环境部发的环保台帐表格word版下载,请加微信sthjb8
点击题目下方蓝字关注 环保人
长按图片·识别二维码关注

免费环评、验收、台账、“三废”处理、危废出路等咨询,请加微信sthjb8或者电联18143461028

1 引言
纺织印染行业废水具有排放量大、水质变化大、有机物浓度高、色度高等特点,其处理相对复杂.近年来,由于水资源的紧缺,众多环保学者在印染废水回用领域进行了大量研究.
为了保证印染废水出水的稳定达标和中水回用,双膜法成为印染废水处理领域深度处理最为常用的处理技术,研究表明,全国75%以上的印染企业利用双膜法作为深度处理技术.双膜法技术包括超滤和反渗透(RO)两种膜处理技术.RO出水包括淡水和浓水,其中,淡水可直接排放或完全回用于印染工序,浓水由于盐度高、含一定浓度的难降解有机物和硬度,不仅不能直接排放,而且处理相当困难.目前,针对印染反渗透浓水(ROC)的主要处理措施有直接排放处理、回流二次处理和膜蒸馏技术.直接排放处理一般是指直接排入海洋,是最为常用的浓水处理技术,但此技术受到地理位置限制,在广大内陆等离海岸较远的地区不宜推广.回流二次处理是指将浓水回流至水处理系统的前处理段,再次进入水处理系统进行二次处理,这样使浓水中的难降解有机物和高盐度物质得不到外排,长期回流会导致生化系统盐分逐渐积累,微生物活性降低并最终导致生物处理系统的崩溃.膜蒸馏技术是一种膜技术与蒸馏技术相结合的膜分离技术,可以实现浓水和盐分的完全回收,但该技术耗能太高,大部分企业很难承受.另外,汪晓军等采用Fenton氧化结合石灰苏打处理印染ROC,实现了印染ROC的完全回用,但由于Fenton氧化技术处理过程中有可能带入印染需严格限制的Fe2+,因此,需要后续设置絮凝沉淀池以完全去除出水中的Fe2+.鉴于现有各浓水处理工艺的不足,亟需开发一种新的处理工艺解决地理位置受限、处理成本过高及处理工艺复杂等难题.
过硫酸盐(PS)氧化作为一种新型的高级氧化技术近年来在环境领域逐渐受到研究人员的关注.在常温条件下,PS是一种较为温和的氧化剂,反应速率较慢.当PS受到外界条件如热、微波、过渡金属离子作用时容易被活化,产生氧化性更强的硫酸根自由基(SO· -4),其标准氧化还原电位E0=2.60 V,高于PS的E0=2.01 V.相应的反应原理如下:

