Abstract:The equivalent circuit model is widely used to describe the performance of lithium-ion batteries. Its model parameters are affected by many factors such as the state of charge and temperature. Accurate identification of model parameters and their influencing factors is of great significance for predicting the discharge performance and residual charge capacity of lithium-ion batteries. The second-order equivalent circuit model of lithium ion battery was established, and the interaction of charge state and temperature on model parameters was analyzed quantitatively. On this basis, the two-dimensional mathematical relationship of each model parameter versus state of charge and temperature is established, and its reliability is validated. Finally, the equivalent circuit model based on each parameter relationship was combined with the iterative Kalman filter to establish the performance prediction algorithm of lithium ion battery, and the adaptability of this algorithm at different temperatures was verified.
Keywords:lithium-ion battery; equivalent circuit model; interaction; state of charge; temperature
1 引言
锂离子电池具有寿命长、能量密度高、效率高等优点,因此被广泛应用作电动汽车的动力电池[1,2]。为了提供与电池状态相关的精确信息,剩余电量或荷电状态(State of charge,SOC)的估计在电池性能、安全性和可靠性的适当运行和控制中起着关键作用。然而,由于锂离子电池的非线性时变特性和电化学反应,SOC的精确估计仍然具有挑战性。文献[3]和[4]中详细综述了的SOC估计算法的研究现状,目前最常用的SOC估计方法仍是基于电池模型从电流和电压估计锂离子电池的SOC。合理的模型结构和匹配的模型参数对提高估计精度非常重要。
锂离子电池模型包括机理模型、经验或数据驱动的模型和等效电路模型[5,6]。机理模型以电化学或物理模型为基础,采用数学方程来描述锂离子电池内部的传递和反应过程,主要表征电池的超电势变化、电压特性、隔膜的电流分布及锂离子的浓度分布等[7,8]。每个模型参数都有明确的物理意义,但由于模型参数过多,计算量过大,主要用于分析电池的性能与内部的材料特性、结构参数之间的关系,不适用于实时状态估计。经验或数据驱动模型没有考虑电池内部复杂的物理和化学反应,而是基于外部实验数据来模拟电池行为[9,10]。神经网络模型就是这类模型的典型代表。其基于样本数据采用神经网络训练来模拟电池的外部特性,这种训练具有良好的非线性和自学习能力。然而,这类模型严重依赖于电池的历史数据,需要大量的数据来保证精度[3]。等效电路模型由简单的电子元件组合而成,即电源、电阻和电容。由于其结构简单和易于数学建模等优点,已被广泛应用于锂离子电池的动态性能模拟中[11]。
等效电路模型的精度会直接受到模型参数的影响, 而模型参数也会电池运行条件的影响,如SOC和温度。例如,当温度从25降低到0℃[12]时,LiFePO4电池的内部欧姆电阻几乎是原来的两倍,这可能会显著降低电池性能。很多研究已经考虑了运行条件对模型参数的影响[13-18]。Feng等人[15]采用了开路电压(Open Circuit Voltage, OCV)与温度和SOC的201×41点数值表联合自适应扩展卡尔曼滤波来估计不同工作温度下的SOC。Xing等人[17]也采用了OCV-SOC-温度数值表和无迹卡尔曼滤波来估算不同温度下的SOC。这种方法虽然考虑了温度对电池内阻和OCV的影响,但不能完全反映温度对极化效应的影响。Campestrini等人[18]开发了一种用于SOC估算的不同方法的验证过程,其中考察了包括温度在内的几个工作参数,提出了一种优化的温度稳定性和精度估计算法。
但是,目前报道中大多数研究基于数值表,且只考虑了OCV受温度和SOC的影响,建立所有模型参数与温度和SOC的二维数学关系的研究很少。一方面,在实际应用中数值表必须足够大才能保证精度,这可能需要车载管理系统中大量的存储空间,如果能够建立模型参数与温度和SOC的二维数学关系表达式,则只需要存储少量的表达式系数。另一方面,现有研究极少考虑到温度和SOC对模型参数影响的交互作用。
本文首先通过实验获取不同温度和SOC下的等效电路模型参数,并对其交互作用进行定量分析。在此基础上,提出适用于各模型参数随温度和SOC变化的数学关系表达式,并确定表达式系数,验证模型参数关系的可靠性。最后将基于各参数关系的等效电路模型与迭代卡尔曼滤波相结合,建立锂离子电池性能预测的方法,并验证该方法在不同温度下的适应性。
2 模型和算法
2.1 电池模型
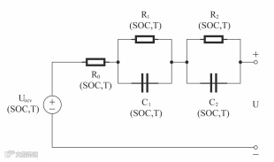
HU等[19]证实了具有两个RC(电阻-电容)网络的等效电路模型在准确性和复杂性之间具有良好的平衡。图1为模型结构,其中U为电池端电压,Uocv为OCV, R0为欧姆内阻,R1和R2为极化电阻,C1和C2为极化电容。模型中,已经考虑了SOC和温度对6个模型参数的影响,每一个模型参数均是SOC和温度的二元函数。

