来源:山西省工商行政管理局网站
前 言
为综合反映全省企业生存状况及发展趋势,山西省工商行政管理局立项并组织编制发布了山西省市场主体指数,委托杭州数亮科技股份有限公司负责研发与编制。该指数的编制遵循现代统计科学原理,运用综合评价理论与方法,在构建科学的指标体系基础上,以山西省200余万家市场主体企业为研究对象,采用政府部门和2000余家样本企业(样本企业不含个体工商户及合作社)提供的数据计算而成。指数以2014年为基期,以100为基数(高于100,说明增长,反之则跌),2018年3月为首次发布,今后将每季度发布一次。山西省市场主体指数将成为社会各界了解、掌握山西市场主体发展状况的重要渠道,为政府部门制定相关政策及为企业经营决策提供数据支撑,为培育、支持与壮大山西重点产业及特色产业发展提供有效指导。
山西省市场主体发展指数由全部市场主体发展指数、成熟市场主体成长指数和新设市场主体活跃指数构成。全部市场主体发展指数全面反映山西省市场主体在市场经营活动中发展水平、影响力以及新设市场主体的生存状态;成熟市场主体成长指数重点反映成立三年以上的样本企业的成长性情况;新设市场主体活跃指数侧重反映新成立样本企业每年的活跃性情况。这三类指数共用同一套指标体系,但每类指数涵盖市场主体的编制口径不同。全部市场主体发展指数编制涵盖所有样本企业数据,成熟市场主体成长指数是由2014年之前注册的样本企业数据编制,新设市场主体活跃指数是2014年之后(含2014年)注册的新增样本企业数据编制而成。各类指数由经济贡献力、双创活力度和制度助推力三大模块组成,分别反映企业在发展过程中的社会经济贡献能力、竞争能力与成长潜力以及政府政策支持力度等实际情况。经济贡献力由资产总额、营业收入总额、利税总额、上市企业数等指标构成,从市场主体自身发展水平、业绩成就和社会经济效益等方面综合反映企业在发展过程中经济贡献能力。双创活力度包括本科以上学历人员比重、技术人才(含高技)比重、第三产业主体数占比、新产品产值占比等指标,从人才投入、产业优化等方面衡量市场主体的双创活跃度与竞争力。制度助推力一方面由政府资金扶持力度、企业融资便捷程度、政府机构办事效率等指标反映政策制度支持力度,另一方面考虑主体对政策的满意程度感受等指标反映的企业对政府政策制度支持的满意度,综合评价政府政策支持的力度与成效。
2017年山西省市场主体发展指数报告由五部分组成。首先阐明山西市场主体发展指数编制的意义;其次,针对山西省不同行业、不同地区、不同规模等市场主体,分析山西省市场主体整体的运行情况和发展态势;再从不同的角度切入分析成熟市场主体成长指数的发展情况及优势,然后根据新设市场主体的表现,分析新设市场主体活跃指数的运行情况及发展特点,以及分析中小企业发展的推力作用;最后,根据山西省市场主体存在的问题,提出了山西省市场主体进一步发展的对策和建议。

山西省市场主体发展指数及其指标体系构成(注:指标解释详见附录三)
目 录
一、编制山西省市场主体发展指数的意义 1
二、山西省全部市场主体发展指数态势良好 3
(一)全部市场主体发展成绩亮眼 3
(二)各行业发展差异有所显现 4
(三)地区之间已形成三个发展梯级 5
(四)不同规模市场主体发展状况存在差异 7
三、 山西省成熟市场主体成长指数发展加快 7
(一)成熟市场主体成长指数表现突出 7
(二)全省经济企稳回升,市场主体成长势头强劲 8
(三)市场主体结构逐步优化,产业布局更趋合理 9
(四)传统产业优化升级,煤炭领域“去产能”成效明显 11
四、 山西省新设市场主体活跃指数有所增长 12
(一)新设市场主体初显活力 12
(二)新设市场主体从业者知识化、年轻化成为主流 13
(三)政策满意度不断提高,精准服务初显成效 14
(四)中小企业发展对经济推力越来越强 16
五、山西市场主体发展中存在的问题及对策 18
(一)市场主体发展存在“一高四低”问题 18
(二)对策和建议 19
附录一:指数模型 22
附录二:评价指标体系 23
附录三:指标解释 24