pH对PS降解有机物有一定的影响,杨照荣等的研究表明,PS的氧化能力在碱性条件下比酸性和中性条件下较强,因为在碱性条件下硫酸根自由基会生成氧化能力更强的羟基自由基(· OH,E0=2.80 V),反应如下:
![]()
除pH外,初始PS投加量、反应温度都是影响PS氧化反应的重要影响因素.PS氧化镇痛药(立痛定)的研究表明,有机物的氧化速率在一定初始PS范围内随初始PS用量的增加而加快.温度的提升大大提高了PS分解垃圾渗滤液中腐殖酸的速率,温度从90 ℃上升到150 ℃时,有机物去除率从63.5%上升到76.0%,温度继续上升到170 ℃,有机物去除率上升到78.8%.
石灰苏打软水技术是废水处理领域最为传统的脱硬度技术.印染用水中硬度过高会造成染料在染色织物表面分配的不均匀性,同时降低染色织物的色牢度,是印染回用水严格规定的水质指标.采用石灰软化和微滤工艺处理某热电厂的循环冷却排污水的研究表明,石灰软化可大大降低废水的硬度和碱度,出水完全满足回用要求.
本研究结合印染ROC水质特点及印染回用时需补充大量硫酸钠作为印染助剂的要求,将PS氧化和石灰苏打软水技术联合应用于印染ROC处理过程中.首先利用条件实验和正交试验研究PS氧化去除印染ROC难降解有机物的影响因素,包括反应pH、初始PS投加量和反应温度等条件,研究有机物降解的动力学模型;其次分析PS氧化前后无机组分和有机组分;最后确定石灰苏打脱硬度的最佳的石灰和苏打药剂投加量组合.
2 材料与方法
2.1 印染废水ROC
印染ROC取自佛山市西樵镇某纺织有限公司,废水总排放量60000 m3 · d-1,ROC排放量约20000 m3 · d-1.原水水质:CODCr为112.5 mg · L-1,BOD5/CODCr为0.05,TOC为34.0~35.6 mg · L-1,SO42约9600 mg · L-1,CO32约1500 mg · L-1,Cl-约650 mg · L-1,pH为8.3~8.8.
2.2 主要仪器和药品
pHs-3c便携式pH计(上海精密科学仪器有限公司);COD快速密闭消解测定仪(广东,韶关);BOD测定仪(美国,HACH);电子天平,恒温振荡器(上海精密科学仪器有限公司);离子色谱仪ICS-1600(美国,戴安);TOC测定分析仪TOC-LCPH/CPN(日本,岛津);
PS、磷酸二氢钠、石灰和苏打等药剂均为分析纯(天津科密欧化学试剂有限公司).
2.3 试验方法及条件
有机物降解:取100 mL ROC于250 mL的锥形瓶中,加入0.3 g磷酸二氢钠缓冲溶液,以10%的H2SO4和10%的NaOH调节pH值,加入一定量的过硫酸钠,锥形瓶置于恒温振荡器中,一定温度条件下完成活化氧化反应.
硬度脱除:取200 mL经过硫酸钠氧化处理后的浓水,投加一定浓度的石灰并在120 r · min-1条件下搅拌反应10 min;加入一定浓度的苏打,120 r · min-1下搅拌反应15 min,静置沉淀30 min,取上清液测定出水硬度.
2.4 检测项目和分析方法
COD采用快速密闭消解法(HJ/T 399—2007)测定,BOD5采用稀释接种法测定,TOC采用燃烧氧化-非分散红外吸收法(HJ 501-2009)测定,硬度测定采用锅炉用水和冷却水分析方法中硬度的测定方法(GB/T 6909—2008),硫酸盐和氯离子采用离子色谱法测定,碳酸盐采用标准盐酸滴定法测定,以酚酞和甲基橙作指示剂.
采用SPSS 18统计分析软件在95%置信区间做方差分析,进行差异显著性检验,采用Origin 8.0对数据作图.
3 结果与讨论
3.1 PS氧化单因素试验研究
3.1.1 pH对PS氧化印染ROC的影响
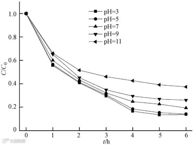
不同pH条件对PS热活化处理印染ROC的影响如图 1所示,其中,ROC的初始COD为115.2 mg · L-1,反应温度为75 ℃,过硫酸钠的初始浓度为1000 mg · L-1,振荡速度为60 r · min-1.由图 1可以看出,在pH为5时,4 h的反应时间内溶液的COD由112 mg · L-1降低到21.3 mg · L-1,有机物的去除率达到81.6%.当溶液的pH从5.0 降低至3.0 时,有机物降解率增加不显著(p>0.05),考虑到后续出水回调影响成本,确定反应体系适宜的pH条件为5.0.在任意试验pH条件下,在4~6 h的反应时间内,溶液的COD变化不明显(p>0.05),表明在4 h反应时间内,有机物的降解已基本完成.另外,当pH>5.0时,印染ROC的有机物降解速率随反应体系pH的升高而逐渐降低(p<0.05),表明酸性条件相对于中性和碱性条件更有利于PS对ROC中有机物的降解.本实验的研究结果与常温条件下活性炭活化PS氧化偶氮染料酸橙7的研究结果相一致,这可能是由于酸性条件下PS更容易产生SO· -4,而SO· -4在PS氧化印染RO浓水中的有机物过程中起到了重要作用.