图1 锂离子电池等效电路模型
Fig.1 The electrical equivalent circuit model of a lithium-ion battery
欧姆电阻和RC网络的电压分别用U0,U1和U2表示,I表示电流。基于电路结构,状态空间模型描述如下:
(1)
电池SOC由电流和可用容量(Q)确定,其表达式如下:
(2)
1.2 迭代卡尔曼滤波算法
为了进一步验证所建立的模型参数关系的可靠性,本节将等效电路模型与卡尔曼滤波算法相结合,验证在不同温度下的SOC估计效果。标准卡尔曼滤波是一种基于最小均方方差的滤波算法,适用于误差符合高斯分布的线性系统。然而,在实际应用中,许多系统是非线性的,标准的卡尔曼滤波算法不能提供满意的结果。在这种情况下,一个简单的解决方法就是将方程组线性化。扩展卡尔曼滤波算法[20]基于一般的非线性系统,将非线性函数展开为泰勒级数,省略二阶以上项,从而得到了非线性系统的线性模型。因此,扩展卡尔曼滤波只能达到一阶泰勒级数精度。对于非线性较强的系统,很难达到较高的精度。为了提高估计性能,在得到某时刻的后验估计后,我们可以采用新的估计值进行泰勒展开,如此重复多次,在每个时刻均可获得更高的精度。由于锂离子电池的性能具有较强的非线性特性,因此采用迭代卡尔曼滤波算法对电池SOC进行估计。
为了实现滤波算法,我们首先将状态向量设置为x = [U0 U1 U2 SOC]T,控制变量设为u = I(电池电流),观察变量设为z= U(电池端电压)。我们假设在第k个采样间隔处的采样时间为Δt。
通过对式(1)离散化可以得到:
.(3)
.(4)
其中wk为过程噪声向量,vk为测量噪声。系数矩阵F和G为:
, (5)
(6)
采用上标“+”表示当前时刻被观测值修正的估计值(后验估计),而“−”表示尚未被修正的值(先验估计)。整个迭代卡尔曼滤波算法的过程如下:
(1) 初始化
.(7)
(2) 时间更新
.(8)
(3) 量测更新
(a)初始化迭代扩展卡尔曼滤波:
.(9)
(b)循环i=0,1,2……,N,执行以下方程(其中N为量测更新期望迭代的次数
.(10)
(c)最终该状态下的后验估计和协方差如下:
.(11)
由整个过程可以看出,第(1)步和第(2)步和标准的扩展卡尔曼滤波是完全相同的,这是由于式(3)是严格线性的,因此所采用的迭代扩展卡尔曼滤波重点是对量测更新(即第(3)步)上的优化。
3 实验部分
3.1 实验条件
实验所用的电池额定容量为50Ah,相关信息如表1所示。
表1 实验所用电池信息
Table 1 Battery specification used in experiments
参数(单位) |
内容 |
标称电压(V) |
3.65 |
额定容量(Ah) |
50 |
质量(g) |
735 |
尺寸(mm) |
310(长度)*103(宽度)*11(厚度) |
正极材料 |
NCM |
负极材料 |
Si/C |
实验所用的装置由电池测试系统 (Arbin BT -2000测试仪,Arbin, College Town, TX, US)和可编程的环境控制箱组成。电池测试系统与放置于环境控制箱的电池相连,采集电池的电流和电压。电池测试系统的电流和电压传感器的测量误差在0.1%以内,环境控制箱的温度控制范围为-40~130℃,温度控制偏差在±2℃以内。实验分别在−10、−5、0、5、10、25、35、45和55℃的下进行。由于锂离子电池的性能在低温下变化较大,因此在实验温度条件的选取时低温温度之间的间隔较小,每隔5℃设置了一个实验温度点。在任何测试之前,电池都要在每个温度下保持一定的时间,以确保电池温度均匀。
3.2 可用容量实验
电池的可用容量在−10 ~ 55℃的温度下分别确定。在每个温度下,将充满电的电池恒流放电,放电截止电压为2.8 V,充电截止电压为4.2V [21]。
图2为不同温度下,锂离子电池的放电电压随放电容量的变化关系,由图中可以看出,由于极化作用的影响,放电曲线呈现明显的非线性。同时在温度较低时,由于电池在放电过程中生热效应的影响,放电电压出现了先降低再升高的现象。由此可以看出,温度对锂离子电池的放电过程和可用容量有显著的影响,电池的可用容量随温度的升高而增加。相比之下,在低温下,可用容量显著下降。与25℃相比,−10℃时的可用容量降低了近10%。