一、编制山西省市场主体发展指数的意义
山西省市场主体包含各类企业、个体工商户、合作社等多种类型,是区域经济的“细胞”和基础,对促进山西产业结构调整和扩大就业工作发挥了重要的支撑作用。编制山西省市场主体发展指数的主要目的是,专门开展山西省市场主体发展态势及构成情况的调研分析,客观揭示存在的问题,准确把握和充分利用山西发展的有利条件,充分挖掘山西经济发展潜力和发挥好山西各地发展优势,推动山西经济高质量发展,助力开创山西省资源型城市转型发展的新局面。
编制山西省市场主体发展指数,主要有以下四个方面的意义:
编制山西省市场主体发展指数,可为政府决策提供重要的参考依据。通过对全省各类行业范围内抽选的样本企业、商户等的持续跟踪观测,全面和系统掌握全省新设市场主体企业生存、经营、发展态势,运用科学的指数分析方法进行因素分析和预测预警分析,在管理决策上更多地运用定量数据和定量分析方法,提高政府部门管理决策的科学性、准确性和前瞻性。
编制山西省市场主体发展指数,可为企业经营决策提供有力支持。指数可以反映出丰富的新设市场主体生存相关信息,揭示其成长的规律性和周期性等特征,为企业家、个体工商户、创业者和投资者在企业经营、投资选择、计划制定的过程中提供强有力的数据支持。同时,通过指数的编制与发布,企业可更精准地把握政策、环境、创新、竞争、信心等多种因素对各类企业、商户成长产生的影响,为企业战略调整和经营决策提供更丰富的资讯信息和数据支撑。
编制山西省市场主体发展指数,可为考核评比提供数据支撑。运用指数形式描述和展示全省新设市场主体成长轨迹,分析各项政策举措所产生的重要影响及促进效果,对于提升政府部门的工作效能和服务质量具有积极意义。并且运用指数数据,结合相关观测指标或考核指标,可以开展更加科学、更加精准的考核评比、评价评级,排名分层、评优选拔工作。
编制山西省市场主体发展指数,可为培育、支持与壮大山西重点产业及特色产业发展提供有效指导。山西省市场主体发展指数从经济贡献、双创活力、政策助力三个维度全面反映了山西省市场主体的发展活力及发展态势,对全省龙头企业、特色企业与小微企业发展具有引导与推动作用。
二、山西省全部市场主体发展指数态势良好
山西省新设市场主体数量逐年提高,2017年新设市场主体(含个体户、农村合作社等)数量突破41万户,2017年末市场主体注册资本总额已超过4.46万亿元。山西省通过不断深化商事制度改革,全力打造“六最”营商环境,切实减轻了市场主体负担,市场主体呈现蓬勃发展态势。
(一)全部市场主体发展成绩亮眼
山西省全部市场主体发展指数的编制涵盖了所有样本企业数据,全面反映山西省市场主体在市场经营活动中的发展水平、影响力以及新设市场主体的生存状况。
2017年,山西省全部市场主体发展指数上涨26.16个百分点,达126.16点,涨势明显,经济贡献力、双创活力度、制度助推力均保持上升态势。双创活力度对总指数影响最大,正向拉动上升52.36%,其次是经济贡献力,贡献了11.73个百分点。制度助推力轻微上涨,只贡献了0.73个百分点。
图2.1 全部市场主体发展指数及构成指数走势图
表2.1全部市场主体发展指数及构成

注:贡献率指标解释详见附录三
经济贡献力逐年提升,2017年涨幅达23.46个百分点,总注册资本指标数值(155.86点)增长对经济贡献力影响最大,市场主体对山西经济贡献不断增强;双创活力度上升最快,指数涨幅超30%,指数值达139.14点, 35岁以下法人代表人数占比指标数值(194.50点)对双创活力度影响最大,“双创”有力推动了全省市场主体的快速发展;制度助推力稳中有进,连续三年平稳上升,所构成的八项指标增幅平衡,相差不大。
(二)各行业发展差异有所显现
