
作者:陈泽源
有人说,经济和金融不产生价值,只是纸面游戏,其从业者也不从事实际科研或生产工作,因此毫无意义。事实上,这种观点是非常局限的,从古至今,无论何种社会组织形式,经济和金融都至关重要,即便在古代,经济活动的兴盛和衰退也都兹事体大,甚至直接影响封建王朝的统治。例如,元朝全面使用纸币(称为“中统钞”或“至元钞”)作为主要流通货币,但由于发行了与经济社会不匹配的纸币,加上元朝的内部问题,发生了严重的通货膨胀,经济状况进一步恶化,这也是元朝衰落的原因之一。而丝绸之路的开辟促进了货物的流通,加速了文化的交流,对沿线各国的经济发展都产生了积极而又深远的影响。

图表1:丝绸之路示意图(来源:网络)
经济如此重要的核心原因非常简单,那就是资源是稀缺的。在人类社会生产力进步到一定程度之前,人类将长期受制于资源的稀缺性。而经济活动,本质上就是基于资源有限这一前提,处理资源的获取、加工、分配和消费。金融作为经济的血液,本身既对资金进行资源配置,也促进了资金的有效利用。在现代社会,金融体系通过提供贷款、保险、投资等服务,支持企业和个人的发展。例如,初创企业往往需要外部资金才能启动,而金融机构提供的信贷支持、早期风险投资也是这些企业成长的关键。没有金融市场的支持,很多创新项目可能无法实现,从而减缓技术进步的速度和社会发展的步伐。
此外,金融市场的稳定对于维护宏观经济的稳定具有重要意义。这是因为,金融市场是资金供需双方进行交易的场所,就像人体中的血液循环系统,通过其神经末梢覆盖到大大小小的各类经济主体。金融市场交易量大、数据周转快,其本身也是宏观经济资源配置效率高低的反映。因此,保持金融市场的平稳运行有助于防范金融风险,增强投资者信心,为宏观经济的持续健康发展提供有力保障。
现代社会是政治、经济、文化交织的复杂有机体,每个人都是这个有机体的最小原子,可以说,每个人本就置身事内。对于个人而言,经济和金融会以物价、就业情况、个人理财收益、地方政策和转移支付等影响每个人的切身利益的角度对我们产生直接影响。我们后面会看到,宏观经济形势发生变化,投资策略和方向也会发生变化。当然,宏观经济和产业情况更是直接影响到就业形势,从而影响到人们的择校和择业。因此,无论是出于工作需求还是个人生活,人们都应该或多或少地对经济社会进行有效认知,并基于经济环境现实情况更好地进行工作和生活。

图表2:部分市场上个人养老金理财收益(来源:南财理财通)
如何对现实的经济世界进行认知呢?首先需要明确基本逻辑,我们作为微观经济主体,需要认知的是宏观经济,金融数据是辅助我们对经济认知的工具。有了经济认知,我们可以对包括各类金融产品价格在内的各种经济要素进行分析和预测。为了做到以上这一点,我们需要建立基本的分析框架,建立认知逻辑,同时在日常生活中加强观察,密切保持对有关经济金融数据的关注。如果熟悉有关计量模型,最好能收集有关数据,并利用计量模型严谨分析,得到一些有用的结论。
微观经济学研究探索微观经济主体的行为。我们作为微观经济主体,很多时候已经以相对符合微观经济学模型的行为开展行动了。我们每个主体,都在更大的宏观背景中活动。在个人决策时,宏观经济可以视为我们每个人的“外生变量”,我们自己决策的各种变量,就是“内生变量”。内生变量(Endogenous Variable)和外生变量(Exogenous Variable)是一组相对的概念,在明确模型论域的时候比较重要。在不同的模型和假设下,某个经济变量是外生还是内生不是固定的,取决于我们的视角。内生变量是指那些在模型内部决定,并且受到模型中其他变量影响的变量。它们通常是模型试图解释的对象,其值是由模型中的各类方程确定的。例如,在一个经济增长模型中,资本积累率和劳动力增长率可能会被设定为内生变量,因为这些变量受到模型内部诸如储蓄率和技术进步等其他因素的影响。而在动态随机一般均衡(DSGE)模型中,研究者通常将技术冲击、偏好冲击或政策规则作为外生变量,而模型的核心在于如何通过最优决策过程来解决各经济主体面临的问题,从而得出内生变量的变化路径。
外生变量则是指那些来自模型之外的因素,它们不受模型内部机制的影响,而是作为已知条件输入到模型中的。这些变量通常被认为是给定的或者是由模型之外的力量决定的。例如,自然灾害的发生、政府政策的变化或是国际油价的波动,都可以被视为外生变量,因为它们不是由模型内部的经济活动直接决定的,但它们却能显著地影响模型中的内生变量。在评估一项新的财政刺激计划时,研究者需要考虑到该计划不仅直接影响到政府支出这一外生变量,还会通过影响消费者信心和企业投资等内生变量间接作用于整体经济表现。