图2 不同温度下电池的可用容量
Fig.2 The battery available capacity at different temperatures
3.3 OCV实验
在测试过程中,电池首先采用恒流-恒压方式充电至满电态,然后静置足够长的时间以使所测电压达到平衡并记录,从而获取OCV值。随后,电池通过恒定放电5%SOC的容量,静置足够时间后获取当前SOC下的OCV值。重复上述过程,直至电池完全放电。不同温度下的OCV以类似的方式测量。
3.4 脉冲功率实验
利用脉冲功率测试的数据确定电池的等效电路模型参数。测试程序与FreedomCAR电池测试手册规定的程序类似,但是在每个温度下,SOC的变化间隔从10%调整为5%。由于低温下电池的放电容量低于常温下的放电容量。因此,调整SOC的满电容量不能视为室温下的放电容量,而应视为当前温度下的放电容量;否则,在实验程序完成之前,电池就会达到放电截止电压。
4 参数辨识和分析
4.1 参数辨识
从图3(a)的结果表明,电池OCV与SOC相关,同时也受温度影响,温度对OCV的影响大于SOC对OCV的影响。但是,如果没有建立数学关系,从数值的结果很难进行定量评价。采用带遗忘因子[22]的递归最小二乘确定等效电路模型的其余参数。不同温度下的电池参数如图3(b)-(f)所示。



图3 模型参数随温度和SOC的变化
Fig.2 The model parameters versus temperature and SOC
4.2 交互作用分析
基于已经获取的各模型参数随温度和SOC的变化数据,进行交互作用分析。根据交互作用项的分析上限为5次[21][23]。采用显著性水平p值判断交互作用是否显著,如果p值小于0.05,则该项交互作用显著,否则不显著。
表2 交互作用显著性水平
Table 2 Interaction significance level

注:x=T; y=SOC
4.3 数学关系建立
所有模型参数相对于温度和SOC的数学表达式建立在以下多项式的基础上:
(12)
由上式可以看出,表达式中不仅包含了x和y的乘幂项,还包含了它们的乘积项,从而可以反映它们之间的相互作用。同时基于交互作用分析的结果,为了简化模型,在建立每个参数的数学表达式时,去除了不显著的交互作用项。基于递归最小二乘法原理,可以得到各模型参数表达式的待定系数。表3汇总了得到的待定系数。“-”表示该项交互作用不显著,确定待定系数时在表达式中已去除了该项。
由表3可以看出,所有R2值均大于0.9(考虑到是曲面拟合,这个数值已可以接受),这表明虽然如图3所示各参数随温度和SOC的变化趋势存在明显差异,但基于式(12)的表达式可以充分描述各参数与SOC和温度的关系。
表3 模型参数表达式的系数
Table 3 Coefficients of the parameters of mathematical expressions

4.4 数学关系验证
为了验证所建立的模型关系对模型参数的表征效果,采用式(13)和表3计算各试验条件下的模型参数值,并与实验数据辨识得到的模型参数值对比,采用下式计算最大相对偏差:
(13)
图4为所建立的模型关系的计算结果的平均相对偏差。

图4 模型参数关系计算结果相对偏差
Fig.4 Relative deviation of model parameter relation calculation results
由图4可以看出,各参数的模型关系表达式计算结果与实验结果的相对偏差均在5%以下,进一步表明了所建立的模型关系表达式的可靠性。同时,由于式(3)为多项式形式,因此具有一定的通用性,可用于确定其他等效电路模型的类似参数与温度和SOC之间的关系。此外,表3中约100个系数能够完全描述等效电路模型中6个参数随温度和SOC的变化。在实际应用中,必要时由于电池循环寿命老化的影响,可以结合在线识别技术[24]对这些系数进行调整和校正。为避免占用存储空间,初始的系数可以用新更正的替换。
5应用和验证
5.1 放电电压验证
为了验证模型对于动态放电工况的预测效果,基于《GB/T 18386-2017电动汽车 能量消耗率和续驶里程 试验方法》中的工况循环,对比预测电压和试验电压结果。