2017年市场主体中建筑业、租赁与商业服务业、制造业等三个行业的指数涨幅居前,列前三位,其中建筑业指数上涨33.22%,位列全省领跑行业。在三个分项指标指数中,建筑业、制造业、采矿业、租赁和商业服务业的经济贡献力增加最快,这些行业在全省有着举足轻重的地位,行业的景气程度能较大地影响山西整体经济发展的走向;建筑业、批发和零售业、租赁和商业服务业的双创活力度遥遥领先,三大行业创业投入最大、高学历、技术人才最为集中;采矿业、建筑业、批发零售业的制度助推力位居前列。而山西原有优势与特色行业——煤炭,市场主体发展指数值为111.31点,在七个行业中居于第五位,各分项指数平衡发展。其中,经济贡献力排名第五,双创活力度排名第六,制度助推力排名第四。煤炭行业各项指数在行业中优势已在弱化,与全部市场主体发展指数水平之间差距在拉大。

注:分行业指数由2000余家样本按国民经济行业归纳后,进行编制。其中,针对山西煤炭行业,特编制煤炭行业指数
(三)地区之间已形成三个发展梯级
山西各地市场主体发展指数总体表现良好,太原、忻州、运城、朔州成为全省市场主体发展速度的第一梯级地区,2017年市场主体发展指数在125%以上。其中,太原市一马当先,成绩优异。太原市场主体发展的各项指标,无论是主体规模、数量、效益还是成长速度在山西省中都是首屈一指。2017年,太原市场主体发展指数增加了27.92个百分点。三大模块指数中,经济贡献力、双创活力度和制度助推力均排名靠前。
忻州、运城紧跟太原之后,位列全省第二、三位。忻州市场主体发展指数上涨26.34%,占据全省第二位次,三大模块指数发展均衡,无突出项。运城市场主体发展指数增长26.03个百分点,其中,经济贡献力在全省排名第二,制度助推力位列全省第三。朔州发展速度位列全省第四位,市场主体发展指数上涨25.83%,双创活力度增加47.30%,位居全省榜首,制度助推力全省排名第二。
临汾、晋中、大同三地市场主体整体表现不俗,成为全省市场主体发展速度的第二梯级地区,2017年市场主体发展指数在119%以上。临汾市总指数增长21.91%,制度助推力表现突出,在山西省各地市中排名第一。晋中市在2014-2017年期间总指数增长20.83%,双创活力度增涨较为明显,全省排名第三,其余模块指数均衡发展。2017年大同市市场主体发展指数涨幅为19.88%,大同的经济贡献成绩卓越,在山西全省占居首席。
长治、阳泉、吕梁和晋城的市场主体发展也取得明显进展,成为全省市场主体发展速度的第三梯级地区,2017年指数涨幅分别为17.30%、17.17%、16.42%和14.65%。其中,阳泉的双创活力相对突出,排名第四。

(四)不同规模市场主体发展状况存在差异
为深入解读山西市场主体发展的差异性,按规模大小(以500万资产总额为界)分为大企业和中小企业两类进行编制指数。2017年大企业市场主体发展指数为128.89点,低于中小企业市场主体发展指数。其中,经济贡献力和制度助推力数值大企业均低于中小企业,中小企业的经济贡献能力提升步伐处在加快的态势中。同时,中小企业政策获得感比大企业更高,指数值达105.19点,各项指标综合平均得分为6.76分较大企业评分(满分为10分,综合平均得分6.65分)高出0.11分。
图2.3 2017年分规模市场主体发展指数及构成
三、山西省成熟市场主体成长指数发展加快
(一)成熟市场主体成长指数表现突出
山西省成熟市场主体成长指数是由2014年之前注册的样本企业数据编制而成,重点反映成立三年以上的样本企业的成长性情况。
2017年,山西市场主体仍持续向好,成熟市场主体成长指数较基期上涨超过20%,指数值达121.61点。经济贡献力对总指数影响最大,正向拉动上涨52.07%,贡献了11.25个百分点。其次是双创活力度,正向拉动上升45.61%。但制度助推力涨幅不明显,只贡献了0.5个百分点。
双创活力度仍紧跟全省市场主体走向,涨幅领先,指数值达128.16点,各分项指标整体表现强劲,但技术人才比重指标相对薄弱,企业技术人才比重下降,技术人才缺口的严峻形势尚未改观;经济贡献力表现良好,指数从2016年开始止跌回升,且在2017年有较大涨幅,达122.50点,但盈利企业占比指数仍处于100点以下,成立三年以上的企业盈利面仍未得到较大改善。成熟市场主体成长指数中的经济贡献力较大,制度助推力稳步上升,八项指标表现相对均衡,其中政府机构的办事效率指数增幅最大,指数值达104.15点,山西省全力打造“六最”营商环境的举措正在持续发力。