图表3:计量经济学利用工具变量法处理内生性问题(来源:网络)
因此,内生变量和外生变量均是重要的考虑因素。在我们进行个人决策时,宏观经济环境是外生变量;在我们研究宏观经济时,宏观经济指标又可以看作内生变量。分析宏观经济的时候,我们也会“固定”一些外生变量,而去探索某些内生变量之间的关系。在实际应用中,经济学家常常需要面对如何处理内生性和外生性的挑战。例如,在评估一项新的财政刺激计划时,研究者需要考虑到该计划不仅直接影响到政府支出这一外生变量,还会通过影响消费者信心和企业投资等内生变量间接作用于整体经济表现。
上面我们提到,经济学处理资源的稀缺性问题,在面对稀缺性的约束下,经济学关注的目标函数是福利水平。无论利用何种框架抽象成数学问题(例如博弈论),可以说,经济学的问题最终在数学上可以理解为约束优化(Constrained Optimization)问题。某种意义上说,找到了适应我们想研究问题的目标函数,我们的分析就成功了一半。在微观经济学中,我们一般效用(Utility)衡量某物对人们的价值。效用的具体形式取决于具体的问题。
效用概念的提出和发展经历了多个阶段,其中凝结着许多经济学家、社会学家乃至数学家的思想结晶,也体现出经济学的人文关怀。以微观经济学的效用为例,我们该如何定义某个商品对人们的“价值”呢?我们的直觉告诉我们,某样东西贵,往往其价值就高。然而只需要转念一想,就会发现逻辑漏洞。例如,同样是15元钱,我们可以购买1份盒饭,也可以买3桶泡面。1份盒饭的价值和3桶泡面的价值是否一样呢?显然,光从营养素构成的角度来说,它们就完全不同;从填饱肚子的角度来说,也许1桶泡面就可以达到1份盒饭的作用。更何况,不同人的口味不同,有人就是爱吃盒饭,有人就是爱吃泡面。因此,我们在对微观主体建模的时候,需要明确当前研究的问题,并人为地去寻找、定义该问题中人们的效用函数。有了效用函数,我们就可以定义人们的偏好(Preference)。当然,为了数学上处理方便,我们会假设偏好满足某些数学性质(例如凸性、传递性等)。当然,这些数学性质与现实中人们一般的偏好情况通常也是一致的。人们的效用普遍存在边际递减的情况,这就是许多人耳熟能详的“边际效用递减(Diminishing Marginal Utility)”现象。例如人们常开玩笑说,炎炎夏日一瓶3块的汽水,第一口就值2块5——这正是边际效用递减的表现,即同样的一份商品,它所能提供的“价值”,会随着人们对它的一份份“使用”而越来越少。我们可以用效用函数的一阶导数对其刻画,并用那些符合这种数学性质的函数作为人们的效用函数的近似。

图表4:效用与边际效用(来源:网络)
效用的概念可追溯至18世纪的哲学家边沁(Jeremy Bentham)提出的功利主义原则,他认为社会决策应该基于最大化快乐和最小化痛苦的原则来制定。然而,效用理论的正式引入则归功于瑞士数学家丹尼尔·伯努利(Daniel Bernoulli),他在1738年的论文中提出了效用的概念,用于解释赌博者的行为。到了19世纪中期,杰文斯(William Stanley Jevons)、门格尔(Carl Menger)以及瓦尔拉斯(Leon Walras)分别独立发展了边际效用理论,标志着新古典经济学的诞生。他们认为消费者在购买商品时是为了获取最大的满足度,即最大化自己的效用。边际效用理论强调的是每一单位额外的商品所带来的满足程度的增量,并以此来解释商品的价格形成机制。
20世纪初,随着数学工具的应用,经济学家开始将效用函数形式化,使之成为微观经济学的基础之一。帕累托(Vilfredo Pareto)在其研究中引入了无差异曲线的概念,而希克斯(John Hicks)则进一步发展了这一理论,使之成为现代经济学教科书中标准的教学内容。

图表5:无差异曲线——对于某两类商品的消费量x1和x2的组合,曲线上的组合带给某个消费者的效用是无差异的(来源:网络)
进入现代经济学,冯·诺依曼(John von Neumann)和摩根斯特恩(Oskar Morgenstern)在1944年出版的《博弈论与经济行为》一书中提出的期望效用理论,该理论成为了决策理论中的基石,并广泛应用于金融学、管理科学等领域。
不同于微观经济学侧重于个体层面的效用最大化分析,在宏观经济学的研究中,我们在求解约束优化问题之外,还关注国家作为一个整体的效用形成究竟与哪些因素有关。在宏观经济学的研究框架下,衡量一个国家居民整体的福利水平是理解经济状况的关键一步。确定了这一目标后,我们可以通过对经济体系进行细致的拆解,来探讨各种内生变量和外生变量之间的相互作用。因此,在宏观经济学中,福利水平或效用往往作为因变量,用来反映整个经济体运行的结果。
宏观经济学中,某个经济体有没有可以用来作为我们研究目标函数的指标呢?我们依然需要牢记,经济学是为了认识世界而对它进行的抽象和简化建模,没有最好的模型,只有最合适的模型。某个经济体中的总福利受到许多因素的影响,尤其是存在大量完全无法量化的因素。也许很多人已经猜到了,在宏观经济学的论域中,最常用来衡量一个国家整体福利水平的指标正是国内生产总值(GDP),尽管它并非完美的度量工具,但可以论证,它已经是相对不错的经济学指标。当前,以GDP为核心的国民收入核算体系是广为使用的衡量国民财富的方法。其实,这种用可观测指标来间接测量福利的方法早就为经济学家所用。著名经济学家欧文·费雪(Irving Fisher)在其1930年出版的名著《利息理论》中层提出:“个人的享受或者效用是一个心理上的概念,不能直接测量。但是,我们可以退一步,通过所谓的实际收入来间接获得一个近似的值。实际工资和其他形式的实际收入,是由外部世界中那些最终的物质事件组成的,而这些物质事件为我们提供了内心的满足感。”

