海外工程报价测算方法研究

引言
随着国家“走出去”及“一带一路”倡议的推进,越来越多中国企业走出国门,进军海外市场,国际工程复杂化与专业化的特点,也对投标报价工作提出了更高的要求,一个 EPC 项目的报价反映出总承包商在市场经营、组织协调、设计、采购、施工、商务等方面的综合实力。而商务报价的高低对能否竞标成功往往起到关键性的作用。因此,国际工程投标报价测算的方法值得深入研究与分析。
1、研究背景
2013 年,随着“一带一路”倡议的推进落实,中国对外承包工程业务量与日俱增,我国工程承包商在国际工程市场上也越来越活跃。据商务部统计,2022 年,我国对外承包工程业务完成营业额 10424.9 亿元人民币,较上年增长4.3%,新签合同额 17021.7 亿元人民币,增长 2.1%。2022年,入选美国《工程新闻记录》(ENR)的国际承包商 250 强的中国承包商数量为 79 家,较上年度增加 1 家,数量再创新高。
虽然我国海外承包业务的发展取得了不错的成绩,但同时也面临着多方面的挑战:我国进入国际工程承包市场的时间相对不长,在国际标准及规范熟悉程度上与一流承包商存在一定差距;其次,我国优秀的国际项目管理人才及具备海外实施经验的投标报价专业人员相对缺乏;第三,对国际工程商务合同、报价方法运用等方面有待提升。上述问题导致我国企业在部分海外项目上付出了很大代价,如中铁建沙特轻轨项目等巨亏案例。
2、研究现状
2.1 国际工程招标方式
①公开招标。公开招标是指招标人以招标公告的方式,邀请非特定的法人或组织参加投标,一般在资格预审通过后方可参加投标,招标人根据评标条件择优选择中标者。
②邀请招标。邀请招标又称为有限竞争性招标,业主通常邀请若干家熟悉的单位参加投标。此模式下投标单位数量不多,便于业主比选方案及价格。
③两阶段招标。两阶段招标一般用于较大规模项目的招标,评标方式通常先开启技术标,技术标合格的单位才能进入商务标评标。第二阶段,业主与剩余投标人议价,能够达到预期价位的投标人更可能中标。
④议标。议标也称谈判招标,是指业主在明确项目边 界条件及总投资的情况下,邀请一家或几家承包商进行谈判,通过谈判确定最终承包商。议标方式由于效率较高,也是国际工程广泛应用的招标模式之一。
2.2 国际工程报价测算模式
①国内工程报价测算模式。我国的工程造价主要是基于定额计价建立起来的清单计价模式,按照清单计价规范计算工程量,结合定额消耗量与市场价,计算出工程直接费,再结合相关规定、规范计算其他直接费、间接费、利润和税金,最后汇总得出工程总价。由于很多企业消耗量指标主要参考定额消耗量,仅竞争人工、材料、设备台班单价,无法充分体现市场竞争。
在国际工程投标报价方面,部分企业采用定额法套价, 再以系数调整等方式处理为海外价格,而水运行业的大型企业在国外投标方面多采用实物量法开展测算及报价。
②国外投标报价测算模式。国外一般无统一的定额和消耗量指标,消耗量由企业自行计算,价格也完全市场化, 能够充分体现市场竞争,反映不同企业的管理水平与技术水平。欧美、日本的国际工程项目投标报价的编制一般采用实物法,该方法又被称为实物量法或工艺估算法,其主要思路是以工程项目整体为对象,按照设计资料、现场条件,及业主招标文件的要求,计算出工程量,并编制对应的施工方案,计算人、材、机等直接成本;之后再计算拟投入的管理人员及现场管理费用,最后记取总部管理费、利润、税金、风险费。
除了实物量法之外,成本估算模型在国外也有一定的应用,国外成本估算模型主要经历 5 代发展:第一代模型是上世纪 60 年代,按照单位面积进行成本估算;第二代是70 年代以回归分析为特征的估算模型;第三代是 80 年代初期,以计算机、人工智能建立成本估算的专家系统;第四代采用人工神经网络建立估算模型;第五代是应用模糊数学理论建立成本估算模型。
③对比分析。通过国内外报价测算方法分析可以看出,定额法计算相对简便、效率较高,但对于国际工程精度相对较低;实物量法由于充分考虑自身情况、并按照实际资源投入计算成本,能够反映实际施工工艺及资源组织,精度较高。
但基于国际工程的复杂性,实物量法需要投入大量的人力成本且工作时间较长,所需资料较多。
投标前经营人员应收集项目关键信息,并对项目业主资信情况、项目资金落实情况、本公司同类项目实施经验业绩、公司人力资源、施工船机设备情况、项目合同条件、竞争对手情况、主要风险,以及市场意义等进行评估或量化打分,按照项目得分情况进行分类,将项目分成重点项目、一般项目以及其他项目,再有针对性地制定对应的报价测算方法。例如,得分高于 8 分为重点项目,得分6-8 分为一般项目,得分小于 6 分为其他项目。针对不同类型,分别制定不同的报价测算方法(表 1)。
①重点项目。重点项目应开展实地调研,并采用实物量法测算成本。
表 2 中,左侧直接费中的人工数量、材料数量、船机使用台班、分包等费用按照实际施工方案计算消耗量,资源单价则通过现场调研获得;间接成本以整个项目为对象, 分析计算项目风险费,公司管理费;并综合分析计取预期利润。
对于 EPC 项目,设计、施工与造价专业应紧密配合,通过多方案比选,确定有优势的设计方案,并预测未来潜在变化,通过不平衡报价等方式获取额外利润。
