点击上方蓝字·关注我们
01
技术背景
PEI是由芳香环、醚键和酰亚胺环组成的半结晶性高分子聚合物。其分子结构中包含醚键(-O-)和酰亚胺环(-CO-N-),这些结构使得PEI具有很高的热稳定性和机械性能。
PEI材料可广泛应用耐高温端子,IC底座、照明设备、FPCB(软性线路板)、液体输送设备、飞机内部零件、医疗设备和家用电器等。
近年来,受益于需求的带动,全球PEI市场规模呈现增长趋势。随着航空航天、医疗器械、新能源汽车、电子半导体和精密仪器等行业的快速发展,PEI在未来10年有望迎来快速增长。
02
技术简介
工艺流程主要包括三部分:
(1)以苯酐为起始原料制备硝基邻苯二甲酸;
(2)由硝基邻苯二甲酸和双酚A制备双酚A二酐单体;
(3)双酚A二酐单体和间苯二胺单体进行聚合制备聚醚酰亚胺基体树脂。
第一步 以苯酐为起始原料制备硝基邻苯二甲酸
在新型离子液体中,用浓硝酸(或发烟硝酸)对苯酐进行硝化反应,苯酐的转化率≥98%,生成3-硝基邻苯二甲酸和4-硝基邻苯二甲酸异构体混合产物(生成率≥96%);
采用“分子诱化分离”技术对异构体混合物进行分离纯化,同时获得高纯度(≥99%)的3-硝基邻苯二甲酸和高纯度(≥99%)的4-硝基邻苯二甲酸两种产品(平均总收率≥90%),离子液体实现循环再利用。
图1:硝基邻苯二甲酸制备新技术工艺流程示意图
生产工艺过程中,实现新型离子液体循环再利用,硝化反应与分离纯化工序,均在常压条件下进行,蒸汽给热便可满足工艺温度要求;
原料苯酐可以完全转化,生成的异构体混合物可完全有效分离,同时获得高纯度的3-硝基邻苯二甲酸产品(比例为30~40%)和4-硝基邻苯二甲酸产品(比例为60~70%),无物料浪费、无“三废”排放,实现了清洁化生产。
表1:产品及其质量指标
本项自主原创技术,先进性如下:
(1)解决了传统硝化工艺必须大量使用硫酸的技术难题;
(2)反应平稳,无明显放热和安全隐患;
(3)工艺清洁环保,无“三废”排放;
(4)生产成本低廉,产品质量稳定;
(5)原料来源广泛,均可市场采购,适合于大规模化工业生产。
本项目的硝化技术经小试确认,无明显的放热反应,且生产设备拟采用进口或国产的连续流微反应器,进一步确保生产安全;生产过程无“三废”产生,无环保压力。
以该新技术为基础,采用部分进口和国产设备装置,新建年产1000吨的硝基邻苯二甲酸产品(400吨3-硝基邻苯二甲酸和600吨4-硝基邻苯二甲酸产品)生产线,以满足聚醚酰亚胺工程塑料生产所需基础原料的目标,产品的生产成本约为2万元人民币/吨。
第二步:由硝基邻苯二甲酸和双酚A制备双酚A二酐单体
双酚A二酐是指3,3′-双酚A二酐和4,4′-双酚A二酐两种同分异构体,结构式如下:
为了突破现行技术的惯性架构,我们不采用甲胺或苯胺进行保护,而是通过调整硝基邻苯二甲酸分子结构的极性,使其溶解度大幅提高,更有利于硝基邻苯二甲酸基团和双酚A二钠盐进行醚化偶联反应。
基于这样的思路,技术团队经过深入分析研究和大量的实验工作,优选出了无毒、无害、易回收、可循环使用的理想极性调节剂,将其和硝基邻苯二甲酸基团结合,使硝基邻苯二甲酸反应基的溶解度显著提高,在少量溶剂中(甚至不使用溶剂)就能和双酚A二钠盐进行醚化偶联反应,获得了令人满意的目标产物收率,完成了双酚A二酐制备的新技术研究开发,具有显而易见的技术优势和经济的成本特点:
(1)大幅提高硝基邻苯二甲酸反应基的溶解度,使各中间体和相应产物均以液体状态参与各步骤生产工序的储存、运行和反应,工艺能耗显著降低;
(2)醚化偶联时,无需大量使用有机溶剂即可进行偶联,并获得理想收率,提高了工艺的安全性;
(3)高含量有效物的醚化偶联,极大地提高了设备的利用率和生产的总效率,节省了生产装备投资,降低了产品的生产成本;
