
编者按:此文为第十四届中国CAE工程分析技术年会提交论文,收录于《第十四届中国CAE工程分析技术年会》论文集中,并且荣获论文二等奖,著作权归作者所有。
于建群1 ,付宏2
(1. 吉林大学生物与农业工程学院, 长春 130022;)
(2. 吉林大学计算机科学与技术学院, 长春 130012)
摘要
为解决农业机械产品开发周期长、开发工作量大和开发成本高等问题,研制了新型CAE软件——AgriCAE(Agricultural CAE)。AgriCAE软件通过将CAD软件与自主研制的DEM-CFD-MBK(Discrete Element Method,Computational Fluid Dynamics,Multi-BodyKinematics)耦合的分析软件集成,可在设计阶段,由农机部件的CAD模型(CAD软件设计图),进行农机部件工作过程的动态仿真和工作性能的分析评价,通过改变农机部件的CAD模型,可分析评价不同工作原理、不同结构和不同尺寸参数的农机部件工作过程及工作性能,由此实现农机部件结构方案和尺寸参数的优化,为农机部件的优化设计和数字化设计提供一种新方法。
关键词
CAE软件;优化设计;数字化设计;计算机仿真;农业机械;DEM-CFD-MBK
1、引言
传统的农业机械产品开发,是以制造物理样机的方式,对设计的可行性和有效性进行检验,其缺点是产品开发周期长、开发工作量大和开发成本高等。采用计算力学原理和计算机仿真技术,开发出一种可以代替制造物理样机,来对设计进行分析评价的软件平台很有必要[1~3],AgriCAE软件由此诞生。
本文介绍了AgriCAE软件的关键技术及其实现方法,包括边界(农机部件)分析模型建模方法、颗粒的建模方法、DEM-CFD-MBK耦合的分析计算方法和可视化及工作性能分析评价方法等,最后通过几个实例验证了AgriCAE软件的可行性和有效性,为农机部件的优化设计和数字化设计提供一种新方法。
2、软件结构和计算流程
AgriCAE软件由5个模块组成,分别是边界(农机部件)的CAD设计模块、边界(农机部件)建模模块、颗粒建模模块、分析计算模块(求解器)、可视化和性能分析模块(后处理),软件结构如图1所示。
其中,边界的CAD设计模块,是三维CAD设计软件,用以建立农机部件的CAD模型(CAD软件设计图)。边界建模模块,是把农机部件的CAD模型,转换成可以进行DEM-CFD-MBK单独及其耦合计算的分析模型。颗粒建模模块,是建立农机部件工作对象(如种子颗粒、肥料颗粒、土壤颗粒、农作物果穗、农作物植株)的分析模型。分析计算模块,采用DEM-CFD-MBK及其耦合方法,分析计算颗粒之间、颗粒与农机部件之间的接触作用力和颗粒的流动过程。可视化和性能分析模块,用来对农机部件工作过程的计算结果进行可视化和工作性能的分析评价,软件的计算流程如图1所示。
3、关键技术及其实现方法
3.1 边界建模
边界建模,即建立边界的分析模型,一般包含2项内容,分别是建立边界的几何模型和运动模型[4, 5]。AgriCAE软件采用三种方法建立边界的分析模型。

图1 AgriCAE软件的结构和计算流程
第一种是基于数据库的方法[6, 7],即通过人机交互识别和读取CAD模型中与颗粒材料接触的边界曲面,当该边界曲面是规则曲面时,直接由曲面方程建立该边界的几何模型。当规则曲面上存在缺失部分时,如一个平面上带有圆孔或一个柱面上带有沟槽等,可采用作者提出的实边界与虚边界的方法建立边界几何模型[8, 9]。实边界表示边界上实际存在的面,颗粒与实边界接触时,有接触力产生;虚边界表示实边界上缺失部分,颗粒与虚边界接触时,没有接触力产生,因而可以穿过虚边界(见图2),而且由于制造工艺的限制,虚边界往往可以用规则曲面表示。当边界曲面是非规则曲面时,采用推进波前法(advancing front technique,AFT),把非规则曲面离散成三角形网格面片的组合[10]。然后添加运动属性、材料特性和流体属性,最后把边界模型保存到Access数据库中。

