新朋友点“环保人”关注
三相分离器是UASB反应器的核心组成部分,三相分离器直接影响着UASB反应器的气、液、固的分离效果,也直接影响着后续构筑物的处理,对三相分离器进行合理的设计对于整个工艺有着重要的影响。三相分离器的主要作用是将气体、液体、固体进行等三相加以分离,产生的沼气通过集气罩收集后排出反应器,并将处理水导入出水区,将固体颗粒导入反应区。三相反应器由气体收集器和折流挡板组。三相分离器的简图如图4—2所示。
图4—2三相分离器简图
UASB升流式厌氧污泥床反应器污水处理工程设计规范(HJ2013—2012)有以下要求:
沉淀区表面负荷宜小于0.8 m3/( m2·h),沉淀区水深应大于1.0m;
进入沉淀区前,沉淀槽底缝隙中的流速≤2.0m/h;
沉淀器斜壁角度应在45°~60°之间;
出气管的直径应保证从集气室引出沼气;
三相分离器宜选用聚乙烯(HDPE)、碳钢、不锈钢等材料,如采用碳钢材质应进行防腐处理;
在以上条件下,沉淀区的表面水力负荷为:
q=Q/A1=9.17/(2×30)=0.153 m3/( m2·h)
q<0.8 m3/( m2·h),符合设计要求。
由于UASB三相反应器的L=7.5m,宽B=4m;没个反应器中设置2个三相分离器,每个三相分离器的长度为:b=3.75m;上下三角形集气室斜面水平夹角为:θ=50°;
UASB反应器水面超高为:h1=0.5m;
上三角形顶深:h2=0.5m;
下三角形高度:h3=1.5m;
宽度为:d=4m;
则下三角形集气室底部宽为:
上式中:
h1——为UASB反应器超高;
h2——为上三角顶深;
h3——为下三角高度;
b1——为下三角集气室底部宽度;
则,b1=1.5/tan50°=1.26m
相邻两个下三角之间的水平距离为:b2=b—2b1=3.75—2×1.26=1.23m
则下三角回流缝的面积为:S1=b2·d=1.23×4=4.92m2
下三角集气室之间污泥回流缝中混合液的上升流速计算公式为:
式中:
Q1——为反应器中废水的流量,m3/d;
S1——为下三角回流缝的面积,m2。

则:
上三角回流缝的宽度取,DE=0.5m;
则上三角回流缝的面积为:S2=2×0.5×4=4m2;
上三角集气室之间污泥回流缝中混合液的上升流速计算公式为:

则:
则易知,V1<V2<2,符合设计要求。
确定上、下三角的相对位置及尺寸:
取上三角集气室下端的水平距离为:EI=1.50m

气液分离设计:
取d=0.01cm(气泡),T=25℃
水的密度:ρ1=1.03g/cm3
空气的密度:ρg=1.2×10-3 g/cm3
水的运动粘度:v=0.0101cm2/s
碰撞系数:ρ=0.95
水的粘度:μ= v·ρ1=0.0101×1.03=0.0104g/cm·s
由于一般废水的粘度都大于净水的粘度,因此,取μ=0.02 g/cm·s
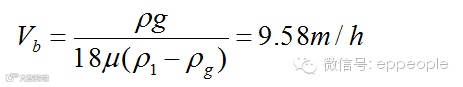
由斯托克斯公式可得气体上升速度为:

取Va=V2=1.15m/h

因此,设计满足要求。
三相分离器高度和UASB反应器高度的设计:
三相分离器总高度为:
UASB总高:H=6.0m,包括其中的0.5m超高;
反应区高3.4m,污泥区高2.0m,悬浮区高1.4m
沉淀区高2.1m
免责声明:版权问题请与本号联系处理

