搜索
首页
大数快讯
大数活动
服务超市
文章专题
出海平台
流量密码
出海蓝图
产业赛道
物流仓储
跨境支付
选品策略
实操手册
报告
跨企查
百科
导航
知识体系
工具箱
更多
找货源
跨境招聘
DeepSeek
首页
>
【每日一词】什么是时间加权收益率?
>
0
0
【每日一词】什么是时间加权收益率?
鹿可家族顾问
2022-05-26
0
导读:更多内容欢迎微信搜索关注“鹿可百科”小程序。
什么是
时间
加权收益率?
时间加权收益率是一种衡量投资组合复合增长率的指标,它体现了若干个时间周期内投资组合的最终收益。
鹿可要点提示
时间加权收益率主要用于计算投资经理的业绩表现或股票收益。
时间加权收益率可消除在投资组合存续期间资金流入、流出对收益率带来的影响。
时间加权收益率本身不需做几何平均,但以子周期数做几何平均可得到年化收益率。
时间加权收益率计算方法
时间加权收益率示例
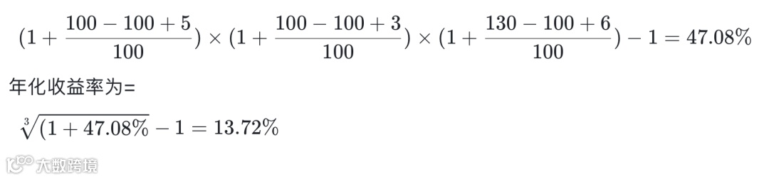
假设您在今年年初以100万美元投资一只股票,该股票第一年向您发放5万美元股息,第二年向您发放3万美元股息,第三年向您发放6万美元股息,同时在第三年末您将该股票全部卖出,获得130万美元,则:
您在这只股票上获得的时间加权收益率=
— END —
往期精彩文章推荐
关于鹿可
我们是一家位于
新加坡
的联合家族办公室,由顶级海外金融机构和一线科技互联网公司专业团队组成,为科技新贵提供资产管理、法律税务咨询等一站式家族办公室
服务
。
免责声明:本公众号文章仅供交流,并非鹿可对任何人的投资邀约或建议。
【声明】内容源于网络
0
0
鹿可家族顾问
鹿可致力于发现和投资全球顶级基金和科技独角兽,帮中国新贵用资本和智慧为更美好的世界投票;用极致的透明 + 极致的用户参与,陪伴中国科技新贵从财富自由走向自我实现。
内容
380
粉丝
0
关注
在线咨询
鹿可家族顾问
鹿可致力于发现和投资全球顶级基金和科技独角兽,帮中国新贵用资本和智慧为更美好的世界投票;用极致的透明 + 极致的用户参与,陪伴中国科技新贵从财富自由走向自我实现。
总阅读
178
粉丝
0
内容
380
在线咨询
关注