图表6:欧文·费雪肖像(来源:历史资料)
其实,我们是在用整个群体的可观测的外部指标来间接推算人的总体效用。某种意义上说,GDP只是手段而非目的,我们关注GDP、提升GDP的最终目的,是为了提升居民的福祉,不能本末倒置。可以说,这也是“破除唯GDP论”的一个经济学注脚。当然,GDP具有自身的局限性,经济学家和政策制定者已经开始探索其他的综合指标来补充GDP,如人类发展指数(HDI)、国民幸福总值(GNH)、包容性财富指数(IWI)等,以期能更全面地反映一个国家的总体福利状况。然而,在宏观经济学的论域里,GDP依然有着重要的地位。
根据国际货币基金组织(IMF)和联合国等国际机构的标准定义,GDP衡量的是在一个既定时期内(通常是年度或季度),一国或地区境内所有常住单位(包括家庭、企业、政府和非营利组织)生产的最终商品和服务的市场价值总和。与之区分,还有GNP(国民生产总值)的概念。GNP是衡量一国国民在一定时期内所生产的最终商品和服务的市场价值总和,不论生产活动发生在本国还是海外。简而言之,GDP基于地理位置(即在该国地理边界内生产的产品和服务),而GNP基于所有权(即该国国民拥有的资产无论位于何处)。在进行国与国间GDP的比较时,有时人们会提到按照购买力平价(PPP)调整后中国GDP比美国高。这主要是因为,国内物价(尤其是非贸易品和服务的价格)相对较低,使得同样数量的货币在中国能够购买更多的商品和服务。因此,按照PPP调整后,中国的GDP看起来比按照市场汇率换算的GDP要大。有学者曾经指出,PPP的结果不是官方统计数据,PPP也不能代替汇率。因此,PPP更多用于学术研究。

图表7:中国GDP年度增长率(来源:证券时报)
GDP是一个流量概念。在经济学中,存量和流量是描述经济现象的两个基本概念,存量是指在特定时间点上存在的某种经济变量的总量,比如人口数量或资本存量;而流量则是指在某段时间内发生的经济活动或变化量。

图表8:宏观经济的运行(来源:网络)
要认识GDP,就要了解市场经济是如何运作的。市场经济由产出、收入和需求三个主要部分组成。首先,各类工厂和公司通过生产商品和服务产生产出。接着,这些商品和服务带来的收益变成了人们的工资、企业的利润和政府的税收,成为了各个经济主体的收入。当人们和企业有了收入后,他们就会花钱购买自己需要的商品和服务,这就形成了需求。这些新的需求又促使工厂和公司继续生产,从而开始新的一轮循环。在现实生活中,这三个环节是同时进行、互相影响的,政府在其中也扮演了多重角色。
从产出到收入,再到需求,这个过程实际上反映了经济活动的不同侧面,而这不同的侧面正好对应了GDP的三种核算方法:生产法、收入法和支出法。生产法(Production Approach)从产出的角度看,各类工厂和公司通过生产商品和服务产生产出。这部分产出在去除中间消耗后,就是新增加的价值,也就是GDP的一部分。生产法反映了经济活动中各个部门对总产出的贡献。收入法(Income Approach)从收入的角度看,商品和服务带来的收益变成了人们的工资、企业的利润和政府的税收,这些都是收入的形式。收入法通过加总所有生产要素(如劳动力、资本等)在生产过程中获得的报酬以及企业间接税和折旧等非要素收入来计算GDP。这种方法强调了收入的分配。支出法(Expenditure Approach)从需求的角度看,当人们和企业有了收入后,他们会花钱购买自己需要的商品和服务,这就形成了需求。支出法通过加总家庭消费、企业投资、政府支出以及净出口等最终需求来计算GDP。这种方法突出了需求对经济活动的驱动作用。

图表9:GDP的三种核算方法(来源:燕来学堂)
理论上,这三种方法应该得出相同的GDP数值,因为它们是从不同角度观察同一经济现象的结果。如果经济体系是封闭且数据无误的话,无论从生产、收入还是支出来计算,最终结果都应该一致(三方等值原则)。在我国,收入法统计的GDP数据每五年发布两次。因其发布频次低,发布时间滞后,所以只是在分析长期趋势方面有一定价值。在这三种核算方法中,支出法最广为人知。它把GDP拆分为居民消费(C)、企业投资(I)、政府购买(G)和净出口(X-M,X为出口,M为进口)四部分,这一计算公式也被直接叫做国民收入核算恒等式。我们常说的“三驾马车”对经济的拉动作用,正是源于GDP的支出法核算中讨论的消费、投资和净出口对经济增长的拉动作用。

图表10:国民收入核算恒等式(来源:网络)
根据国家统计局发布的2023年国民经济和社会发展统计公报,2023年最终消费支出对中国国内生产总值(GDP)增长的贡献率为54.3%,其中居民消费和政府消费分别为38.4%和15.9%。最终消费支出拉动国内生产总值增长4.3个百分点,资本形成总额拉动国内生产总值增长1.5个百分点,货物和服务净出口向下拉动国内生产总值0.6个百分点。对比世界其他国家和地区,根据国际货币基金组织(IMF)和世界银行的数据,发达国家的消费(包括私人消费和政府消费)通常占比较高,投资和净出口的贡献则根据不同国家的具体情况有所不同。例如,美国等发达经济体的消费占比可以高达70%以上,而投资和净出口的贡献相对较低。相比之下,中国在消费、投资和净出口三方面的比例分布更倾向于较高的投资比例和较低的消费、净出口的比例。因此,政策在拉动内需、促进消费上依然具有发力的空间。当然,由于国情差异,我国居民对于储蓄更加偏好,当前的消费率是否相宜、更高的消费率是否就更好,依然是一个值得探讨的问题。

图表11:按支出法拆解GDP比例(来源:华福证券)

图表12:“三驾马车”对GDP的拉动作用(来源:国家统计局)
国民收入核算恒等式非常重要。事实上,许多宏观经济学的模型,本质上都是在讨论这几个变量之间的关系。以凯恩斯主义宏观经济学中最为著名的IS-LM模型为例,它不止试图理解GDP的构成,更旨在进一步解释GDP的变动原因。通过IS-LM模型,我们可以把财政政策(Fiscal Policy)和货币政策(Monetary Policy)都囊括在模型中进行理解。可以看到,宏观经济学模型是我们对GDP理解的全面深化。
在IS-LM模型中,IS曲线描述了商品市场上投资等于储蓄时的收入和利率组合。这条曲线向右下方倾斜,因为较高的利率通常会导致较低的投资水平,从而导致较低的总需求水平,因此需要较低的收入来维持投资等于储蓄的关系。LM曲线则描述了货币市场供需平衡时的收入和利率组合。这条曲线一般向右上方倾斜,因为随着收入的增加,货币需求(主要是指交易需求)上升,如果货币供给不变,则只有提高利率才能吸引足够的货币持有量以保持货币市场的均衡。
当IS曲线和LM曲线相交时,经济达到了一个短期均衡状态,在这个状态下,商品市场和货币市场同时达到均衡,即投资等于储蓄且货币需求等于货币供给。这个交点决定了经济中的均衡收入水平和利率。