图5 模型预测结果与实验结果对比
Fig.5 Comparison between model and experiment results
由图5(a)可以看出,所采用放电电流曲线具有较强的动态波动性,对模型的动态适应性要求较高。由图5(b)和(c)可以看出,模型的预测结果与实验结果吻合较好,相对偏差均在2.5%以内。
5.2 SOC估计验证
为了验证所建立的模型在SOC估计上的应用效果,将等效电路模型与迭代卡尔曼滤波算法相结合,进行SOC估计,计算流程如图6所示。

图6 SOC估计流程
Fig.6 The SOC estimation flowchart
在-10℃,0℃,25℃和45℃下分别进行SOC估计,并与安时积分的结果(参考值)相进行对比。同时,为了对比所建立的模型在不同温度下对模型参数的表征效果,同步对比了将模型参数固定为25℃下的数值时,对SOC的估计效果。
图7显示了不同的温度的SOC估计结果。不同温度下的SOC估计结果精度通过计算最大绝对估计误差和均方根误差进行评价,结果列于表4中。


图7 SOC估计结果
Fig.7 The SOC estimation results
从表4可以看出,所建立的SOC估计方法在室温、低温或高温下均具有较高的精度,最大绝对估计误差和均方根误差分别在3.5%和2.0%以内。该方法在低温特别是-10℃条件下的优势更加明显,表明该方法能够表征模型参数在不同温度下的偏差。此外,由于该方法采用等效电路模型,模拟电路元件的电池反应过程,所以低温下的SOC估计误差略高于室温。同时,在25℃下,采用25℃下的模型参数的估计偏差仍然与本方法存在微小的偏差,这是因为电池即使在室温下放电,仍会出现一定的温升,其放电时的温度不会一直恒定在25℃下,而基于本文所建立的模型参数关系所建立的估计算法,依然能够准确表征电池放电过程中的温度变化对其放电性能的影响。
表4 不同温度下的最大绝对估计误差和均方根误差
Table 4 RMSE and MAEE at different temperatures

