摘要:通过鱼类标本的水动力性能分析,能够为水动力机械设备、海洋工程装备设计提供仿生学帮助与参考。以鲳鱼、刀鲚与蒙古鲌鱼类标本为对象,基于计算流体数值模拟仿真方法,研究Spalart-Allmaras、标准K-ℇ、RNGK-ℇ三种不同湍流模型对鱼类标本水动力性能仿真的适应性。在此基础上,分析对比了标本结构的压力场、速度场以及能量场等水动力性能,并为仿生设计提供优化建议。结果表明RNGK-ℇ湍流模型更适合鱼类标本的水动力数值模拟仿真分析;从鱼类标本整体结构看,鱼类头部位置受到的阻力最大;整体结构流线型,鱼尾呈月牙形结构更具有速度和效率优势;鱼类结构通过头部、整体结构、尾鳍的组合运动能够获得反卡门旋涡效应,产生推力作用;整体流线型结构、合理范围内设计稍宽的尾鳍有助于提高仿生设备的推进效率。
关键词:数值仿真;湍流模型;仿生设计;水动力性能;鱼类标本
中图分类号:T391.9 文献标识码:A 文章编号:
DOI:
引言
鱼类在水环境的适应与力学性能具有独特的优势,能够为海洋装备、水下机器等设施设备提供优化设计的帮助与参考,为此基于鱼类的仿生学、仿生设计以及实际应用得到了广泛研究,取得有益成果[1-3]。随着计算机软硬件技术的发展,计算机仿真技术被广泛应用到鱼类仿生性能的分析与研究中,而对标本的水动力性能研究常采用计算流体数值模拟仿真方法及其软件环境[4][5]。研究的鱼类标本包括金枪鱼、鲨鱼、鳗鲡与鳍科模式及生物部件进行了 CFD数值仿真与性能分析[6-8]。陈令坤等建立了蝠鲼原型翼缘曲线与扑翼运动学模型,解耦描述胸鳍俯仰-摆转复合运动模式,并通过样机静态加载试验验证了有限元模型可靠性[9]。冯亿坤等基于计算流体力学(CFD)方法,建立了仿生金枪鱼鱼体-流体耦合的三自由度(3-DoF)自由游动的计算模型,采用 FLUENT 软件进行仿真,湍流模型采用SSTk-ω模型[10]。谢鸥等研究了仿生机器鱼近壁面波动推进的体表压强分布特性,建立了仿生机器鱼近壁面柔性波动推进的体表压强 CFD 耦合求解模型,但没有说明采用的湍流模型[11]。
利用Fluent计算流体数值模拟仿真软件开展模型的水动力性能分析,软件提供多个求解模型与方法,具有较好的收敛效果,然而借助计算流体力学方法研究鱼类标本的水动力性能,湍流模型的选择非常重要,现有文献均没有对此展开分析与探讨。为此,本文采用计算流体力学软件Fluent,将主要的Spalart-Allmaras、标准K-ℇ、RNGK-ℇ三种湍流模型分别应用到数值仿真中,并进行相互对比,研究适合鱼类标本水动力性能数值模拟的湍流方程,在此基础上,开展3种鱼类标本的水动力性能分析,为鱼类仿生学及水中设备优化设计提供技术支撑与参考。
1 控制方程与湍流模型
1.1 控制方程
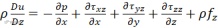
控制方程则采用不可压缩流体的定常流动的计算方程。连续性方程:
动量方程,x方向
(1)
y方向
(2)
z方向
(3)
1.2 Spalart-Allmaras湍流模型
Spalart-Allmaras湍流模型在1992年被提出,是解决针对湍流运动学的粘度运输问题,是一个低雷诺数模型方程,需要妥善处理模型边界层上会收到粘度因素影响的区域。对于湍流计算的准确程度要求不高时,进行复杂流场计算时不需要进行特殊处理,能够节省工作时间,常用于翼型和机翼的工程应用等,Spalart-Allmaras湍流方程为:
(4)
式中:湍流粘性系数
;
;CP取值为0.08~0.38。
1.3 标准K-ℇ湍流模型
标准K-ℇ湍流模型是在表示湍流动能的k方程的基础上,再加上一个关于湍流耗散率的ℇ方程后形成的,标准K-ℇ模型是迄今为止在工程上应用最为广泛也是积累经验最为丰富的模型,其主要针对的研究对象为湍流发展得比较充分的流动,在对于逆压梯度条件时,结果准确度不高。标准K-ℇ湍流的动能方程(K方程)为:
(5)
湍流的耗散方程(ℇ方程)为:
(6)
式中:
;模型的常数Cp=0.09;C1=1.44;C2=1.92;
。
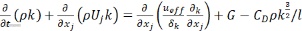
1.4 RNGK-ℇ湍流模型
RNGK-ℇ湍流模型是在标准的K-ℇ湍流方程的基础上做出了一些改进。RNG模型相较于标准K-ℇ模型的耗散方程中增加一项,使得对于高速流动计算的准确性取得了极大的提高。同时RNG模型也考虑到了涡流对湍流有可能产生的影响,并设法降低了其对结果的影响,提高了对湍流分析的精准性等。这些特性使得RNG模型在更广泛的液体流动中所获得的结论比标准方程更加可靠。与标准K-ℇ湍流模型相比,RNGK-ℇ湍流模型考虑了平均流动中的旋转及旋流流动情况,可以更好的处理高应变率及流线弯曲程度较大的流动。其控制方程与标准K-ℇ模型形式相同,参数取值有差异:
(7)
式中:
;
;
。
2 标本建模与数值仿真
2.1 鱼类标本建模
为了确保研究结论的广泛性,选择了三种外形差异较大,且较为常见的鱼类标本:鲳鱼、刀鲚与蒙古鲌。通过三维扫描仪进行标本数据采集建模,扫描方法是标签点扫描法,用3D扫描仪扫描一次目标后,再从另一个角度进行扫描。经过多次扫描后将对象360°的图像导入到计算机,计算机会将扫描所得的各个表面图像拼接起来,自动地生成研究对象的三维模型。扫描仪器、标签标本以及扫描后的部分标本模型如图1所示。