(二)全省经济企稳回升,市场主体成长势头强劲
2016年以来,山西省不断深化商事制度改革,多证合一、一照一码等系列改革政策,极大地激发了全省的市场活力和社会创造力。截止2017年12月31日,山西省共有市场主体208.68万户,个体工商户146.26万户,企业52.46万家,农民专业合作社9.96万家。市场主体总量比2016年增长了13万余户。样本企业调查数据表明,2017年市场主体资产总额、营业收入总额、利润总额指标均呈现快速增长趋势,增幅分别为38.19%、18.01%、16.86%,尤其是营业收入总额相对2016年上升最为明显。全省市场主体注册资本总额也是节节攀升,金额高达4.46万亿元,较基期高出1.5倍。数据表明山西市场主体整体上正在逐步向好发展。

图3.1 2016-2017年资产总额、营业收入、利润总额三个指标指数
(三)市场主体结构逐步优化,产业布局更趋合理
山西省第三产业的市场主体其主导作用进一步凸现,市场主体结构获得有效改善。2017年,山西市场主体总量一、二、三产业占比分别为6.75:6.95:86.30(见图3.2),第三产业占比高达86.3%。从总注册资本来看,2017年第三产业注册资本达30768.45亿元,同比增长24.94%;在税收收入上,更是实现了两位数以上的增长,三次产业税收大幅回暖,供给侧结构性改革产生了积极效果,第三产业经济税收规模及增速均有所提升,山西经济结构转型及经济增长方式变革正在积极地变化。
2017年,山西国有资本投资运营公司的引领作用更加显著,山西省国资委监管国有企业资产总额达22069.43亿元,较2016年增长10.95%,营业收入达12005.8亿元,增长3.90%,营业成本比2016年下降57.15亿元。全省深化国资国企改革取得积极进展,构筑起山西国民经济的“四梁八柱”,新组建了一批能承担山西经济发展重任的专业化的大集团公司——山西国投公司、文旅集团、交控集团、云时代、大地公司、航空产业集团 。


图3.2 2017年山西市场主体第一、二、三产业占比情况
(四)传统产业优化升级,煤炭领域“去产能”成效明显
在全国煤炭供给侧结构性改革持续深化的大背景下,山西作为产煤大省在煤炭领域“去产能”的成效显著。2016年—2017年,全省共关闭煤矿52座,退出煤炭产能4590万吨,并率先实施了煤炭减量化生产,为改善中国煤炭市场供求关系作出了重要贡献。其中,2016年关闭退出和减量重组煤矿25座,退出煤炭产能2325万吨;2017年关闭煤矿27座,退出落后产能2265万吨。样本数据表明,煤炭行业市场主体发展指数除2015年跌至低谷外,已转向回升,至2017年指数值达111.31%,同时其他各项指数均呈现上升态势,经济贡献力指数增涨14.62%,双创活力度上升9.89%,制度助推力增幅3.6%。
截止2017年,山西全省生产煤矿数为568家,较2016年减少13家,大同市、朔州市、吕梁市、晋中市和运城市的生产煤矿数与全省保持同步下降。2017年全省煤炭产量87571万吨,较2014年煤炭产量97670减少10099万吨。
图3.3 山西11个地市2016-2017年生产煤炭企业数
四、山西省新设市场主体活跃指数有所增长
(一)新设市场主体初显活力
山西省新设市场主体活跃指数是由2014年之后(含2014年)注册的新增样本企业数据编制而成,侧重反映新成立样本企业每年的活跃性情况。
2017年,山西省新设市场主体活跃指数上涨8.09%,指数值逐步走高,为108.09点,其构成的三大模块指数表现各异,有起有伏。双创活力度节节攀升,连创新高,指数达133.15点,表现抢眼,是活跃指数上涨的主要动能。经济贡献力呈现下降趋势,其中企业资产和利税总额两个指标存在下滑现象,是需要弥补的发展短板。在经济贡献力下跌导致活跃指数下降3.79个百分点的情况下,双创活力度的大幅增长使得活跃指数仍然能够上涨7.81个百分点。制度助推力表现一般,指数值101.83点,为新增主体指数上涨仅贡献0.28个百分点,仍有提升空间。

