
近日,崔永元怒怼范冰冰事件继续发酵,围绕着影视明星们通过“阴阳合同”逃税问题引发广泛关注。

个税原本是中国调节贫富差距的重要手段,但是近年来,勤勤恳恳“搬砖”的工薪族却成了缴纳个税的主力军!
有数据显示,月均收入在8000-38500元的人占工薪人群的比例仅为8.4%,却贡献了58%的工薪个税。
这些人具有以下特征:80后,年龄在26-35岁之间;主要从事教育业、制造业、金融和IT;本科为主,受过良好的教育。北上广的工薪阶层,是贡献个税主力军中的主力军。
而月均收入超过38500元的人,对工薪个税收入的贡献却不到17%。

个人所得税,是减小收入差距、调节富人收入的重要手段。但事实上,它真的起到这个作用了吗?
“中国的个税对收入差距的调节作用微乎其微” 
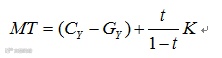
这是一个经济学模型,叫MT指数。公式看起来很复杂,也很难懂,但是只要换一个说法,你就会明白——基尼系数。
基尼系数是用来衡量一个国家贫富差距的指数,它的值在0-1之间,数值越大,证明贫富差距越大,这大家都知道。但你可能不知道的是,其实个税对基尼系数也存在调节作用。
MT指数,就是衡量这个调节作用的指标。它是用个税调节前的基尼系数减去个税调节后的基尼系数。这个差值越大,证明调节富人收入的作用越明显。
美国、德国、法国、英国等国家,它们的税前基尼系数都在0.4以上,而0.4是国际公认的警戒线,也就是说超过这个数字,社会不稳定的可能性会增大。但经过个税的调节作用后,这些国家的基尼系数大幅下降0.2左右,回到了警戒线以下。
但中国呢,个税对基尼系数的调节作用只有0.01左右,仅为这些国家调节作用的1/20左右,即便调节之后,税后基尼系数仍然在警戒线0.4以上,说明个税并没有对调节富人的收入起到太大作用。


为什么会这样?这还要从中国的11项个人所得税税目说起。
网易财经、网易专业智库网易研究局进行了大量数据统计,采访和调查了共计50余位财税专家、官员和企业家,调查了5万多位劳动者,独家获得关于个税背后的秘密——
“超过六成个税收入来自工薪所得个税已沦为“工薪税”!
在中国,个税的征收内容一共有11项,我们挣的工资只是众多需要纳税的内容中的一项,除了工资之外,包括股息、红利、稿酬等等都需要交税。11项内容很多,但其中工资与我们的关系最为密切。

但令人惊讶的是,正是与我们关系最为密切的工资,常年一如既往地贡献着个税的大部分收入。
2014年,工资薪金所得在个税收入中的占比为65.3%,意味着超过六成的个税收入来自工薪所得,也就是说,其他10项个税的征收内容加起来,在个税收入中的占比都比不上工薪一项所贡献的个税。

更令人意想不到的是,2014年并不是孤本,个税收入中的工薪个税占比一直都居高不下,2005年到2014年10年间,工资薪金所得在个税收入中占比一直在50%以上,且10年间由55.5%增加到65.3%,增加了近10%。

也就是说,工薪在个税收入中的占比越来越大,工薪阶层多年来稳定地承担着缴纳个税的“主力军”角色。
“中国至多有1.53亿人在缴纳个税”
中国到底有多少人在缴纳个税?2011年个税免征额由2000元调至3500元后,时任财政部税政司副司长王建凡曾在发布会上给出一个数字:2400万人,这是官方给出的数据。
难道在一个有7.76亿就业人口的劳动力大国,交个税的人只有2000多万人?西南财经大学经济与管理研究院特聘院长甘犁给出的数据更乐观一点,他推算中国交个税的人有1.53亿人。但即便是按照这个最乐观的数据计算,中国也只有不到两成的就业人口在缴个税。
“8.4%的工薪阶层贡献了近六成工薪个税”
更惊人的还在后面,这几千万交个税的人里,个税的主要贡献者不是富人,而是收入较高的工薪群体。
西南财经大学中国家庭金融调查与研究中心的数据显示,月均收入在8000-38500元的人占工薪人群的比例仅为8.4%,但却贡献了58%的工薪个税。
那更高收入的人呢?他们的工薪所得被个税调节了吗?答案是没有。月均收入超过38500元的人,对工薪个税收入的贡献不到17%。在中国真正交个税的主力是工薪阶层而非富人,这与个税调节富人收入的初衷并不相符。
网易研究局对包括余永定、邱晓华、姚洋、黄有光等46名知名经济学家和数万名网友进行了个税问题的问卷调查,其中,认为中国目前工薪阶层税负过重的经济学家达到79.55%, 28067名网友中持这一观点的网友比例高达96%。