第二种是基于数据文件的方法,即由三维CAD软件(如PRO/E、UG等)建立农机部件的三维CAD模型,同时保存为STL格式的文件,然后由边界建模模块读取STL文件并添加运动属性、材料特性和流体属性,由此建立该农机部件的分析模型。
第三种是基于简单几何体组合的方法,即由边界建模模块通过简单几何体(如平面、柱面、锥面等)的组合,建立简单边界的分析模型。
农机部件的运动形式一般可分为平动、转动和非平动转动的复杂运动。当边界运动比较简单时,如平动或转动边界,建立边界的运动模型比较简单,现有的离散元法软件,都实现了平动或转动边界的离散元法分析计算[11]。当边界运动为非平动转动的复杂运动时,建立边界的运动模型比较复杂,AgriCAE软件采用多刚体运动学方法建立运动模型,具体步骤为:首先,基于PRO/E或UG软件,采用人机交互方法,读取边界CAD模型中的构件和运动副,然后采用多刚体运动学的笛卡尔方法,建立铰链(如固定转动铰、移动转动铰、滑动铰、相对等距约束等)的约束方程并与驱动约束方程联立为[12]

式中
;
为各个铰的约束方程;S为约束方程的个数;
为系统的笛卡尔坐标列阵;t为时间。将(1)式对时间t求一阶和二阶导数,得到相应的速度与加速度约束方程为

式中
,
。
AgriCAE软件采用牛顿-拉斐逊(Newton-Raphson)和克劳特分解(Crout)法求解系统的约束方程,求得每个刚体(构件)质心的平动位移和角位移、平动速度和角速度、平动加速度和角加速度,再根据边界曲面上颗粒接触点与刚体质心点的关系,便可计算出每个时步复杂运动边界曲面上颗粒接触点的位置和速度[13]。
3.2 颗粒建模
AgriCAE软件的颗粒(即农机部件的作业对象)模型,包括球形颗粒和非球颗粒。其中,非球颗粒,均是采用球充填方法建立其颗粒模型[14]。
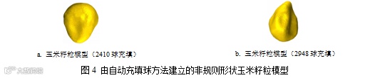
AgriCAE软件采用二种充填方法建立非球颗粒模型。一种是根据颗粒形状,采用人机交互手动充填方法,另一种是计算机自动充填方法。其中,自动充填又实现了二种方法[15, 16],一种是基于颗粒数据点云的自动充填方法;另一种是基于颗粒数据三角形网格面的自动充填方法。图3为使用该软件手动充填建立的大豆籽粒[17]、玉米籽粒[18, 19]和小麦籽粒分析模型。图4为使用该软件自动充填建立的非规则形状玉米籽粒模型,图5和图6为采用颗粒聚合体方法建立的玉米果穗[20, 21]和小麦植株分析模型[22]。




采用颗粒聚合体方法建立的果穗[和植株模型时,可用接触粘接和平行粘接力学模型计算粘接力。其中,平行粘接破坏准则为[23]


3.3 分析计算(求解器)
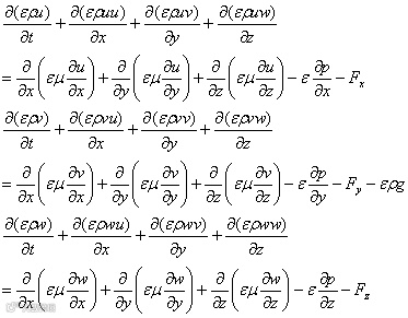
求解器基于DEM-CFD-MBK及其耦合方法,对农机部件的工作过程进行分析计算。在离散元法中,颗粒运动由牛顿第二定律和欧拉动力学方程求得为




式中mi和
分别为颗粒i的质量和平动速度;
为颗粒i所受的合外力,包括颗粒本身重力、颗粒与颗粒及颗粒与边界的接触作用力、流体给颗粒的作用力等;
、
、
为颗粒i绕三个惯性主轴的转动惯量;
、
、
为颗粒i绕三个惯性主轴的角速度;
、
、
为颗粒i沿个惯性主轴所受的力矩。
颗粒与颗粒及颗粒与边界的接触作用力,可采用线性模型[24~26]、非线性模型[27]、赫芝模型[26]、双线性模型[28]和湿颗粒模型[29]计算。
当采用离散元法与多刚体运动学耦合时,每个时步需更新边界位置和速度时,即每个时步需采用公式(1)和公式(2)计算边界的新位置和新速度。
当采用离散元法与计算流体动力学方法耦合时,需考虑流体与颗粒间相互作用的曳力
。以球颗粒为例
的计算公式为[14, 30]

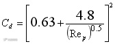
式中
为当前时步单个颗粒所受的流体作用力;d为颗粒直径;Cd为单个颗粒曳力系数,
,
,
;
为流体密度;
为颗粒所在流场网格中流体的速度;
为颗粒的速度;
为网格内流体所占体积的百分比即空隙率;
为流体粘度。其中,流体控制方程为