6 结论
本文建立了锂离子电池的等效电路模型,对所有模型参数随温度和SOC的变化进行了交互作用分析,发现在5次相互作用项内,除少数项外,绝大多数交互作用均显著。基于此,建立了各模型参数随温度和SOC变化的二维数学表达式。结果表明,所建立的模型关系式的计算结果与实验结果的相对偏差低于5%。基于该模型关系式,采用等效电路模型对锂离子电池在动态工况下的放电电压进行预测,计算结果与实验结果的相对偏差均在2.5以内。将基于模型关系的等效电路模型与迭代扩展卡尔曼滤波算法结合,建立了SOC估计算法。通过实验验证了该方法的有效性,证明了该法在精度方面的优越性,特别是在低温适应性方面。实验数据表明,在极端温度情况下,该估计算法能有效地将误差控制在3.5%以下。
在温度效应的良好适应性对于提高不同工作条件下锂离子电池SOC估计的可靠性和准确性至关重要。后续工作中,所建立的模型参数关系将在电池老化的各种状态下进一步改进和验证,并结合定期或不定期的在线参数调整和校正。
符号对照表
C1/C2极化电容
E随机变量的期望
F式(5)定义的系数矩阵
G式(6)定义的系数矩阵
h式(4)定义的观测变量函数
H函数h对状态向量的偏导
I电流
K增益矩阵
MAEE最大绝对估计误差
OCV开路电压
P协方差矩阵
Q可用容量
R0欧姆内阻
R1/R2极化电阻
RMSE均方根误差
SOC荷电状态
t时间
T温度
u控制变量
U电池端电压
U0R0上的电压
U1R1上的电压
U2R2上的电压
Uocv开路电压值
v量测噪声
w过程噪声向量
x状态向量
z观测变量
Δt采样时间
上/下标
0初值
+被观测值修正的估计值(后验估计)
- 未被观测值修正的估计值(先验估计)
I迭代循环次数
k采样间隔序号
T矩阵的转置
参考文献
[1] SAW L H, YE Y, TAY AAO, et al. Integration issues of lithium-ion battery into electric vehicles battery pack [J]. Journal of Cleaner Production, 2016, 113(1): 1032–1045.
[2] RAO Z, WANG S, ZHANG G, et al. Simulation and experiment of thermal energy management with phase change material for ageing LiFePO4 power battery [J]. Energy Conversion & Management,2011,52(12): 3408–3414.
[3] HANNAN M.A., LIPU M, HYSSAIN A, et al. A review of lithium-ion battery state of charge estimation and management system in electric vehicle applications: Challenges and recommendations[J]. Renewable & Sustainable Energy Reviews, 2017, 78(10):834–854.
[4] LI Z, HUANG J, LIAW B Y, et al. On state-of-charge determination for lithium-ion batteries[J]. Journal of Power Sources, 2017, 348(30):281–301.
[5] NEIAD S, GLADWIN D T, STONE D A. A systematic review of lumped-parameter equivalent circuit models for real-time estimation of lithium-ion battery states[J]. Journal of Power Sources, 2016, 316(1):183–196.
[6] RUI X, LI L, TIAN J. Towards a smarter battery management system: A critical review on battery state of health monitoring methods[J]. Journal of Power Sources, 2018, 405(1):18–29.
[7] DOYLE M, FULLER T F, NEWMAN J. Modeling of galvanostatic charge and discharge of the lithium/polymer/insertion cell. Journal of the Electrochemical Society, 1993, 140(6):1526–1533.
[8] FULLER T F, DOLYLE M, Newman J. Simulation and optimization of the dual lithium ion insertion cell . Journal of the Electrochemical Society, 1994, 141(1):1–10.
[9] ZAHID T, XU K, LI W, et al. State of charge estimation for electric vehicle power battery using advanced machine learning algorithm under diversified drive cycles[J]. Energy, 2018, 162(1):871–882.
[10] DENG Z, Hu X, Lin X, et al. Data-driven state of charge estimation for lithium-ion battery packs based on Gaussian process regression[J]. Energy, 2020,205(1):118000.
[11] LU L, HAN X, LI J, et al. A review on the key issues for lithium-ion battery management in electric vehicles[J]. Journal of Power Sources, 2013, 226(1):272–288.
[12] WIDANAGE W D, BARAI A, CHOUCHELAMANE G H, et al. Design and use of multisine signals for Li-ion battery equivalent circuit modelling. Part 2: Model estimation[J]. Journal of Power Sources, 2016, 324(30):61–69.
[13] AUNG H, LOW K S. Temperature dependent state-of-charge estimation of lithium ion battery using dual spherical unscented Kalman filter [J]. IET Power Electronics, 2015, 8(10):2026–2033.
[14] LIU X, CHEN Z, ZHANG C, et al. A novel temperature-compensated model for power Li-ion batteries with dual-particle-filter state of charge estimation[J]. Applied Energy, 2014, 123(1):263–272.
[15] FENG F, LU R, WEI G, et al. Online estimation of model parameters and state of charge of LiFePO4 batteries using a novel open-circuit voltage at various ambient temperatures [J]. Energies 2015, 8(1): 2950–2976.
[16] WANG Y, ZHANG C, CHEN Z. A method for state-of-charge estimation of LiFePO4 batteries at dynamic currents and temperatures using particle filter[J]. Journal of Power Sources, 2015, 279(1):306–311.
[17] XING Y, WEI H, PECHT M, et al. State of charge estimation of lithium-ion batteries using the open-circuit voltage at various ambient temperatures[J]. Applied Energy, 2014, 113(1):106–115.
[18] CAMPESTRINI C, HORSCHE M F, ZILBERMAN I , et al. Validation and benchmark methods for battery management system functionalities: State of charge estimation algorithms[J]. Journal of Energy Storage, 2016, 7(1):38–51.
[19] HU X, LI S, PENG H. A comparative study of equivalent circuit models for Li-ion batteries[J]. Journal of Power Sources, 2012, 198(1):359–367.
[20] PLETT G L. Extended Kalman filtering for battery management systems of LiPB-based HEV battery packs Part1.Background. Journal of Power Sources, 2004, 134(1):252–261.
[21] HE H, XIONG R , GUO H , et al. Comparison study on the battery models used for the energy management of batteries in electric vehicles[J]. Energy Conversion & Management, 2012, 64(1):113–121.
[22] ZAHID T, LI W. A Comparative Study Based on the Least Square Parameter Identification Method for State of Charge Estimation of a LiFePO4 Battery Pack Using Three Model-Based Algorithms for Electric Vehicles[J]. Energies, 2016, 9(9):720–736.
[23] XU Y , HU M , FU C, et al. State of Charge Estimation for Lithium-Ion Batteries Based on Temperature-Dependent Second-Order RC Model[J]. Electronics, 2019, 8(9):1012–1032.
[24] WEI Z, DONG G, ZHANG X, et al. Noise-immune model identification and state-of-charge estimation for lithium-ion battery using bilinear parameterization. IEEE Transactions on Industrial Electronics, 2021, 68(1): 312–323.
--------------------------------------------------------
作者简介
张杭,国联汽车动力电池研究院有限责任公司检测事业部计算仿真中心经理,主要专业方向为锂离子动力电池及电池包仿真。

