结果所产生的经济成本明显低于环境成本,即损失较小的经济效益,将带来更好的生态效益。通过哈尔滨实例测算,从“只考虑经济成本”到“经济与生态兼顾”,只需付出0.93万元的经济成本,即可降低环境成本67.55万元。
3) 不确定条件下动力电池回收网络模型在不同权值影响下优化结果的波动性较大,通过Pareto进行深度学习训练,可以找到多目标Pareto最优解。通过实例测算,哈尔滨市动力电池的回收网络多目标权值点为(0.7, 0.3)。
03
相关文章:
1.任鹏, 刘华琼. 考虑回收质量和风险值的动力电池逆向物流网络设计[J]. 管理科学与工程, 2024, 13(6): 1126-1136. https://doi.org/10.12677/mse.2024.136123
2.柴霞, 徐琪. 政府差异化补贴下动力电池混合回收定价及渠道选择研究[J]. 管理科学与工程, 2025, 14(1): 19-29. https://doi.org/10.12677/mse.2025.141003
3.崔梦煬. 押金制度下的动力电池回收动态演化博弈研究[J]. 运筹与模糊学, 2025, 15(2): 750-759. https://doi.org/10.12677/orf.2025.152122
4.乐嘉, 贾永基. 考虑梯次利用的动力电池回收供应链网络规划[J]. 管理科学与工程, 2024, 13(1): 13-24. https://doi.org/10.12677/MSE.2023.131002
5.陈奕麟. 车辆动力电池回收的演化博弈分析[J]. 运筹与模糊学, 2024, 14(3): 876-884.
https://doi.org/10.12677/orf.2024.143323
所属期刊
-Management Science and Engineering-
《管理科学与工程》是一本开放获取、关注管理工程领域最新进展的国际中文期刊,反映本领域研究成果及其在生产实践中的应用成果,主要刊登管理工程与科学方面的学术论文、成果报道及评述。本刊支持思想创新、学术创新,倡导科学,繁荣学术,集学术性、思想性为一体,旨在给世界范围内的科学家、学者、科研人员提供一个传播、分享和讨论该领域内不同方向问题与发展的交流平台。
声明:本文转载仅仅是出于传播信息的需要,并不意味着代表本公众号观点或证实其内容的真实性;如其他媒体、网站或个人从本公众号转载使用,须保留本公众号注明的“来源”,并自负版权等法律责任。如本公众号内容不妥,或者有侵权之嫌,请先联系小编删除,万分感谢!
投稿联系:027-86758873
QQ:2194278918
微信号:15802748706
投稿邮箱:2194278918@qq.com
合作联系:service@hanspub.org
点击“阅读原文”,免费下载论文