(二)新设市场主体从业者知识化、年轻化成为主流
随着国家“双创”战略的强化实施,山西新设市场主体更具活力,新设市场主体负责人及人才知识化、年轻化特征更为明显。
统计调查显示,2014年山西省新设市场主体负责人年龄在35岁以下的人数为2.70万人,占全部新设市场主体的45.08%, 但到2017年增至9.06万,占比提高至67.68%。青年创业主体占比不断增加,创业者知识水平也不断提高。企业人才比重也不断提升,本科及以上学历人员比重和技术人才(含高技)比重两个指标连续四年间均向上增长,分别由2014年的13.54%、11.86%涨至2017年的15.97%、19.37%,高学历、高技术人才数量上升,市场主体更显活力。
数据显示,2017年第四季度,山西全省大学专科及以上学历求职人数大于用工需求人数,相差近4.3万人,表明山西全力打造“六最”营商环境吸聚高学历人才的效果已经显现。
图4.1 2016-2017年本科及以上人员和技术人才比重指标指数
(三)政策满意度不断提高,精准服务初显成效
近年来,山西全省各级政府持续推进人民满意的服务型政府建设,省市县三级行政机构权力清单、责任清单公布运行,“放管服效”改革有力有效。大力推行全程电子化和电子营业执照,进一步优化线上服务;推进“证照分离”改革试点,除涉及国家安全、公共安全、生态安全和公众健康等重大公共利益之外,把能分离的许可类的“证”都分离出去,分别予以取消或改为备案、告知承诺等管理方式;完善权责清单,在行政权力清单外不准设定和实施其他行政职权,在责任清单内不准推诿扯皮、懒政怠政和为政不为。同时,实行负面清单管理方式,最大限度缩小核准范围、减少核准事项。
2017年10月底前,在山西全省范围内实现“多证合一、一照一码”,对工商登记前后涉及的信息采集、记载公示和管理备查类的各种涉企证照事项,能整合的尽量整合、能简化的尽量简化、该减掉的坚决减掉,充分激发市场活力和经济发展内生动力。
随着山西全力打造“六最”营商环境,山西市场主体对政府扶持政策和制度环境的感知度、满意度不断提高。抽样调查显示,八个指标项目主观评分(评分为十分制)中山西省有三项表现相对较好,分别是:政府机构的办事效率指标,平均得分为7.59分;对税收减免优惠政策的满意程度指标,平均得分为7.23分;对涉企行政事业性收费减免政策的感受指标,平均得分7.17分。然而,与浙江新设小微企业政策环境满意度相比,山西省表现良好的三个指标分值均低于浙江新设小微分值,山西的营商环境氛围仍有较大的改进空间,具体比较如下:政府机构的办事效率指标,浙江新设小微评分较山西高0.98分;对税收减免优惠政策的满意程度指标,较山西高1.17分;对涉企行政事业性收费减免政策的感受指标,较山西高1.3分。说明山西省商事制度改革确实带来了一些成效,但仍有不足之处,可进一步完善。
从分地区看,大同市的市场主体政策制度满意度最高,8个测评项目的平均得分为7.34;临汾市的制度助力工作领跑全省,其制度助推力指数为全省最高达109.62点。


(四)中小企业发展对经济推力越来越强
2017年,随着优化营商环境的全面展开,大大激发了大众投资创业的热情,山西市场主体越来越活,经济越来越向好发展,中小企业发展活力越来越强,中小企业发展对全省经济的推力作用越来越明显。
截止2017年12月31日,中小企业(注册资本500万以下(含500万))总户数356153家,同比增加15%;总注册资本达3371.55亿元,与2016年相比提高22%。全省中小企业积极适应新常态,呈现较快发展的良好态势,有力助推全省经济社会的健康发展。
调查数据表明,第三产业的中小企业占了大头。2017年山西省第三产业中小企业注册户数283973家,占据了中小企业总户数的80%;总注册资本2587.55亿元,是全省中小企业总注册资本的76.75%。随着第三产业对全省经济贡献力不断提升,中小企业已成为促进山西省产业结构优化升级的重要新生力量。
