
设计原则
1、认真研究项目建设的条件,通过多方案比较,确定较为合理的技术方案。
2、分析选址资源情况。
3、合理布置太阳电池方阵。
4、组件安装快速、便捷:
5、电缆布线最优化:
6、高效的逆变器和组件是系统稳定运行的保证,选用知名品牌。
1.光伏阵列的设计
光伏阵列即光伏方阵,由若干个光伏组件或光伏构件在机械和电气上按一定方式组装在一起,并且有固定的支撑结构而构成的直流发电单元。在光伏方阵设计时我们通常需要考虑以下几个方面:光伏组件的倾角、光伏阵列之间的间距和组件串的组件数量计算。
1.1光伏组件倾角的计算
光伏组件倾角:光伏组件所在平面与水平面的夹角。
目前光伏组件倾角我们正常通过专业软件进行模拟。
1.2光伏阵列之间间距的计算:
一般光伏组件阵列阴影遮挡确定原则为:在一年中白天最短的一天(冬至日)上午九点至下午三点确保组件上无任何阴影遮挡,太阳能方阵间距应不小于D。

1.3组件串的设计
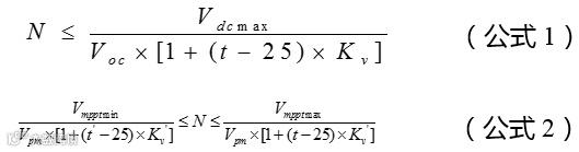
组件串是在光伏发电系统中,将多个光伏组件以串联方式连接,形成具有所需直流输出电压的最小单元。在组件串设计时主要应考虑以下因素:1、逆变器的MPPT跟踪范围;2、逆变器直流输入能承受的最大直流电压;3、光伏组件的开路电压、峰值工作电压及组件的开路电压的温度系数。
我们在设计时必须满足光伏组件串的电压在逆变器MPPT工作范围内,且需要考虑组件在温度上升时而带来的电压下降,即组件串的最低工作电压必须大于逆变器MPPT的最低电压,同时组件串峰值工作电压必须小于逆变器MPPT的最大电压。
关于逆变器直流输入的最大电压:由于组件串在温度下降时开路电压反上升,因此我们在计算时必须满足组件串的最大开路电压不得高于逆变器允许承受的最大直流输入电压。
在《光伏发电站设计规范(GB 50797-2012)》,提出如下公式。

1.4特殊气候条件对光伏电站的影响
特殊气候条件对光伏电站的影响按以下几个因素分类讨论:
● 极端温度的影响
极端低温和极端高温都将影响到设备的生存;极端高温对电池板输出电能不利,气温的升高将导致组件表面温度的升高,组件的发电效率下降。
● 极端大风的影响
极端大风会影响电池板的安全,导致光伏组件被大风吹翻;极端大风还会降低支架的防腐性能。
● 极端雷暴的影响
雷暴可能导致电气设备雷击毁坏,不能工作,影响光伏电站电能输出。
● 极端降雪的影响
积雪有可能造成光伏组件的大面积损坏,影响光伏电站电能输出。
所以,在进行光伏发电系统设计时都需要对以上因素进行考虑
辐照量分析
太阳能辐射数据的来源有来自卫星扫描数据,或从气象局取得的实地测试数据。目前卫星扫描数据一般利用美国宇航局NASA数据库提供的太阳能辐射数据。通过输入不同地理位置经纬度坐标,得到当地辐射值。

不同角度、方位角光伏组件上接收的总辐射量与最佳倾角的对比
系统效率
序号 |
项 目 |
1 |
温度造成的年平均损失 |
2 |
光伏组件匹配造成的损失 |
3 |
灰尘/积雪造成的损失、遮挡造成的损失 |
4 |
不可利用的太阳能辐射损失等 |
5 |
直流线路造成的损失 |
6 |
逆变器直流~交流转换效率损失 |
7 |
交流线路造成的损失 |
8 |
系统维修及故障造成的损失 |
屋顶电站根据项目特点差异较大,一般75%—85%
发电量计算
计算公式:L = W×H×η
L ——光伏电站年发电量;
W——光伏电站装机容量;
H —— 年峰值日照时数;
η—— 光伏电站系统总效率;
支架结构设计
对于民用光伏电站结构设计,我们需要考虑如下几个问题:
1、光伏组件及设备在安装在屋顶上对原有建筑的安全性和耐久性
2、光伏组件支架在使用设计使用年限内的安全性和耐久性
3、光伏组件的能否正常使用?
针对上述问题,我们应当做如要几点需要考虑:
结构专业设计师需要根据现场收资,通过专业软件建模计算,设计出满足要求的支架安装方式。
作者:林洋新能源 郭杨
点击文章下方阅读原文
与林洋亿笑宝共襄盛会


