
众所周知,“热胀冷缩”是自然界的一种普遍现象。本质上,材料的热膨胀性质与原子的受热振动密切相关。由于各组成材料热膨胀系数的不匹配,可导致相应器件的性能恶化甚至失效。因此,如何调控材料热膨胀性质是基础研究与实际应用普遍关注的科学问题。目前对于热膨胀性质的调控主要集中在元素掺杂、尺寸效应或缺陷化学等方面,鲜有利用外磁场进行热膨胀调控的研究。
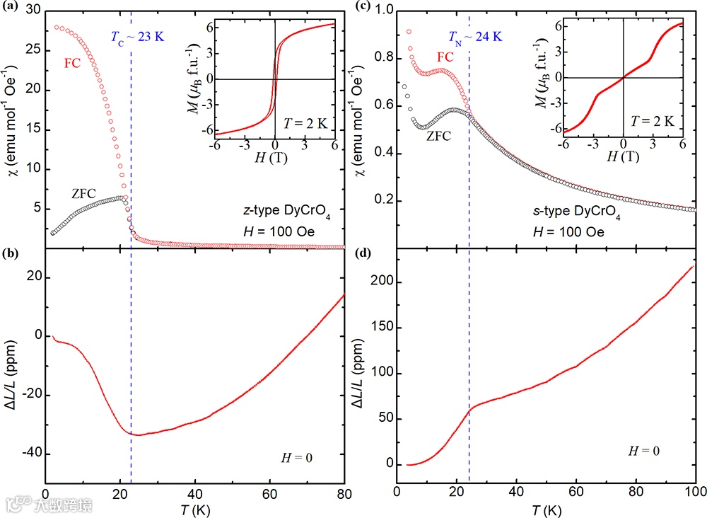
图1. (a) z-DyCrO4磁化率随温度的变化关系;(b) 零场时z-DyCrO4线性热膨胀的温度依赖性;(c) s-DyCrO4磁化率随温度的变化关系;(d) 零场时s-DyCrO4线性热膨胀的温度依赖性。
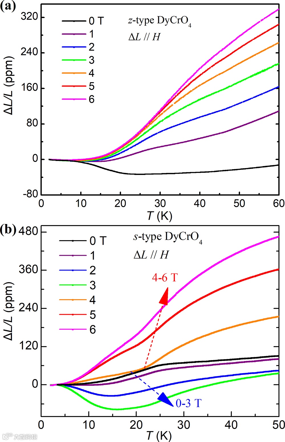
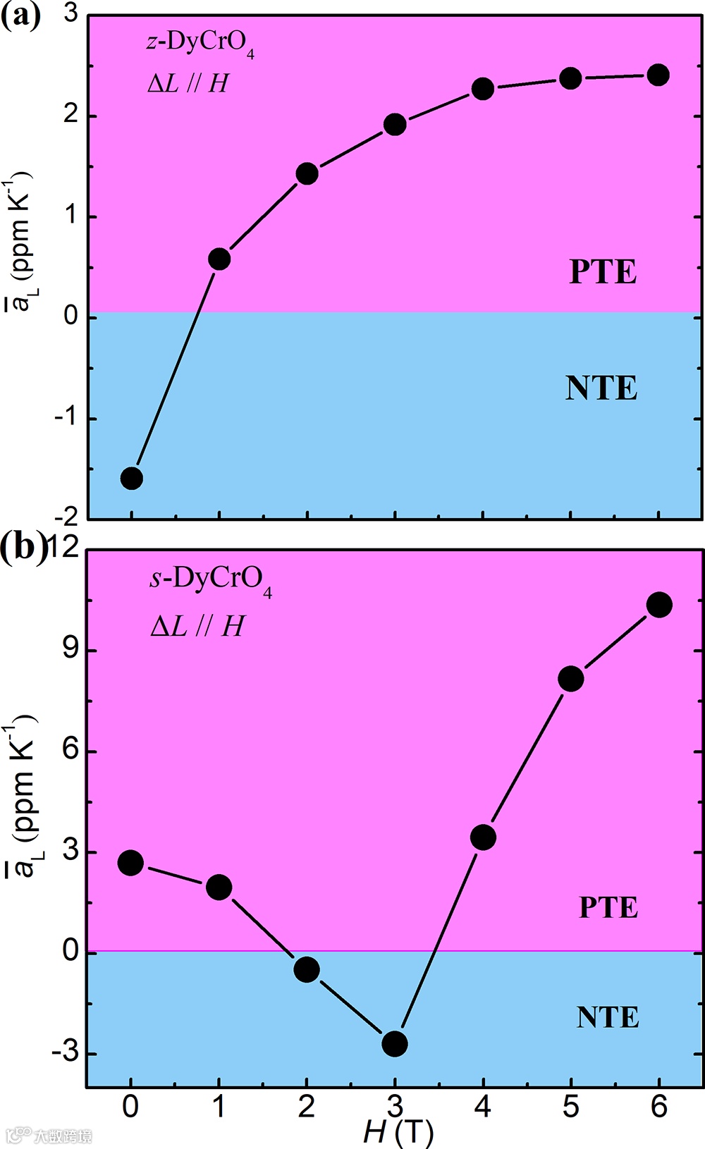
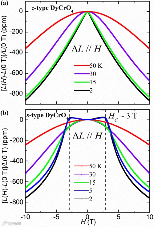
最近,中国科学院物理研究所/北京凝聚态物理国家研究中心磁学国家重点实验室龙有文研究员团队和重庆大学孙阳教授团队通过外磁场罕见地实现了材料热膨胀系数大小乃至符号的有效调控。在前期研究中,龙有文团队采用常规固相烧结法制备出了锆石型(zircon-type)z-DyCrO4,经过高压高温处理后,获得了白钨矿型(scheelite-type)s-DyCrO4新相。研究表明,z-DyCrO4在居里温度TC ≈ 23 K时,发生顺磁-铁磁相变(如图1a所示),并且零磁场时其铁磁态表现出反常的负热膨胀行为(如图1b所示)。不同于常压z-DyCrO4的铁磁相变,s-DyCrO4高压新相在奈尔温度TN ≈ 24 K时发生反铁磁相变(如图1c所示),并且在零场时其顺磁和反铁磁态均表现出正热膨胀(如图1d所示)。