图表12:利用IS-LM模型分析政策影响(来源:曼昆宏观经济学网络课件)
通过调整财政政策(如改变政府支出G或税收水平,从而影响C和S)或货币政策(如改变货币供应量M,从而影响利率),政府可以影响IS曲线和LM曲线的位置,进而影响Y(总产出,通常可以理解为就是GDP)的水平。
因此,IS-LM模型提供了一种机制,解释了如何通过改变利率和收入水平来影响C、I、G和NX,并通过这些变动来影响总体的国内生产总值Y。
如何借助IS-LM模型帮助我们理解中国经济呢?例如,当经济增长放缓时,政府通常会通过增加基础设施建设等公共投资来刺激经济,这相当于增加了政府购买G,使得IS曲线向右移动,从而提升收入水平和利率。相反,在经济过热时,政府可能会削减开支或增加税收,使IS曲线向左移动,以抑制经济过热。由于我国经济较为依赖投资,尤其是基础设施和房地产领域的投资I,投资需求的增加会推动IS曲线向右移动,促进经济增长。然而,如果投资信心下降,企业减少投资,IS曲线会向左移动,可能导致经济增长放缓。此外,央行也可以通过调整货币供应量和利率来调控经济。在需要刺激经济时,央行可能会增加货币供应,使LM曲线向右移动,降低利率,进而刺激投资和消费,提高收入水平。而在经济过热或面临通胀压力时,央行可能会收紧货币政策,减少货币供应,使LM曲线向左移动,提高利率,抑制过热的经济活动。
IS-LM模型虽然直观且易于理解,但存在一些局限性,例如它假设价格和工资固定,忽略了长期调整过程,并且简化了金融市场和预期的作用。相比之下,其他模型入动态随机一般均衡(DSGE)模型通过引入更复杂的微观基础、灵活的价格和工资调整机制以及理性预期,为分析宏观经济动态提供了一个更为全面的框架,从而在一定程度上弥补了IS-LM模型的不足。篇幅所限,这里无法列举所有经济学模型,读者如感兴趣可参阅各类中、高级宏观经济学教材。
上面提到,提高GDP的本质和目的是在提升居民福祉,经济增长是和我们所有人息息相关的问题。经济增长和哪些因素有关呢?这一问题其实是经济增长理论的范畴。从经济学的角度来看,经济增长是由一系列复杂的因素共同驱动的,这些因素包括但不限于资本积累、劳动力增长与教育水平、技术创新与研发、制度因素、宏观经济政策、国际贸易、自然资源利用、环境保护和社会福利政策,以及教育和培训等。在宏观经济学中,主流的经济增长模型框架主要有几种,包括但不限于新古典增长模型(如索洛模型)、内生增长理论(Endogenous Growth Theory)、新凯恩斯主义模型(New Keynesian Models)以及一些更现代的模型如动态随机一般均衡模型(Dynamic Stochastic General Equilibrium Models, DSGE)。
其中,索洛模型在经济增长理论中占据核心地位,它是美国经济学家罗伯特·索洛(Robert Solow)和澳大利亚经济学家特雷弗·斯旺(Trevor Swan)在1956年独立提出的。索洛模型假设,生产函数遵循规模报酬不变原则,即当所有投入要素按照同一比例增加时,产出也按照相同的比例增加;同时,技术进步被认为是外生的,即技术进步的发生不受经济活动本身的影响;劳动力增长率固定,且人口增长率被视为外生变量;资本折旧率是固定的;经济体是封闭的,这意味着没有国际贸易或资本流动的影响。
索洛模型的核心结论是,如果技术进步是外生的,那么在长期中,经济体将达到一个稳态,在这个稳态中,人均产出和人均资本将不再增长,只有技术进步能导致人均产出的持续增长。此外,模型还表明,初始条件较差的国家,如果它们拥有相似的技术和经济政策,那么它们可以实现更快的增长率,直到它们达到与较富裕国家相同的稳态水平,这被称为趋同(Convergence)。索洛模型中的稳态可以通过求解资本积累方程来确定。索洛模型在现实经济分析中有多种应用。通过调整模型中的参数,如储蓄率或人口增长率,我们可以评估不同政策对经济增长的长期影响。虽然索洛模型本身没有将教育和人力资本内生化,但它为后续模型的发展提供了基础,这些模型将人力资本作为经济增长的一个重要因素。