图1 部分标本扫描与数据建模
Fig. 1 Partial specimen scanning and data modeling
2.2 标本模型数值仿真
计算机硬件环境为:CPU4核、内存8GB、硬盘容量500G、显卡512M。根据三维扫描仪采集的标本数据,建立仿真模型、导入模型以及模型网格划分均在模型前处理软件Gambit中完成。本文中采用了将实物数据采集与计算模拟相结合的方法。考虑到海洋环境的复杂性,研究过程中忽略了不同水压对鱼类运动的影响,限制了水流的流速和方向,同时也忽略了地形地貌的影响。采用三种不同的湍流模型,将三种鱼类模型放置在同一环境下,利用控制变量的方法,比较它们的力学性能。表层海水的水平流速在1m/s到3m/s之间,深层海水的水平流速则不到0.1m/s,而在我国境内流速最快的长江入海口处达到平均30m/s。为了确保计算的结果具有普遍适应性,将入口定义速度为30m/s,出口边界为自由流出口,壁面为无滑移壁面。为仿生机器鱼设计参考,降低鱼体游动速度设置为5m/s,鱼体密度设置为1245kg/m³。
采用分离式求解器隐式算法、二阶迎风格式离散,压力-速度耦合使用 simple算法,网格划分采用非结构化网格划分,对海洋区域使用四边形网格,鱼体使用三角形网格以获得更高的计算精度,刀鲚网格数为112188,鲳鱼网格数为254202,蒙古鲌网格数为116989。迭代步数设置为2000步,流体域为500*500的正方体流域。分别选用第1节中的三种湍流模型进行数值模拟仿真,除了湍流模型选取不同外,其他所有参数均相同,收敛残差取为0.001。部分网络模型、仿真收敛残差、水动力性能截图,如图2所示。

(a) 蒙古鲌鱼体网格划分

(b) 蒙古鲌鱼鳍网格划分

(c) 鱼体残差收敛

(d) 30m/s与10个大气压的鱼体压力云图
图2 部分数值模拟仿真截图
Fig. 2 Part of the numerical simulation simulation screenshots
3 结果分析
3.1 标准K-ℇ湍流模型的结果分析
利用Spalart-Allmaras湍流模型分别对鲳鱼、刀鲚与蒙古鲌的收敛速度、趋势以及阻力与速度性能分布展开分析。为篇幅考虑,给出部分鱼类的性能截图如3所示,其他模型略。可得如下结果:
(1)鲳鱼最高阻力在鱼嘴处,且鱼鳍附近之外均为阻力,鳍附近为推力;速度场处大部分均为x负向30m/s,鱼体上下部分速度最大可达50m/s左右;仅仅鱼体附近一小部分速度为x正向,鱼体也沿x正向移动;
(2)刀鲚最高阻力在鱼嘴处,且鱼鳍附近之外均为阻力,鱼鳍附近为推力;速度场处大部分均为x负向30m/s,鱼嘴处速度为26m/s左右;仅仅鱼体速度为x正向移动;
(3)蒙古鲌最高阻力在鱼身前半部分下部分处,且仅仅鱼尾下部为推力;速度场x负向30m/s部分要小于前两种鱼类,有另一部分速度处于24m/s左右,鱼体下部速度达到最大为50m/s左右;仅仅鱼体及周边海域速度为x正向移动。