也就是说,无论是经济学界、还是普通民众,都主要传递出一种声音:当前的个税税负过重。
你是这8.4%吗?网易研究局对这8.4%的人进行了细分,月收入在8000-38500元缴纳个税的工薪阶层都是哪些人?
这8.4%的人,具有以下的特征:80后,年龄在26-35岁之间;主要从事教育业、制造业、金融和IT;本科为主,受过良好的教育。
更惊人的是,这8.4%的人群中,仅北京、上海、广东就占据了三成。也就是说,北上广的工薪阶层,是贡献个税主力军中的主力军。而他们,大多数是打工者。
“如果特朗普税改正式生效 中国年收入超过9.6万元的人大概率将负担比美国更高的个税”
去年,特朗普发动了税改,将在美国进行大幅减税。上文中提到的月均收入在8000-38500元的缴纳个税的主力军们,在中国要负担的最高个税税率在20%-25%之间,如果特朗普的税改方案正式生效后,同样收入的人在美国需要负担的最高个税税率只有约12%-22%(按2月2日的人民币对美元中间价6.2885折算)。而中国年收入超过9.6万元的人,大概率将负担比美国更高的个税。这个计算还没有剔除美国个税对劳动者的抵扣和减免政策,如果计算在内,实际的差距会更大。

个税很重,我们再来看看政府做了什么。
关于个税,政府主要的改革,就是提高起征点。1981年,个人所得税正式开征。三十多年里起征点经历了3次提高。2005年,个税起征点由800元提高到1600元,2008年又提高到2000元,2011年提高至3500元。如今距上一次提高起征点,已过去了近7年时间。
“至少39城9省居民在超标缴纳个税”
3500元是怎么制定出来的。曾经参与过上次个税法案修订的十一届全国人大财经委副主任委员贺铿表示,主要是考虑3个方面的因素:第一是当时国内居民的人均收入;第二是参照国外的个税免征额确定方法;第三是广泛征求各方面的意见。“上一次确定个税免征额时,人大常委会大多数人是倾向于3000元,根据国务院有关领导的建议,确定为3500元”贺铿谈到。
个税起征点的设定是为了保障人们最基本的生活不受缴税的影响,也就是说,每个月用来满足最基本生活需要的支出,不应当缴税。那么7年过去了,现在能够满足民众最基本需求的月支出是多少呢?
网易研究局计算发现,2016年时,至少39个大中城市(上海、广州、北京、深圳、杭州、长沙、宁波、无锡等等),满足其居民每月必要生活支出的费用已经超过了3500元,其中北京满足人们基本生活的月支出高达7250元,已经超过3500元的两倍。也就是说,这些地方的劳动者在超标缴纳个税。

征税的原则是不能破坏社会生活,不能侵及公民的基本生活。“基本支出高于免征额”意味着,个人在未能满足自身生活需要的时候,已经先行缴税了。
“上调起征点 对穷人的好处大于富人”
但与此同时,社会上还有一种看法,认为简单地上调个税免征额是不公平的。2014年-2016年,时任财政部部长楼继伟连续三年在两会发布会说了同一句话:“简单地上调个税起征点是不公平的”。支持这一观点的学者的逻辑是这样:
举个例子,工薪阶层小明月入8000元,高收入者小芳月入80000元,这里说的都是扣除五险一金后的应税收入,在现行的免征额下,小明每月需要缴纳个税345元,小芳需要缴纳个税21270元。

假如免征额上调至5000元,在税级和税率不变的情况下,小明每月需要纳个税195元,小芳则需要纳个税20745元,这样一来,收入较低的小明实际上每月减个税150元,而收入较高的小芳每月则减个税525元,看起来似乎是富人比穷人减了更多的个税。
但事实真的是这样吗?虽然富人有可能比穷人减了更多的税,但从效用的角度讲,100元,对穷人和富人的意义是不一样的,小芳减免的525元,可能就是一瓶红酒,但对工薪阶层小明来说,可能则是一天一家人要精打细算的柴米油盐酱醋茶。中央财经大学政府预算研究中心主任王雍君指出,穷人免征额占其全部收入的比例要高于富人,因此上调个税免征额对穷人的好处也要大于富人。
面对工薪阶层沉重的生活压力,从这个角度讲,范冰冰也好,其他明星也罢,他们有没有偷税漏税并不是这次事件最关键的部分,如何回到个税征收的初衷,让个税摘下“工薪税”的帽子,成为调节富人收入的“利器”,显得更加重要。