图表13:索洛模型(来源:网络)
在借鉴索洛模型分析国内经济时,我们可以考察资本积累、劳动力增长与教育水平、技术进步以及制度因素等多个方面。中国经济在过去几十年里经历了快速的资本积累,大量的基础设施建设和工业投资促进了经济的快速增长,根据索洛模型,中国的高储蓄率和大量的外国直接投资(FDI)有助于资本积累,这也是中国经济增长的重要驱动力之一。索洛模型中并未将人力资本作为生产函数的一部分来处理,而事实上,教育和培训对于提高劳动力素质和推动经济增长具有重要意义,与此同时,国内劳动力市场经历了从农业向制造业和服务业的大规模转移。
除了索洛模型之外,还有其他增长模型强调了技术进步的作用,并试图将技术进步内生于经济增长过程之中。内生增长理论便是这样一种尝试,它强调了技术进步、人力资本积累以及知识扩散在经济增长中的作用。内生增长模型的一个重要分支是基于干中学(learning by doing)效应的模型,这类模型认为,随着生产经验的积累,生产效率会逐步提高,这种学习效应可以被看作是一种内生的技术进步。例如,保罗·罗默(Paul Romer)在其工作中提出了一个模型,其中技术知识被视为一种公共品,它的积累是通过研发活动来实现的,而研发活动又受到市场规模的影响。这意味着,更大的市场可以支持更多的研发活动,从而促进技术进步和经济增长。
另一个重要的内生增长模型是阿吉翁(Aghion)和豪伊特(Howitt)提出的创造性破坏模型。在这个模型中,新的创新可以替代旧的技术,从而推动经济增长。这种创造性破坏的过程是通过企业的竞争来实现的,那些能够成功引入新技术的企业将会获得市场份额,而那些无法跟上创新步伐的企业则会被淘汰出局。
此外,还有一些模型强调了人力资本的作用,如卢卡斯(Robert Lucas)和罗默(Paul Romer)的工作,他们指出,教育和培训对于提高劳动生产率至关重要。这些模型中的人力资本不仅是通过正规教育获得的,还包括通过在职培训、个人经验和非正式学习渠道获得的知识和技能。
我们曾多次提及的DSGE模型是一种试图将宏观经济分析置于微观基础之上的建模方法。它结合了新古典主义的理性预期假设与随机冲击的存在,以动态的方式描述了一个经济体系在面对不确定性时的行为。DSGE模型的核心假设是个体(如消费者、企业)是理性的,他们会最大化自身的效用或利润,并且能够有效地处理未来的信息。这种模型通过构建一系列方程来表示经济主体的行为,并且这些方程是在一个一般均衡的框架下求解的,也就是说,所有市场都是同时出清的。DSGE模型的分析逻辑框架通常包括几个步骤:首先定义经济主体的行为函数,然后设定经济中的约束条件,如预算约束等。接下来引入随机冲击,模拟现实中不可预见的变化,如技术进步的随机波动。最后,通过求解模型来得到经济变量随时间变化的路径。DSGE模型因其复杂性通常需要借助计算机软件(如Dynare)来解决,而且完整的模型往往包含大量的方程和变量。
DSGE模型的一个有用结论是它可以用来分析政策变化对经济的动态影响。例如,如果政府改变税收政策,DSGE模型可以预测这种变化将如何影响消费、投资以及总体经济活动。此外,DSGE模型还可以用于评估不同类型的经济冲击(如货币冲击、技术冲击)对经济的不同影响。

图表14:利用Dynare模拟一次经济冲击的影响(来源:李向阳等)
与上述模型相比,经济周期论似乎显得不是那么主流,尤其是与中国传统的天干地支、太阳黑子周期等要素结合后,加上一些神奇的故事渲染,经济周期论被赋予了一些神秘主义的色彩。然而,经济周期论本身并不是一种神秘主义的概念,它有自身的理论基础和经验支持,并且有着众多的追随者。
经济周期论一般通过观察宏观经济变量(如GDP增长率、失业率、通货膨胀率等)的变化来识别经济扩张和衰退的阶段。最著名的经济周期理论包括基钦周期、朱格拉周期、库兹涅茨周期以及康德拉季耶夫周期(康波周期),每种理论都揭示了经济活动中特定模式的波动。基钦周期(Kitchener cycles),由英国经济学家约瑟夫·基钦(Joseph Kitchener)提出,描述的是一个大约3至4年的短期经济周期,这一周期通常与企业的库存水平调整相关联。朱格拉周期(Juglar cycle),由法国经济学家克利门特·朱格拉(Clément Juglar)提出,指出经济存在大约9至10年的中期波动,这种波动往往与资本投资特别是制造业设备的投资有关。库兹涅茨周期(Kuznets cycle),由美国经济学家西蒙·库兹涅茨(Simon Kuznets)在1930年提出,他发现了大约15至25年的建筑行业和住房投资的长周期波动。而最长的周期之一便是康德拉季耶夫周期(Kondratiev wave),该理论由俄罗斯经济学家尼古拉·康德拉季耶夫(Nikolai Kondratiev)在1925年提出,他认为存在大约50年的超长周期波动,这种周期与技术革新和全球经济体的重大结构性变化密切相关。约瑟夫·熊彼特(Joseph Schumpeter)被认为是将创新概念引入经济学分析的先驱之一,并且他的思想与上述经济周期理论有着密切的关系。熊彼特并不是直接将自己定位为经济周期理论的“集大成者”,但他确实综合了前人的观点并且提出了自己的见解。熊彼特认为,经济周期中的波动是由技术创新和技术变革驱动的,而这些创新和技术变革又反过来促进了新的产业和企业的诞生,同时淘汰了旧有的企业和产业,这就是所谓的“创造性破坏”过程。他的这一观点在一定程度上可以被视为对康波周期的一种解释或补充,因为技术革命往往是康波中推动经济进入长期上升阶段的关键因素。
康波周期在国内的普及很大程度上得益于前中信建投首席经济学家周金涛的工作。他通过对历史数据的分析,结合当前全球经济形势的变化,应用康德拉季耶夫周期理论来预测经济趋势,并因此获得了广泛的关注。他曾提出“人生发财靠康波”的观点,认为每个人在其一生中都有可能遇到几次由康波周期带来的财富增长机会。他曾预测了2007年的次贷危机以及随后的经济衰退,还对大宗商品的价格走势有所预见,认为2019年可能是全球大宗商品价格的一个底部。

图表15:历史上的五次康波周期(来源:雅各布·范杜因)
基于与经济周期理论相类似的逻辑,美国投行美林证券在2004年提出了名为美林投资时钟(The Investment Clock)的大类资产配置模型,并得到了广泛的应用。美林投资时钟将经济周期划分为四个阶段——衰退、复苏、过热、滞胀,并根据经济增长率和通货膨胀率这两个关键指标来判断当前所处的经济周期阶段。每个阶段都有特定的资产类别表现最优:在衰退期,债券表现最佳;复苏期则由股票领跑;过热期大宗商品成为赢家;而在滞胀期现金成为避险的最佳选择。这一模型旨在帮助投资者识别经济周期的不同阶段,以便做出相应的资产配置决策,从而在不同的经济环境中获得最优的风险调整收益。