图1 pH对PS氧化印染RO浓水中有机物去除效果的影响
3.1.2 初始PS浓度对PS氧化的影响
在温度75 ℃、pH=5的条件下研究了不同初始PS浓度(200~2000 mg · L-1)对ROC中有机物氧化的影响,结果见图 2.当初始PS浓度从200 mg · L-1上升到1000 mg · L-1时,4 h的反应时间内溶液的COD由98.3 mg · L-1降低至21.5 mg · L-1,表明初始PS浓度对印染ROC中难降解有机物的降解有很大影响,印染ROC中难降解有机物的降解速率随PS初始浓度的升高而逐渐升高(p<0.05).当初始PS浓度由1000 mg · L-1升高到2000 mg · L-1时,溶液的COD变化不明显(p>0.05),表明1000 mg · L-1的初始PS浓度产生的SO4· -和· OH已基本上能满足印染ROC中难降解有机物的分解,过量的初始PS量不仅不能增加难降解有机物的降解速率,而且会造成PS的浪费,因此,确定本反应体系最佳的PS初始浓度为1000 mg · L-1.本研究的结果与酸活化PS氧化敌草隆的结果一致,有机物的降解速率随初始PS浓度的升高而升高,当初始PS浓度增加到一定浓度时,有机物(敌草隆)的降解速率升高不显著.这可能是由于适量的PS产生了足够反应体系内有机物氧化产生SO· -4和· OH,过量的PS由于被还原后生成了大量的SO42对PS氧化的抑制作用.

图2 初始PS浓度对PS氧化印染RO浓水中有机物去除效果的影响
3.1.3 温度对PS氧化的影响
温度是影响PS活化氧化有机物的一个重要因素,温度对PS氧化ROC中有机物的影响效果见图 3,在最适宜的pH和初始PS浓度条件下,选择温度65~80 ℃进行活化.在4 h的反应时间内,ROC的COD在65、70、75和80 ℃条件下从112 mg · L-1分别降低到84.7、42.5、21.5和19.8 mg · L-1,表明ROC的有机物去除效率随反应温度的增加而增加(p<0.05).温度由75 ℃增加到80 ℃时,ROC的COD在反应的4~6 h内,COD变化不大(p>0.05),表明在此反应体系内,75 ℃温度可以快速活化PS,考虑到经济成本,确定本研究的适宜的活化温度为75 ℃.

图3 温度对PS氧化印染ROC的影响
不同温度下PS活化氧化ROC有机物的过程符合一级降解动力学,反应数率常数分别为0.0682 h-1(R2=0.95,65 ℃)、0.2031 h-1(R2=0.96,70 ℃)和0.3148 h-1(R2=0.95,75 ℃).反应速率常数随温度升高不断增大.这可能是由于反应温度越高,PS中的O—O越容易断裂,产生的自由基就越多,对氧化难降解有机物越有利.这与热激活PS降解卡马西平和奥卡西平的研究相类似,表明温度的升高更有利于PS的活化和体系中难降解有机物的分解.
3.2 PS氧化正交试验研究
在单因素实验基础上利用正交试验进行实验优化,采用3因素3位级正交试验,正交试验方案与试验结果分析见表 1和表 2.由表 1和表 2可确定PS氧化反应中各因素对有机物去除率影响的强弱顺序为:温度>初始PS浓度>pH.其中,温度的极差为0.36,高于其他因素,是影响有机物去除效果的主要因素.由此得到最适宜的PS氧化条件为:pH为5.0,初始PS浓度为1000 mg · L-1,反应温度为75 ℃.

表1 正交试验方案与结果
表2 正交试验计算分析表
通过条件试验研究表明,PS氧化处理印染废水ROC的适宜条件为:pH为5.0,初始PS浓度为1000 mg · L-1,反应温度为75 ℃;正交优化试验研究表明,PS氧化处理印染废水ROC的最适宜条件和条件试验完全一致,表明在此条件下利用PS处理印染ROC可以达到较好的有机物去除效果.
3.3 PS反应过程中各组分的变化
PS氧化反应过程中由于投加PS氧化废水中的难降解有机物,反应过程中溶液的各组分发生了变化,主要包括无机和有机成分的变化.无机组分的变化主要是指ROC中的硫酸钠随着反应的持续进行浓度不断升高.从图 4可以看出,在投加1000 mg · L-1的PS条件下,6 h后出水硫酸根的浓度上升到10350 mg · L-1,出水回用于印染工艺,浓水中的高浓度硫酸盐不仅没有浪费,而且得到提升并作为染色助剂应用,减少染色工艺投加硫酸钠10 g · L-1以上,硫酸钠市场成本为0.68元· kg-1,节约成本6.8元· m-3.有机组分的变化主要是指ROC中的难降解有机物在PS作用下不断矿化的过程.ROC中的TOC在4 h的反应时间内降低到1.0 mg · L-1以下,表明经PS氧化后废水中的难降解有机物数量明显减少,实现了难降解有机物的基本矿化.