AgriCAE软件采用结构网格、有限体积法和SIMPLE算法,求解流体控制方程。非球颗粒采用等效直径计算曳力,等效直径计算公式为

式中L、W、T分别为颗粒的长、宽、厚尺寸。
3.4可视化与性能分析(后处理)
AgriCAE软件根据计算结果文件,采用OpenGL绘制图形并以一定的频率播放,由此实现农机部件的工作过程和颗粒的流动过程动态演示,还可以根据颗粒的半径或者速度等设置颗粒颜色,也可以设置边界的颜色和透明度等,如图7所示。

性能分析是以数据的形式对农机部件的工作性能做出评价。性能分析包括颗粒速度和受力、颗粒破碎、农机部件工作阻力、颗粒群体的流量等,如图8所示。这样,设计人员,在设计阶段就可以评价农机部件的工作性能,大大缩短了设计周期。

3.5 并行计算与组件设计
AgriCAE软件将CFD、MBK计算写入动态链接库DLL,通过函数接口调用DLL。应用OpenMP和CUDA实现DEM、CFD和MBK的并行计算。
AgriCAE软件采用C++语言,基于VS2010+MFC平台进行开发,使用Microsoft Access数据库存储边界模型和颗粒模型,计算结果使用二进制文件保存。
AgriCAE软件启动页面见图9,用户界面见图10。


图10 AgriCAE软件的用户界面
4、应用实例
图11 a为由CAD软件设计的一种分离筛的CAD模型,图11b为采用AgriCAE实现的该分离筛工作过程的DEM-MBK耦合仿真分析,图11c为该分离筛筛分大豆籽粒时,筛分性能(透筛率)的试验结果,图11d为筛分性能(透筛率)的仿真结果,可以看出两者接近且变化趋势一致,初步证明了AgriCAE软件的可行性和有效性。

图12 a为由CAD软件设计的一种气吹式排种器的CAD模型,图12b为采用AgriCAE实现的该排种器工作过程的DEM-CFD耦合仿真分析,图12c为该排种器播大豆种子时,播种性能(单粒率)的仿真与试验结果对比,图12d为播种性能(空穴率)的仿真与试验结果对比,可以看出两者接近且变化趋势一致。

图13 a为由CAD软件设计的一种滚筒式玉米脱粒机的CAD模型,图13b为采用AgriCAE实现的该脱粒机工作过程的DEM仿真分析,图13c为该脱粒机脱粒性能(脱净率)的仿真与试验结果对比,图13d为脱粒性能(籽粒破碎率)的仿真与试验结果对比,可以看出两者接近且变化趋势一致。