然而,出乎意料的是,利用磁场可实现这两种不同构型DyCrO4热膨胀系数大小以及符号的改变。如图2a所示,当应用1 T磁场时,即可把z-DyCrO4的负热膨胀转变为正热膨胀,且随着磁场增加,其正热膨胀系数逐渐增大并在4 T以上趋于饱和(图3a所示)。另一方面,对于s-DyCrO4,外加磁场可逐渐减少正热膨胀系数,并在2 T和3 T时诱导负热膨胀的出现,但更高的磁场(>3.5 T)可再次实现负热膨胀到正热膨胀的转变(如图2b和3b所示)。进一步研究表明,由于稀土离子的存在,这两种不同的DyCrO4相均具有很大的磁致伸缩效应(如图4所示),磁场作用下的强自旋-晶格耦合是引起上述新奇热膨胀转变行为的主要原因。

图2. 不同磁场下(a) z-DyCrO4和(b) s-DyCrO4的热膨胀性质。
该研究工作给出了第一个由磁场调控改变热膨胀符号的实例,为材料热膨胀性能的调控提供了一种可行的简易途径。相关成果“Magnetic-Field-Induced Sign Changes of Thermal Expansion in DyCrO4”以Express Letter的形式发表在《Chinese Physics Letters》上,物理所磁学国家重点实验室M09组何金城博士和M08组潘昭副研究员为共同第一作者,物理所龙有文研究员和重庆大学孙阳教授为共同通讯作者。文章一经发表,受到了英国皇家物理学会Physics World的关注,被选为Research Update进行推荐报导。该工作获得了科技部、基金委、北京市、中科院等项目的支持。

图3. (a) z-DyCrO4的热膨胀系数随磁场强度增加逐渐由负变为正;(b) s-DyCrO4的热膨胀系数随磁场强度增加由正变负再变成正。

图4. 不同温度下(a) z-DyCrO4和(b) s-DyCrO4的磁致伸缩行为随磁场强度的变化关系。
文章来源:中科院物理所