图表16:美林投资时钟(来源:网络)
2000年代初期,随着新兴市场经济体需求的增加,大宗商品价格大幅上涨,并出现了一定过热。在滞涨期,现金和其他保值资产如黄金可能会成为投资者的选择。然而,滞胀期对于大多数资产类别来说都是不利的,因为高通胀侵蚀了投资回报,而经济增长疲软又减少了企业盈利的可能性。在2008年金融危机期间,由于美国经济衰退,美国国债作为避险资产受到了追捧,债券价格上涨,收益率下降。2009年后,随着各国政府和央行实施大规模刺激措施,全球股市开始回升。
美林投资时钟理论虽然在大类资产配置的理论指导上不一定总是成立,但其对经济周期的划分方式仍然简洁高效。在实际操作中,经济周期也不总是遵循预期的模式,市场可能提前或滞后于经济数据的变化作出反应。因此,美林投资时钟更多地作为一种指导性的工具而非绝对的投资法则。
我们已经初步了解了GDP的构成和变化逻辑。如何判断现实中的经济形势呢?我们知道,GDP在理论上可以被理解为产出、收入和需求的等量循环。但是在现实中,因素众多,这三者往往会出现差异,尤其体现在供给和需求不匹配的情况。在宏观经济中,供给过剩和供给不足的现象及带来的经济问题各有不同。供给过剩一般表现为市场上的商品和服务超过需求,导致价格下降、库存积压,企业可能会削减生产、减少雇员,进而影响到整体经济增长速度和就业稳定性;而供给不足则体现为需求旺盛而供给跟不上,此时市场可能出现商品短缺、价格上涨、消费者等待时间延长等问题,这可能导致通货膨胀加剧,消费者的购买力下降,且经济增长可能受到限制。
通常,经济学家通常会参考库存水平、产能利用率、生产者价格指数(PPI)和消费者价格指数(CPI)等指标,此外失业率、企业盈利状况、市场需求调查等也是重要的参考依据。例如,当PPI和CPI持续走低,库存水平上升时,可能意味着存在供给过剩的风险;反之,若价格指数上涨且市场需求强劲,则可能是供给不足的信号。

图表17:使用经济统计数据分析经济形势(来源:网络)
PMI(采购经理人指数)则是用来衡量产出水平的指标,通常是指制造业和非制造业企业的生产活动水平。这个指数是通过对采购经理人的调查得出的,调查中询问了关于企业当前生产水平的问题,然后根据回答进行量化处理并编制成指数形式。
在制造业PMI中,产出指数通常是衡量企业生产活动的一个重要组成部分。它与新订单、就业、供应商交货时间、库存等其他几个分类指数一起构成了完整的制造业PMI。如果产出指数高于50%,则表示制造业产出正在增长;如果低于50%,则表示制造业产出正在收缩。综合PMI产出指数则是对整个经济(包括制造业和非制造业)产出状况的一个概括性指标。它通过给予制造业和非制造业产出指数不同权重来计算得出,这些权重通常反映了这两个部门在国内生产总值(GDP)中的比重。
其他金融数据也可以从侧面体现当前宏观经济的情况。例如,利率水平和信贷增长率就是两个非常重要的金融指标。利率的升降不仅反映了中央银行对经济状况的态度,还直接影响了企业和个人的借贷成本,进而影响消费和投资行为。信贷增长率则揭示了银行系统向实体经济提供的资金量,增长速度快表明资金流动性强,经济活动活跃;反之则可能意味着信贷紧缩,经济活动放缓。货币供应量(Money Supply)也是金融数据中的一个重要部分。货币供应量的不同层次(M0、M1、M2)的增减反映了经济体系内的流动性状况,对经济有着重要的影响。
当M0(流通中的现金)增加时,意味着市场上有更多的现金在流通,这可能会导致通货膨胀压力上升。反之,如果M0减少,则表明市场上流通的现金减少,可能会导致通货紧缩风险增加。M1(包括M0加上活期存款和支票账户)的增加可能预示着企业扩大生产规模、消费者增加开支等积极的经济动向。但如果增长过快,也可能引发通货膨胀。相反,M1减少则可能表明经济活动减弱。M2(包括M1加上储蓄存款、定期存款和个人定期存单等)的增减则反映了经济中潜在的购买力。M2的增加表明经济中存在更多的潜在资金,这些资金可以随时转化为M1,从而影响经济活动。如果M2快速增长,而实际经济活动没有相应增加,那么可能会出现资金空转的情况,即资金在金融系统内部流转而不是流入实体经济。反之,M2减少可能意味着经济中可用的资金减少,从而限制了经济活动的扩张。
当M1(狭义货币供应量)的增长率与M2(广义货币供应量)的增长率之间存在显著差异时,这种现象被称为“剪刀差”。如果M1的增长率显著高于M2的增长率,这意味着市场上的流动性较强,表明短期内经济活动可能较为活跃。相反,如果M2的增长率显著高于M1的增长率,则可能意味着更多的资金被存储为定期存款或其他低流动性资产。这种情况可能反映了投资者对未来经济不确定性的担忧,或者是银行系统收紧了贷款标准,使得资金更加倾向于进入相对安全的资产。
此外,股票市场的表现也是一个风向标,股价指数的涨跌可以反映出市场对未来经济增长的信心。另外,汇率影响着该国的进出口贸易,也需要密切关注。最后,债券市场中的收益率曲线形态也能透露出市场对短期与长期利率的预期,平坦或倒挂的曲线通常是一个需要关注的信号。