为了进一步检验的可用性和提高软件性能,AgriCAE软件现进行公开测试,加入QQ群750941908,即可免费使用该软件,同时希望使用者提出改进软件的意见。
5、结论
针对农机产品开发中存在的问题,研制了新型CAE软件——AgriCAE。介绍了该软件的结构和关键技术实现方法。该软件可以用来模拟并分析颗粒与农机部件的接触作用和颗粒的流动过程,可以在设计阶段分析评价农机部件的工作过程及工作性能,为农机部件的优化设计和数字化设计提供一种新方法。实例验证初步证明该软件的可行性和有效性。下一步的工作是进一步拓展该软件的功能,并加大力度推广应用该软件。
参考文献
[1]于建群,付宏,李红等.离散元法及其在农业机械工作部件研究与设计中的应用[J].农业工程学报,2005,21(5):1-6
[2]Tijskens E, Ramon H, Baerdemaeker J D. Discrete element modelling for process simulation in agriculture[J]. Journal of Sound and Vibration, 2003, 266: 493-514
[3]Boac J M, Kingsly Ambrose R P, Casada M E, et al. Applications of Discrete Element Method in Modeling of Grain Postharvest Operations[J]. Food Eng Reviews, 2014, 6:128-149
[4]Kremmer M, Favier J F. A method for representing boundaries in discrete element modelling—part I: Geometry and contact detection[J]. International Journal for Numerical Methods in Engineering, 2001, 51: 1407-1421
[5]Kremmer M, Favier J F. A method for representing boundaries in discrete element modelling—part II: Kinematics[J]. International Journal for Numerical Methods in Engineering, 2001, 51: 1423-1436
[6]于建群,付宏,刘振宇等.基于CAD模型的离散元法边界建模方法[P],中国专利,专利号ZL200510016835.7。
[7]于建群,付宏,吕昊等.一种离散元法边界建模的通用方法[P],中国专利,专利号ZL 201110303054.1。
[8]付宏,商慧,于建群.三维离散元法软件开发研究[J].华中科技大学学报(自然科学版),2005,35(增刊):342-345
[9]付宏,乌兰,黄万风等.基于图元的三维离散元法边界建模方法[J].计算机集成制造系统,2008,14(2):2328-2333
[10]付宏,吕游,徐静等.非规则曲面的离散元法分析模型建模软件研制[J].吉林大学学报(信息科学版),2012,30(1):23-29
[11]DEM Sulotions. EDEM 2.4 User Guide[M]. DEM Solutions, 49 Queen Street, Edinburgh, EH2 3NH, UK, 2012.
[12]洪嘉振.计算多体系统动力学[M].北京:高等教育出版社,1998
[13]付宏,管秋月,王扬等. 基于DEM和MBK耦合的CAE软件研制[J]. 计算机工程与设计,2015,36(3):747-752
[14]Wenqi Zhong, Aibing Yu, Xuejiao Liu, et al. DEM/CFD-DEM Modelling of Non-spherical Particulate Systems: Theoretical Developments and Applications[J]. Powder Technology, 2016, 302: 108-152
[15]党丽娜. 非球颗粒的离散元法基本理论和算法研究[D]. 吉林大学计算机科学与技术学院,2012
[16]王雪娇. 非球颗粒建模方法改进和输送机工作过程分析软件研制[D]. 吉林大学计算机科学与技术学院,2015
[17]王扬, 吕凤妍, 徐天月等, 大豆籽粒形状和尺寸分析及其建模[J]. 吉林大学学报(工学版),2018,48(2):507-517
[18]Xiaomei Wang,Jianqun Yu,Fengyan Lv, et al. A multi-sphere based modelling method for maize grain assemblies[J]. Advanced Powder Technology,2017,28(2):584-595
[19]Zeren Chen,Jianqun Yu,Duomei Xue, et al. An approach to and validation of maize-seed-assembly modelling based on the discrete element method[J]. Powder Technology,2018,328:167~183
[20]Yu Yajun, Fu Hong, Yu Jianqun. DEM-based simulation of the corn threshing process[J]. Advanced Powder Technology, 2015, 26(5): 1400-1409
[21]于建群,付宏,周海玲等.基于离散元法的玉米脱粒过程分析方法[P],中国专利,专利号ZL201110293826.8。
[22]Fu Hong, Yang Jinghan, Xue Rui, et al. Research on a Wheat Plant Modeling Method[C]. 2nd International Conference on Simulation and Modeling Methodologies,Technologies and Applications (SMTA),Paris,FRANCE,August 09-10,2015:425-429
[23]Potyondy D O, Cundall P A. A bonded-particle model for rock. International Journal of Rock Mechanics and Mining Sciences, 2004, 41: 1329–1364
[24]Džiugys A, Peters B. An approach to simulate the motion of spherical and non-spherical fuel particles in combustion chambers. Granular Matter, 2001, 3: 231~265
[25]Cundall P A, Strack O L. A discrete numerical model for granular assembles[J]. Geotechnique, 1979, 29(1): 47~65
[26]Mishra B K. A review of computer simulation of tumbling mills by the discrete element method: Part I—contact mechanics[J]. Int. J. Miner. Process. 2003, 71: 73– 93
[27]Mishra B K, Murty C V R. On the determination of contact parameters for realistic DEM simulation of ball mills[J]. Powder Technol., 2001, 115: 290~297
[28]Walton O R, Braun R L. Viscosity, Granular-temperature, and stress calculations for shearing assemblies of inelastic, frictional disks[J]. Journal of Rheology, 1986, 30(5): 949~980
[29]Momozu M, Oida A, Yamazaki M, et al. Simulation of a soil loosening process by means of the modified distinct element method[J]. Journal of Terramechanics, 2003, 39: 207~220
[30]付宏,吕游,金鑫禹,孙迎春,何庆炎,金永哲,于建群. 基于DEM-CFD耦合的新型CAE软件系统设计[J]. 吉林大学学报(理学版),2014,52(2):285~290
作者简介
于建群(1958-),男,博士,教授,博士生导师,主要从事农机装备数字化设计方面的研究
扫描下方二维码加入中国数字仿真联盟↓↓↓
单位会员申请表↓

个人会员申请表↓

注:二维码一定要下载到手机之后再发送到电脑填写,填写完成后请务必发送至邮箱:bjzhq@cattc.org/guanqf@cattc.org,以免造成信息丢失。多谢合作!

长按关注
公众号名称:CAE工程分析技术联盟
一个很有“料”的公众号
长按二维码关注哦!
由于微信团队对新公众号停放了留言功能,所以目前为止,还不能通过留言和老师们交流,如果老师有什么见解, 或者是有原创文章需要投稿,请联系小编。
微信号:ZQPX_org,感谢您的关注和支持!为此给您带来的不便,敬请谅解!