全省各地市中小企业发展也存在一定程度的不平衡性。从总量看,太原市中小企业2017年注册户数有92031家,占全省总数的25.84%;总注册资本1088.54亿元,占据总注册资本的将近三分之一。从增量看,吕梁市新增户数同比增加30.85%,朔州市则同比下降2.14%;大同市新增注册资本同比增加41.47%,朔州市则同比下降5.15%。
根据样本数据计算, 2017年中小规模企业的市场主体发展指数值为132.08点。其中,经济贡献力和双创活力度指数涨幅均超过30%,表明中小企业的蓬勃发展对整个市场主体发展做出了较大的贡献,中小企业在设立及发展过程中所迸发的活力,支撑起了山西全省市场主体兴旺发展的新局面。
五、山西市场主体发展中存在的问题及对策
(一)市场主体发展存在“一高四低”问题
山西省市场主体包含各类企业、个体工商户、合作社等多种类型,是山西省经济发展的主体,在“大众创业、万众创新”等政策措施推动下,山西经济发展起稳向好,市场主体成长加快、活力获得提升。但从样本企业及政府部门提供的数据显示,山西省市场主体在其发展过程中,存在“一高四低”问题必须引起高度重视:
一是煤炭行业市场主体占比依旧较高
样本数据显示,煤炭企业指数效果低于全省平均水平,对山西整体经济影响较大,煤炭供给侧结构改革任务依旧十分艰巨。
二是全省战略性新兴产业的市场主体占比较低
目前山西省正在加快培育和发展高端装备制造、新能源、新材料、节能环保、生物、煤层气、新一代信息技术、新能源汽车、现代煤化工等战略性新兴产业,其市场主体占比提升空间较大。
三是山西市场主体企业实际经营占比偏低
全省市场主体实际经营企业占比从2014年的63.27%提升至2017年的77.39%,虽然实现了较大提升,但与浙江企业实际经营占比90%以上的水平相比差距很大,山西省现存的“僵尸”型市场主体占比较高。
四是在全省市场主体中企业盈利能力偏低
抽样显示,全省企业盈利面从2014年的58.76%降低至2017年的54.93%,企业的亏损数量不减反增,企业盈利能力偏低,表明山西省企业经营及转型仍面临较大的困难。
五是政策措施惠企效果较低
全省各级政府相继出台了一系列深化改革和促进经济转型升级的政策与举措,但从抽样调查显示,2017年8项主观评分中除3项指标——对税收减免优惠政策的满意程度、对涉企行政事业性收费减免政策的感受、政府机构的办事效率评分较高外(7分以上),其它5项——政府资金扶持力度、政府对扶持政策的宣传力度、对用房用地优惠政策的满意程度、企业融资便捷度、对科技创新优惠政策的满意程度测评得分均较低(7分以下),企业对政策措施实施效益的获得感不高,表明政策措施与企业需求的对接与落地程度尚待进一步提高。
(二)对策和建议
为应对与解决上述问题,现提出如下对策和建议:
一是聚焦战略产业,加快新兴市场主体培育步伐
大力实施《山西省“十三五”战略性新兴产业发展规划》,以“九大”战略性新兴产业为重点,加大新兴市场主体培育力度。全省定向扶持一产、二产、三产中具有良好活跃积极性的初创型企业,培育一批科技、外向型或品牌型的成长性企业,跟踪一批行业的领军企业,加快发展新兴产业,确保存量提升、增量提效。坚持需求引领,市场需求是拉动战略性新兴产业发展壮大的关键因素。要强化需求侧政策引导,加快推进新产品、新服务的应用示范,将潜在需求转化为现实供给,以消费升级带动产业升级。第一产业要深化推进特色化、精细化、生态化建设,大力实施乡村振兴战略,加快培育新型农业市场主体;第二产业要重点推进高端装备制造、新能源、煤层气、新能源汽车、现代煤化工产业的高质量发展,加快培育战略性新兴产业的龙头与骨干市场主体;第三产业要向现代化、智慧化、绿色与共享方向转变,重点培育与加快发展电子商务、现代商贸物流、休闲旅游、健康与养生、智慧应用、现代科技服务等领域的市场主体。
二是立足优势产业,稳扎稳打发展实体经济市场主体