图4 PS反应前后硫酸根和TOC的变化
3.4 石灰苏打软化印染ROC研究
3.4.1 石灰投加量的影响
石灰可以有效脱除水体中的镁离子,其相应的反应方程式如下:

由于Mg(OH)2的Ksp(1.8×10-11)比Ca(OH)2的Ksp(5.5×10-6)小5个数量级,石灰投加入溶液中以后,生成更难溶的Mg(OH)2沉淀使溶液中的镁离子得到去除(蔡明招等,2009).溶液中的总硬度、钙硬度、镁硬度和pH随石灰投加量的变化见图 4.总硬度、钙硬度和溶液的pH随石灰投加量的增加不断增加,相反地,镁硬度却在不断降低.当石灰的投加量增加到150 mg · L-1时,溶液的pH达到10.2,镁硬度降低到1.2 mg · L-1,继续投加石灰,镁硬度变化不大(p>0.05),表明石灰投加量已满足溶液中Mg2+的去除,确定此反应体系适宜的石灰投加量为150 mg · L-1.

图5 石灰投加量对硬度和pH的影响
3.4.2 苏打投加量的影响
苏打即无水Na2CO3,苏打可以和溶液中的Ca2+结合生成难溶的白色沉淀碳酸钙,碳酸钙的Ksp仅为4.8×10-9,可以有效降低溶液中的Ca2+硬度.ROC浓水中总硬度、Ca2+硬度、Mg2+硬度和总硬度去除率随苏打投加量增加的变化见图 6.由图 6可知,苏打投加量从0 mg · L-1增加到800 mg · L-1时,总硬度和Ca2+硬度急剧下降至16.5 mg · L-1,总硬度去除率达到83.6%,苏打投加量继续增加,总硬度和Ca2+硬度变化不大(p>0.05).由于印染用水标准明确规定回用水的总硬度小于17.5 mg · L-1(崔家琪,2013),确定适宜的苏打投加量为800 mg · L-1.

图6 苏打投加量对硬度和总硬度去除率的影响
3.5 运行成本分析
在实验室小试基础上进行成本分析,PS-石灰苏打处理印染ROC的主要处理费用包括加热费用、药剂投加费用、电费及自来水和印染过程硫酸钠节省费用.以空气源热泵加热印染废水ROC提升温度50 ℃(25~75 ℃),吨水成本10.0 元,吨水投加过硫酸钠、石灰和苏打成本5.06元,处理1 t浓水可节约自来水成本3.50元,印染节省硫酸钠成本6.80元以上,合计吨水处理成本4.76元.同膜蒸馏-化学氧化技术处理反渗透浓水(10.50元· m-3)相比具有明显的经济优势和实用价值.
经PS氧化-石灰苏打处理后的出水作为印染介质进行染色试验,在硬度满足印染回用水前提下(<17.5 mg · L-1),COD<21.5 mg · L-1时染色织物的各性能完全满足印染要求,表明本工艺处理印染ROC浓水可实现其完全回用.
4 结论
1)PS氧化-石灰苏打技术可以有效去除印染ROC中的难降解有机物和硬度,经适当处理后出水可实现回用于染色工序.
2)酸性条件有利于PS氧化处理印染ROC中的难降解有机物,最适宜的初始PS投加量为1000 mg · L-1,最适宜的活化温度为75 ℃,氧化反应过程符合一级准动力学方程.
3)PS氧化反应前后,溶液中无机和有机组分发生明显变化,硫酸钠浓度得到进一步提升,大大节省了印染工序投加量和印染成本,难降解有机物基本完成矿化.
4)150 mg · L-1的石灰投加量和800 mg · L-1的苏打投加量可以将废水的硬度降低至17.5 mg · L-1以下,出水满足印染回用水要求.