图表18:人民币汇率走势图(来源:choice)
我们曾介绍过,计量经济学(Econometrics)是应用经济学中重要分支。它不仅仅是一个用于测试经济理论的工具,同时也是连接理论与实践的桥梁。计量经济学研究的目标是理解经济变量之间的关系,这包括但不限于消费、投资、储蓄、生产率以及经济增长等。为了实现这个目标,计量经济学采用了多种不同的方法和技术,从简单的线性回归分析到复杂的动态模型,甚至是非参数和半参数方法。
在构建计量经济学模型时,研究者首先会根据现有的经济理论和假设来定义模型的形式。例如,如果我们要研究教育水平对收入的影响,可以建立一个包含教育水平(解释变量)和收入(被解释变量)在内的回归模型。接着,我们需要收集相关数据。这些数据可以从公开发布的统计数据中获取,也可以通过专门的社会调查或者实验设计来收集。由于数据的质量会直接影响到模型估计的准确性,在进行实证分析之前,对数据进行清理和预处理是非常必要的。
一旦数据准备好,就可以开始使用适当的统计软件(如Eviews、Stata等)或统计编程语言(如R等)来进行模型估计。在这里,普通最小二乘法(OLS)是最基础也是最常用的估计方法之一。估计过程中,还需要确保模型满足经典的假设条件,比如误差项应该是零均值、同方差并且不存在序列相关等。如果不满足这些条件,则需要采取相应的处理,如异方差性修正、序列相关性修正等。

图表19:估计被解释变量y与解释变量X之间的关系(来源:网络)
完成模型估计后,接下来是对模型进行诊断性检查。这一步骤是为了验证模型是否可靠,是否能够正确反映经济现实。常见的检验包括多重共线性检验、异方差性检验、序列相关性检验等。只有通过了这些检验,模型的结果才是可信的。
最终,基于模型的估计结果,我们可以得出关于经济变量之间关系的具体结论,并据此进行预测或者为政策建议提供依据。例如,如果我们发现在控制了其他因素的情况下,每增加一年的教育在统计学意义上可以显著提高个人收入,那么这样的发现就可以用来支持提升教育投资的政策建议。
上述流程处理的“横截面数据”。横截面数据(Cross-sectional Data)是指在某一特定时间点上,不同个体或实体的数据集合。这类数据有助于理解在相同时间条件下不同样本之间的差异。例如,2024年某个时间点上不同国家的失业率。时间序列数据(Time Series Data)是指对同一对象或现象在不同时间点上的观测记录。这类数据强调的是单一实体或变量随时间的变化趋势和发展模式。例如,某个国家从2000年到2024年的季度GDP数据。面板数据(Panel Data)或纵向数据结合了横截面数据和时间序列数据的特点,提供了在不同时间点上多个个体或实体的数据集合。面板数据既包含了跨个体的差异,也包含了每个个体随时间的变化情况。例如,不同国家在2000年至2024年每年的通货膨胀率。
我们可以以一个最简单的OLS回归的例子来理解计量经济学建模的流程。使用1978年美国某汽车售价的数据集,我们想知道汽车价格(price)与油耗(mpg)、重量(weight)等变量的关系。在对数据集进行初始清洗和预处理后,我们使用Stata软件分析它们之间的关系。如下图所示,软件给出了估计结果。其中,t列给出的是假设该项系数为0进行t检验得出的t值,p列给出了该检验的p值。通常我们认为,p值小于等于0.05即可认为该项是统计学显著的。例如读取下图结果,我们可以说,在控制其他变量不变的情况下,可以认为汽车重量(weight)对汽车价格(price)的影响在统计学意义上是显著的。

图表20:Stata软件给出的估计结果(来源:Stata示例数据集)
当然,以上只是一个最简单的例子。在OLS模型中,理想情况下,所有的解释变量都被假定为外生的,这意味着解释变量与误差项不相关。这种外生性是OLS估计量一致性的重要前提。具体来说,OLS模型假定扰动项(误差项)与所有解释变量之间不存在相关性,即误差项的条件期望为零E(ϵ∣X)=0。这个假定保证了OLS估计量的无偏性和一致性。然而,在实际应用中,有时解释变量可能与误差项相关,这种情况被称为“内生性”(Endogeneity)。当存在内生性时,OLS估计量不再保持无偏性和一致性,模型的估计结果是不可靠的。内生性可能由多种原因引起,比如遗漏变量、测量误差、同时方程模型(即解释变量也是模型的结果)等。
处理内生性问题是计量经济学建模的一个重要课题。解决内生性问题的方法有很多,包括但不限于使用工具变量法(Instrumental Variables, IV)、两阶段最小二乘法(Two-Stage Least Squares, 2SLS)、自然实验法等。这些方法旨在找到一个或多个与内生解释变量高度相关的工具变量,但与误差项不相关,从而帮助分离出内生解释变量的真实影响。例如,如果我们想找到股票指数收益率和利率、汇率之间的关系,我们能否使用OLS回归呢?答案显然是否定的,因为如果用利率、汇率作为被解释变量,它们之间不是独立的,而是互相影响的(存在双向因果关系),互为内生变量。此时除了解决内生性问题,我们还可以直接对内生变量进行建模。我们可以考虑使用向量自回归(VAR)模型或向量误差修正(VEC)模型来更好地理解和建模这些变量之间的动态关系。
VAR模型允许我们同时分析多个时间序列变量之间的相互关系,而无需明确地区分哪些变量是因变量。在VAR模型中,每个变量都是由模型中所有其他变量的滞后值来预测的。例如,在一个包含股票指数收益率、利率和汇率的VAR模型中,每个变量都将根据其历史值以及其它两个变量的历史值来进行预测。这种方法承认了变量之间的相互依赖性,并能够捕捉它们之间的动态交互效应。
如果这些时间序列变量之间存在长期的均衡关系,即它们是协整(Cointegration)的,那么使用VEC模型会更加合适。VEC模型不仅考虑了变量间的短期动态关系,还加入了误差修正机制,用于反映变量从短期失衡状态向长期均衡状态的调整过程。为了进一步理解这些变量之间的相互作用,我们可以利用方差分解(Variance Decomposition)和脉冲响应函数(Impulse Response Function)这两种VAR模型的分析工具。方差分解可以将预测误差的方差分解为模型中各个变量贡献的部分。通过方差分解,我们可以量化并理解在一个多变量系统中,每个变量对其他变量波动的贡献程度。这对于理解股票指数收益率、利率和汇率之间的相对影响非常有用。脉冲响应函数可以分析某个变量的冲击如何影响系统中其他变量的动态路径。在VAR模型中,可以通过脉冲响应函数来模拟一个标准差大小的随机冲击对系统中其他变量的影响,并观察这些影响如何随时间演变。例如,我们可以评估利率或汇率的突然变化如何影响股票市场的反应。