(a)鲳鱼阻力分布云图

(b)刀鲚阻力分布云图

(c) 蒙古鲌速度分布云图
图3 部分力学与速度分布云图
Fig.3 Partial Mechanics and Velocity Distribution Cloud Map
3.2 RNGK-ℇ与Spalart-Allmaras湍流模型的结果分析
在RNGK-ℇ湍流模型下,鲳鱼下压力以及x方向速度分布趋势与标准K-ℇ模型相同,阻力和推力,均较高于另外两种模型,速度场分布趋势与标准K-ℇ模型相同;刀鲚下压力以及x方向速度分布趋势与标准K-ℇ湍流模型相同;蒙古鲌下压力以及x方向速度分布趋势与标准K-ℇ湍流模型相同。
在Spalart-Allmaras湍流模型下,鲳鱼下压力以及x方向速度分布趋势与前两种模型相同,但阻力和推力是三种模型中最小的,速度场分布趋势与前两种模型完全相同;刀鲚下压力与速度场分布趋势与前两者相同,阻力与推力均较高于前两者,速度云图分布趋势相同;蒙古鲌下压力与速度分布趋势与前两种模型相同,但阻力与推力较大。
3.3分析总结
基于流体力学数值模拟仿真分析鱼类生物样本的水动力性能,三种湍流模型的计算结果差距并不大,趋势一致,体现计算结果的正确性。总结分析结果得到如下结论:
(1)收敛性方面。RNG K-ℇ模型收敛的速度快,且降低了涡流对湍流的影响,相对于其他两种湍流模型,RNG K-ℇ湍流模型更适合用于进行鱼类生物样本的力学性能数值模拟仿真分析。
(2)受力场方面。鲳鱼和刀鲚的鱼嘴位置是游动时承受阻力最大的部位,而蒙古鲌承受最大阻力的部位则是鱼身的前半部分以及下半部分,但鱼嘴受到的阻力也较大,可见鱼类在水中游动时需要克服的阻力主要集中于头部。
(3)速度场方面。分析发现相同环境下速度表现更优秀的不是想象中身材更为平滑的刀鲚,而是贴近流线型,且鱼尾呈月牙形的蒙古鲌,可得流线型的身体结构,受到的阻力更小,运动能力强,速度快,效率高。
(4)能量场方面。通过对压力云图的分析和观察,在鱼尾和鱼鳍的后方都产生了线涡,即卡门涡街,卡门涡街会对所研究的对象产生阻力,影响工作和推进效率。而当鱼体进行游动时,其尾流中会出现“反卡门螺旋涡街”,鱼体附近的线涡的对称面之上的是逆时针的,对称面之下的位顺时针,这种情况被称之为反卡门涡街,这种类似的喷流运动与鱼前进的方向平行且相反,会对鱼体的运动产生推力。这说明鱼类利用自身运动从漩涡中获取能量,支持了涡流假说[3]。在实际的仿生设计中可加以利用,即关键在于鱼鳍的利用,同时通过减小头部阻力,改良整体形态等进行力学性能优化。
(5)仿生设计方面。仿生设计研究发现采用新月形尾鳍与接近流线型身材的鲨鱼、金枪鱼等采用波动式摆动推进的鱼类是游动效率最高,速度最快的,本文选择的三种鱼类标本结构也是这样的推进方式。通过对压力云图的观察,发现相对于刀鲚,鲳鱼和蒙古鲌的鱼鳍后方出现了明显的负压区域,即产生了反卡门涡街产生的推力,促进它们的游动推进,为此,在合理范围内设计稍大的尾鳍有助于提高鱼体的推进效率。通过对于模型的观察我们可以发现,三种鱼类的鱼鳍越贴近流线型,其身体结构更平滑、更贴近流线型的速度更快,排开水的能力更强。所以在仿生设计中,流线型程度在满足抗压条件的基础上,流线型程度越高,速度更快。
4 结论
以鲳鱼、刀鲚与蒙古鲌鱼类标本为对象,利用三维扫描仪器采集标本几何数据信息,采用Fluent数值模拟仿真系列软件,建立标本网格模型,并分别针对三种湍流模型进行了数值模拟仿真,对3种模型下的鱼类标本水动力性能仿真进行了初步研究,得出RNG K-ℇ模型下仿真收敛的速度快,更适合鱼类标本水动力性能数值仿真。并对3种标本的收敛情况、受力场、速度场以及能量场进行了分析对比。为仿生优化设计提供参考,分析了鱼类标本尾鳍、结构流线型对整体效率的影响。
与已有文献相比,基于计算流体模拟仿真方法,本文研究创新探讨3种主要湍流模型对鱼类标本水动力性能仿真分析的适应性,对比了3种模型下的标本水动力性能,所得结果为鱼类仿生学、仿生设计、海洋工程装备、水下机器人等优化设计提供较好的帮助与参考。本文研究主要是针对鱼类标本的整体结构而展开,相应的比如尾鳍、鱼鳍等标本局部部件研究没有重点考虑,同时考虑更多因素条件与设置的3种湍流模型的深入研究应该加强,并逐步扩展到计算流体力学数值模拟仿真中5种湍流模型的研究,这也是下一步的研究方向和重点。
参考文献:
[1] 喻俊志, 陈尔奎, 王硕, 等. 仿生机器鱼研究的进展与分析[J]. 控制理论与应用, 2003, 20(4): 485-491.Yu Junzhi, Chen Erkui, Wang Shuo, et al. Research Evolution and Analysis of Biomimetic Robot Fish[J]. Control Theory and Application, 2003, 20(4): 485-491.
[2] 王安忆, 刘贵杰, 王新宝, 等. 身体/尾鳍推进模式仿生机器鱼研究的进展与分析[J]. 机械工程学报, 2016, 52(17): 137-146.Wang Anyi, Liu Guijie, Wang Xinbao, et al. Development and Analysis of Body and/or Caudal Fin Biomimetic[J]. Journal of Mechanical Engineering, 2016, 52(17): 137-146.
