大数跨境
0
0

高速链路中满足BER的最小测试bit数

高速链路中满足BER的最小测试bit数 Manda与FPGA
2025-11-06
3

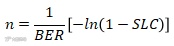
        BER,Bit Error Rate,误码率。在高速链路测试中,我们经常说要求链路测试的BER达到1E-12。那我们需要至少测试多少bit的数据,才有信心满足1E-12的误码率的要求呢?计算公式如下:

其中,

        n=测试的总bit数
        SLC=Statical Level of Confidence,置信水平
        N=测试过程中的错误bit数
        如果测试过程中,没有出现错误,上面的公式可以简化为:
所以对应不同的SLC,例如99.5%、99%......,最小测试bit数如下表。
比如,期望链路误码率达到1E-12,我们至少要测试5E12比特的数据。

【声明】内容源于网络
0
0
Manda与FPGA
Manda,与FPGA打交道十八年。
内容 4
粉丝 0
Manda与FPGA Manda,与FPGA打交道十八年。
总阅读5
粉丝0
内容4