煤铁特色产业及其行业是山西的特色优势产业,也是山西产业发展的重要基础。坚持以煤炭供给侧结构性改革为主线,以煤炭安全绿色智能化开采和清洁高效低碳集约化利用为主攻方向,围绕理念创新、模式转变、动力转换,深入研究煤炭行业转型升级发展的重点、难点问题,促进煤炭行业发展模式由生产型向生产服务型转变,实现煤炭由传统能源向清洁能源转型发展。把握新一轮技术革命发展机遇,深入开展煤炭开采智能化、利用清洁化、管理信息化和人才战略研究,以大数据化、信息化为支撑,煤炭工业科学化方向发展,提升创新发展新动力;在煤炭主产地、消费地、集散地布点布局,建立交收仓库,通过整合周边煤炭物流资源,构建覆盖煤炭生产、经营、消费、加工、运输各环节的现代煤炭物流服务网络,促使货物流、资金流和信息流三“流”有机结合,帮助煤炭企业提高交易交收效率,拓展融资渠道,降低融资成本,助推供应链上的企业做大做强。
食醋业、红枣、汾酒、平遥牛肉和薄皮核桃等都是山西非煤铁能源特色优势产业,是山西发展实体经济的重要基础。山西必须跳出资源型经济发展模式的常规思维,根据不同地域特点、交通与区位优势、产业发展基础与产品特色,优化配置要素资源,尽全省之力打造非煤铁能源特色优势产业集群,打响山西非煤铁能源特色与优质产品的品牌,实现山西非煤铁能源特色优势产业市场主体的发展壮大。
三是打好“六最”营商环境的组合拳,助推市场主体快速成长
全省各级政府和部门,要始终把改善营商环境作为经济转型升级系列组合拳的重要一招。为市场主体的创业、创新、发展提供优良政策与服务环境,加大政府资金的扶持力度和切实保障政府各项服务与政策的落地。对新成立的市场主体要从产业引导、许可审批、行业准入、资金支持、人员培训等各方面提前介入,加强宣传辅导,提高新设市场主体成立之后的开工率和存活率;持续推进“审批最少、流程最优、体制最顺、机制最活、效率最高、服务最好”营商环境建设与改善工作,积极推进企业登记全程电子化和电子营业执照改革,切实降低制度性成本。借鉴上海市的先进经验,构建科学合理的服务企业评估体系。把评价结果纳入省政府对相关责任部门的绩效考核,促进政策惠企效果的不断提高;建立企业服务管理系统平台,在平台上实现诉求汇总、派单流转、进程跟踪和办结反馈等线上企业服务功能。及时将相关部门在企业走访调研中反映的每一个问题与责任部门一一对应,并且显示解决的进度条,有效督促问题的解决。最大限度地激发市场主体的活力和释放“双创”的激情。强化金融支持,大力推广和借鉴浙江省金改、税银部门“税易贷”、政策性保险、知识产权质押等做法与经验,创新金融服务的新经验,多方支持民营企业融贷增量。围绕体制机制、用能、税费、人工、物流、工业稳增长等方面出台系列降成本政策,降低市场主体承担的交易成本、融资成本、税费成本、劳动力成本、物流成本、电价成本等。让更多市场主体能实实在在感受到各项政策释放的红利,有效推进全省市场主体的快速成长。
附录一:指数模型
山西省市场主体发展指数:是一种表明山西市场主体经济现象动态的相对数,以2014年为基期,以100为基数(高于100,说明增涨,反之则跌),分析山西市场主体总变动中各因素变动的影响程度。
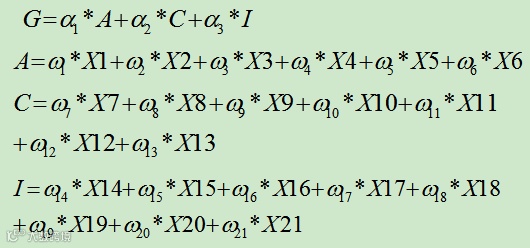
山西省市场主体发展指数有三种模型:全部市场主体发展指数,成熟市场主体成长指数和新设市场主体活跃指数,选择不同对象的市场主体企业,共用一套指标体系编制而成。第一种:涵盖所 有样本市场主体数据;第二种:选用2014年前注册的样本市场主体数据;第三种:选用2014年后(含2014年)注册的新生的样本市场主体数据。市场主体发展指数(G)分为三个模块指数:经济贡献力(A)、双创活跃度(C)、制度助推力(I),由模块指数根据权重方案加权综合得到总指数(G)。模型计算公式如下:

附录二:评价指标体系
指标体系及权重表
附录三:指标解释

贡献率:下级指数增幅(减幅)结合权重计算的值占上级指数增幅(减幅)的比率。举例:经济贡献力涨幅乘以分配权重就是为市场主体发展指数所贡献的百分点。贡献的百分点占总指数涨幅的比率即为经济贡献力的贡献率。公式如下:
![]()
文转侵删