(4)相对低温的反应条件,杜绝了副反应的发生,提高了中间产物和目标产品的收率和纯度,为优化生产工艺的设计和设备的选型提供了更大的灵活性;
(5)液体状态下,中间体和产物的纯化处理工艺更加简捷高效,辅助原料基本上都实现了回收再循环利用,有效降低工艺的运行成本、环保压力和设备投资;
(6)实验结果证明,新技术可完全替代美国GE公司的现行生产技术,尤其解决了高温高压条件下的双相连续交换、高温萃取、精馏分离和脱水成酐的高难复杂问题。
由新技术制备的双酚A二酐单体,经分析检测和聚合反应确认,全部满足于制备PEI基础树脂所需的质量和经济指标要求。
以苯酐为起始原料核计,制备双酚A二酐单体的摩尔收率可达68%。
新技术经百克级小试确认,无需大量使用有机溶剂,不使用有毒有害原料,辅料原则上都可回收再利用,生产过程基本上无“三废”排放,大幅度减少了环保压力;反应过程避免了高温高压的苛刻条件要求,进一步确保了生产的安全性。
使用新技术、以年产1000吨硝基邻苯二甲酸(211g/mol)原料为基础进行估算,可以年生产936吨双酚A二酐(520g/mol,摩尔收率76%)单体,生产成本低于8万元人民币/吨。
产品的分析检测如下:
1、小试固体状态的4,4′-双酚A二酐样品
(1)离子检测:
阴离子SO42-、Cl-和NO3-分别均小于50ppm;
阳离子Na、K、Ca、Zn、Al、Fe和Ti分别均小于25ppm。
(2)熔点检测:188.9~190.1℃。
(3)核磁共振检测:1HMR谱图见图3。
图3:4,4′-双酚A二酐的1HMR谱图
2、小试固体状态的3,3′-双酚A二酐样品
(1)离子检测:
阴离子SO42-、Cl-和NO3-分别均小于50ppm;
阳离子Na、K、Ca、Zn、Al、Fe和Ti分别均小于25ppm。
(2)熔点检测:184.5~185.0℃。
(3)核磁共振检测:1HMR谱图见图4。
图4:3,3′-双酚A二酐的1HMR谱图
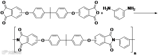
第三步 热塑性聚酰亚胺树脂(以Ultem型为主)的制备
以上述制备的双酚A二酐单体和间苯二胺为原料,通过两步法制备Ultem型PEI基体树脂粉料,质量收率95%,生产成本预计约8~10万/吨,反应方程式如下:
将制备的热塑性聚酰亚胺树脂粉料进行助剂改性,通过挤出机挤出造粒,得到树脂粒料;将制备的树脂粒料和纤维复合进行系列改性,进一步提高附加值,满足市场需求。
BPADA二酐产品技术指标要求:纯度≥99% (主要是自供合成聚酰亚胺树脂用)。
热塑性聚酰亚胺树脂产品技术指标要求
对可能影响质量的每个因素进行分析,在大量查阅国外文献资料和反复试验的基础上,制定了过程控制产品质量的方案。综合质量控制体系和过程质量监控,在国内处领先地位。
本项聚合工艺的优势:
(1)合成工艺路线为国内外首创,反应步骤少,反应选择和组合合理。
(2)聚合反应采用独特的催化剂,总收率高,产品质量稳定达标,而且催化剂可有效回收利用。
(3)由于PEI树脂采用了先进的洗涤工艺和设备,杂质含量少,有利于后续改性加工造粒。
(4)反应制备过程中原材料消耗低,质量收率达95%,总成本低,经济和社会效益显著。
技术产品相关性能和商品化的Ultem-1000P对比如下:
表2:树脂粉料的Tg、粘度及分子量和分子量分布表
表3:树脂注塑样条机械性能表
03
技术优势
1)整套工艺没有特殊的难以实现的工艺条件,不需要特殊反应装置;
2)大大简化了操作流程,与GE公司的技术路线比较具有极大的竞争优势;
3)项目开发的聚酰亚胺树脂和商品化的Ultem树脂的性能相当,生产成本约8-10万/吨,优势明显。
04
技术成熟度
已经完成双酚A二酐单体的小试制备和4,4’-BPADA和间苯二胺(108g/mol)制备Ultem型PI树脂的50L小试制备。
05
合作方式
技术转让