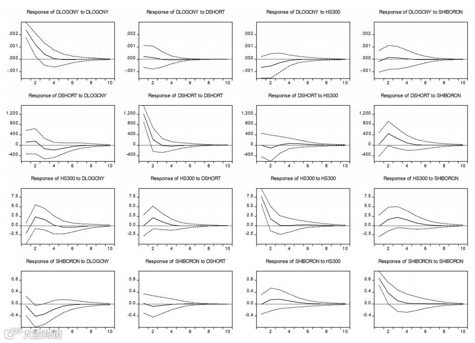
图表21:利率、人民币汇率、沪深300指数、短期国际资本流动之间的脉冲响应(来源:陈泽源)
纵观历史,技术进步对推动历史周期前进的作用不可谓不重大,正所谓“生产力决定生产关系”、“经济基础决定上层建筑”。在农业社会,诸如铁器、水车和重犁等工具的发明和广泛应用显著提升了农业生产的效率,使得粮食产量增加,社会得以养活更多的人口,从而促进了社会结构的稳定。这种农业社会的稳定性带来了人类第一次大繁荣。
进入工业社会后,技术进步的作用更加显著。蒸汽时代的到来,标志着工业化生产的开端,蒸汽机的广泛使用极大地提高了生产力,推动了交通运输、制造业等多个领域的快速发展。随着蒸汽机的应用,不仅工业生产得到了质的飞跃,而且还带动了全球贸易的增长,形成了新的经济秩序。随着电力时代的到来,现代工业走向成熟。电力的广泛应用不仅提高了生产效率,还催生了众多新兴产业,如电气设备制造、家用电器等。电力的应用改变了人们的日常生活,也推动了城市化进程,进一步加深了全球经济的融合,形成了更为紧密的世界经济体系。

图表22:历次繁荣时代成因分析(来源:洋恺宏观)
然而,每次技术进步所伴随的全球繁荣和高增长都是不会永远持续的。技术进步对政治经济社会的贡献也存在着明显的边际递减效应。当技术红利增量逐渐缩小进入存量博弈状态,世界政治经济往往就走向不确定。例如第二次工业革命进入后期时,地缘矛盾就会重新走上历史舞台,以至于催生了两次世界大战。

图表23:1929-1933美国大萧条(来源:历史资料)
二战结束后,全球政治和经济体系发生了重构。解放运动兴起、殖民体系瓦解,美国取代“日不落帝国”成为世界霸主,全球关税税率和贸易壁垒大幅削减,国际贸易高速增长,国际支付规则上美国构建了布雷顿森林体系。战后,各国劳动力进一步恢复,婴儿潮的到来带来了大量人口红利,进一步延长了经济繁荣的时间。上世纪90年代以来,信息技术特别是互联网的普及,以及随之而来的计算机技术的革新掀起了新一轮技术革命,极大地推动了全球信息化进程。这不仅提高了信息传播的速度和广度,还促进了全球经济的一体化,使得跨国公司、远程工作成为可能,极大地提高了生产效率和服务质量。这场技术革命一直影响至今,虽然局部热战并未停止,但总体而言,人类进入了历史上从未有过的持续较长的繁荣和平时期。

图表24:全球进入加杠杆周期(来源:网络)
另一方面,随着技术爆炸,全球经济也进入加杠杆周期。尽管2008年美国爆发了次贷危机,但与历史上历次相比,本次危机相对来说甚至可以算是平稳度过。凭借各国积极的财政政策和宽松的货币政策,尽管危机余波未平,世界经济暂时走出了金融危机的阴影。与历史上各次繁荣时期相比,发达国家普遍呈现“高增长、低通胀、低利率”等特征,当然,发达国家也普遍面临产业空心化和贫富差距加大的问题。
近年来,每个人都会明显感觉到,全球经济又进入了新阶段、新周期,历史走到了“百年未有之大变局”的十字路口。这根本上是因为,信息技术革命的边际贡献也已经到了一个相对较低的水平。而推动人类历史进入新的周期的根本方法,依然只有技术进步。因此,无论是之前盛传的室温超导,或是现在各方下注的人工智能,均是人们对于新一轮技术革命的探索和努力。因此,站在当前的历史时点来说,现在既是挑战,更是前所未有的机遇期。
当前,国内宏观经济处在新旧动能转换的关键时期,坚持稳中求进、以进促稳、先立后破的原则,彰显经济韧性,经济稳定运行、长期向好的基本面没有改变。
信心源自认知。展望下一步工作,国企应当越发勇挑重担,保持定力,乐观前行。我们既要对各类金融风险树立清晰的认知,更要展现担当,以稳为主,练好内功。只有这样,我们才能于变局中开新局,在经济周期全面进入复苏时期的阶段,抓住新机遇。

扫码获取研报文稿
元毅私募基金管理(常州)有限公司为常州人才科创集团投资板块直属企业,协同常州投资集团各大业务板块,依托人才科创集团优质投后赋能基因作为GP参与基金管理与开展投资业务,打造“投招孵”一体化工作平台。全面开启未来产业赛道行业研究,建设产业技术研究院、博士后创新实践基地,辅助人才招引和投资决策,协助成果转化。积极承接宏观经济研究、行业深度研究、项目分析估值等需求,提供专业的深度研究服务。
编辑:恽馥溢
审核:徐 澄