[3] 张天栋,王睿,程龙,等.鱼集群游动的节能机理研究综述[J].自动化学报,2021,47(03):475-488.Zhang Tiandong, Wang Rui, Cheng Lgong,etal. Research on Energy-Saving Mechanism of Fish Schooling: A Review [J]. ACTA AUTOMATICA SINICA, 2021,47(03):475-488.
[4] 喻俊志,陈尔奎,王硕,等. 仿生机器鱼研究的进展与分析[J]. 控制理论与应用,2016, 20(4):1274-1286.
YU Junzhi,CHEN Erkui,WANG Shuo,et al. Research evolution and analysis of biomimetic robot fish[J]. Control Theory & Applications,2016,20(4)1274-1286.
[5] 白亚强, 张军, 丁恩宝, 等. 静水中长鳍扭波推进的水动力数值研究[J]. 水动力学研究与进展, 2016, 31(4): 402-408.Bai Yaqiang, Zhang Jun, Ding Enbao, et al. Numerical Study for the Hydrodynamics of Torsional Wave Propulsion with Long Fin in Stationary Water[J]. Chinese Journal of Hydrodynamics, 2016, 31(4): 402-408.
[6] 刘爽,吕超,饶勇,等.基于仿真的鲨鱼鳍结构性能分析与研究[J].系统仿真学报,2018,30(06):2398-2404. LIU Shuang, LV Chao, RAO Yong, et al. Performance Analysis and Research of Shark Fin Structure based on Simulation[J]. Journal of System Simulation, 2018,30(06):2398-2404.
[7] Xie Fengran et al. Designs of the Biomimetic Robotic Fishes Performing Body and/or Caudal Fin (BCF) Swimming Locomotion: A Review[J]. Journal of Intelligent & Robotic Systems(0921-0296), 2021, 102(1):13.
[8] Korkmaz Deniz,Ozmen Koca Gonca,Li ,etal. Locomotion control of a biomimetic robotic fish based on closed loop sensory feedback CPG model[J]. Journal of Marine Engineering & Technology(1476-1548),2021,20(2):1-13.
[9] 陈令坤,乔涛,毕树生,等.仿蝠鲼机器鱼软体胸鳍建模与仿真[J].机械工程学报,2020,56(19):182-190.
CHEN Lingkun, QIAO Tao, BI Shusheng,etal. Modeling and Simulation Research on Soft Pectoral Fin of a Bionic Robot Fish Inspired by Manta Ray[J].Journal of Mechanical Engineering,2020,56(19):182-190.
[10] 冯亿坤,刘焕兴,宿原原,等.仿生机器鱼快速启动的水动力性能数值模拟[J].华中科技大学学报(自然科学版),2020,48(07):33-39.
FENG Yikun, LIU Huanxing, SU Yuanyuan,etal. Numerical simulation on hydrodynamic performance of fast-start for bionic robotic fish[J]. J.Huazhong Univ.of Sci.&Tech.(Natural Science Edition), 2020,48(07):33-39
[11] 谢鸥,宋爱国,朱其新.机器鱼近壁面波动推进的体表压强特性研究[J/OL].系统仿真学报,2021,6(11):1-8.
Xie Ou, Song Aiguo, Zhu Qixin. Study on near-body pressure characteristics of bionic robotic fish undulating in near wall region [J]. Journal of System Simulation, 2021,6(11):1-8.
关于举办“第二届基于断裂力学与损伤力学的失效仿真分析研修班”的 通 知
第18届中国CAE工程分析技术年会 暨第4届中国数字仿真论坛征文通知(第一轮)