②一般项目。一般项目与重点项目的报价测算方法基本一致,可由前方市场经营人员按照施工及造价专业提出的调研清单收集相关资料,从而提高效率、节省成本。
1)简化实物量法。由于实物量法需要较充裕的时间且人力投入较大,针对投标决策环节评分不佳的其他项目, 笔者将实物量法与企业内部指标相结合,提出简化实物量法,工作效率较实物量法大幅提高。
简化实物量法与实物量法的主要区别在于将人工及船机费简化为施工费,参考企业数据库近2~3 年相同国家同类项目平均分包单价或类似项目人机测算计算;调遣、临建、现场管理费等按照类似项目比例估算。材料费与间接费的计算与实物量法相同。
2)模糊类比估算法。模糊类比估算法基于模糊数学的思想,根据拟建项目的特征,选取一些与其类似的已建工程作为参照对象,运用聚类分析的方法,明确项目成本构成的主要因素,并进行分类。
主要步骤:选取类似项目、确定特征因素及权重;创建隶属函数;计算贴近度;选择与拟建项目相似度最高的三个己建项目作为参照样本;采用指数平滑法计算投标项目的价格。
以巴基斯坦某水工项目为例,分别采用简化实物量法,模糊类比估算法进行成本估算,并将结果与实物量法进行比较。
本项目为 10 万吨级 LNG 码头,码头泊位长度 420m, 钢管桩结构(桩径 1.25m,壁厚 22mm),港池水深-14m,工程内容主要包含码头结构、疏浚工程、上部配套设备、管线工程四部分。
按照 3.1 节所述的简化实物量法的步骤,逐项估算该项目的成本,汇总如表 3。
①类似工程选取(以码头单元为例)。从公司成本数据库中选取以下4 个与拟估算项目码头单元类似的 LNG 项目:
A 工程:钢管桩结构,桩径 1.1m,码头泊位长度 420.5m,水深-15m,直接成本 2670.5 万美元;
B 工程:钢管桩结构,桩径1.2~1.4m,2 座 400m 长泊位LNG 码头,水深-
C 工程:钢管桩结构,桩径 1.05m, 码头泊位长度 180m,水深-16m,直接成本 1156.66 万美元;
D 工程:钢管桩结构,桩经 1.2m,码头泊位长度 421m,水深-17m,直接成本2603 万美元。
②确定特征因素及权重。应用德尔菲法,邀请 6 位专家评选出对项目直接成本有影响的七类特征元素:采用专家估测法,得到特征因素权重。
③求取隶属函数。邀请 10 位专家对待估算项目及 4 个类似项目按照指标的重要性程度进行打分,将评价指标进行两两比较,计算出优先选择比。通过表格计算,得到待估算项目及 4 个类似项目的隶属度函数为:
④求取贴近度。根据之前的计算结果,特征因素权重为:Q1=11.3%,Q2=41.3%,Q3=18.3%,Q4=8.3%,Q5=5.5%,Q6=9.8%,Q7=5.3%,计算特征因素隶属度及权重,并利用格贴近度公式:
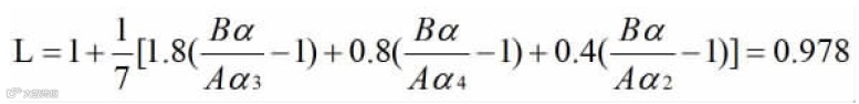
模糊关系:Bα:0.75;Aα1:0.073;Aα2:0.08;Aα3:0.081;Aα4:0.076
调整系数:选取 Aα3,Aα4,Aα2 带入公式进行估算,基于模糊数学的指数平滑法预测公式:
⑦待估算码头成本为 P=6.266*420=2631.72 万美元, 同理求得本项目其他估算单元价格,并根据经验计取勘察设计费、公司管理费利润、风险费,如表 4 所示。
-
按照 3.1 节所述实物量法的步骤,参照公司的海外项目报价管理办法,计算该项目的成本 92,503,526 美元。
实物量法测算待估算项目 EPC 价格为 92,503,526 美元;简化实物量法估算结果为 96,055,785 美元,模糊类比估算法结果为94,689,591 美元,可以看出后两种方法较实物量法的误差均小于5%,估算结果较为准确。
综合本文分析,对于项目投标决策时评分不佳的项目,或两阶段招标的第一阶段,考虑实物量法使用的局限性,可采用简化实物量法或模糊类比估算法,为了验证估算成果的准确性,也可同时采用上述两种方法。而对于投标决策中被评价为重点项目或一般项目,实物量法由于其严谨性与准确性,仍为优先选择。
由于简化实物量法与模糊类比估算法均参考了一些历史数据,需要注意对成本造成影响的一些特殊情况:如,项目的税务条件、材料与设备标准、合同类型、外部竞争等,对于影响较大的例外情况应对参考数据进行修正。另外,对于建设时间差异较大的项目还应结合通胀及汇率变化情况进行调整。综上,本文对国际工程投标报价测算方法进行了研究,提出了相关建议,但由于时间和水平所限,仍存在诸多不足,希望能在未来不断完善,以便更好地投入到实际应用中。

国际项目“市场开发、投标报价技巧(E.P.C)合同价格设计、谈判策略与
●时间: 2024年3月30-31日 ●地点:北京
模块一✦ 国际项目市场开发投标报价技巧与EPC合同价格设计
模块二✦ 国际项目市场开发投标报价技巧,流程,程序与成本估算管理详解
模块六✦ 国际项目合同条款分析、谈判策略与合规风险防范
模块八✦ 国际项目合规风险防范总结和梳理
线上直播课程(共10个板块/每个版块半天时间/按单位报名/支持视频回放)
海外项目“避税架构搭建、转让定价、税收筹划风险合规管理”高级进修班。

