
近日,加勒比地区热门移民目的地——圣基茨和尼维斯(以下简称“圣基茨”)再次成为全球移民市场的焦点。
在该国投资移民项目最新研讨会上,投资移民局理事会主席Calvin St. Juste正式宣布,将对投资入籍计划(CBI)进行一系列重大调整。
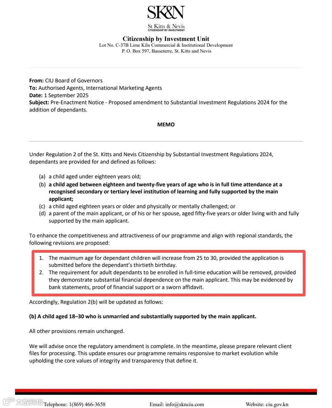
本次改革的核心内容包括:允许30岁及以下子女作为附属申请人,并取消对成年附属申请人的强制学历要求。
这一政策优化被业内普遍评价为“近年来最具诚意的移民制度改革”,不仅显著降低了申请门槛,也更精准地契合了高净值家庭在身份规划与子女未来发展方面的多元需求。
本次政策调整主要围绕以下核心要点:
原政策中,主申请人可携带的子女需未满25周岁且经济依赖父母;而新政将这一年龄限制提升至30岁。
这一调整精准解决了许多家庭的痛点——现代社会中,很多25岁-30岁的子女可能仍在攻读硕士、博士,或因初入职场、薪资较低而无法完全经济独立。
成年附属申请人不再需要全日制在校就读,但需通过银行对账单、经济支持证明或宣誓书等材料,“证明其主要经济来源依赖主申请人”。
此前的规定要求,18至25岁的附属申请人需“全日制就读于公认的中学或高等教育机构”,且经济完全依赖主申请人。此次取消这一要求,解决了现代家庭面临的实际难题。
此外,圣基茨公益捐款PBO选项还将取消四人家庭3.5万美元政府费用,现在与政府捐款选项投资金额一致,对那些即将递交申请的客户来说,相当于节省了25万元人民币,优惠截止到2025年12月31日。
圣基茨移民局局长Les Khan在解读新政时表示:“此次调整旨在让投资入籍计划更包容、更贴合家庭实际需求。我们希望通过降低非必要的门槛,吸引更多有实力、有意愿的全球家庭,同时为圣基茨的经济多元化发展注入持续动力。”
扫描二维码,了解更多相关信息
为精准契合超高净值客户对个性化服务的极致追求,圣基茨移民局即将重磅推出专属VIP服务——“Priority One”。
此服务以“全流程尊享体验+专属资源无缝对接”为核心亮点,为投资者打造全方位、定制化的尊崇移民之旅。具体权益如下:
每一位选择“Priority One”服务的客户,都将配备一位专属的 VIP 礼宾经理。这位专业的礼宾经理将化身客户的贴心移民助手,提供从申请起始到最终获批的全流程一对一深度引导。无论何时何地,只要客户有需求,专属礼宾经理都会全天候迅速响应。
“Priority One”服务特别推出90天加急审批通道,赋予客户“优先处理申请”的特权。这一权益将原本漫长的审批周期大幅压缩至90天,让客户能够以更快的速度获得圣基茨的公民身份。
“Priority One”服务还为客户精心准备了一系列高端生活场景权益。客户将有机会体验专属的私人岛屿游览,更有机会获得全球顶级社交活动的参与资格,与来自世界各地的政商名流、行业精英交流互动,拓展高端人脉资源,为自己的事业发展和生活品质提升注入新的动力。
圣基茨移民局强调,项目核心价值远不止 “一本护照”,而是为投资者提供 “公民身份获取后” 的全周期服务。
扫描二维码,了解更多相关信息
圣基茨和尼维斯自1984年推行投资入籍计划以来,已经41年历史,是全球历史最长的投资入籍计划,成熟稳健。其护照被全球金融机构和政府广泛认可。
圣基茨护照持有者可享受全球150多个国家和地区的免签或落地签待遇,这其中包括法国、德国、意大利在内的29个申根国以及新加坡、中国香港等国家与地区。
英国更是给予其6个月的免签待遇。如此广泛的免签覆盖范围,使得圣基茨公民能够真正实现说走就走的全球旅行。
在税务规划方面,圣基茨护照也提供了十分有吸引力的优势。该国实行完全免税政策,不征收个人所得税、资本利得税和遗产税。更令人心动的是,圣基茨目前没有居住要求,申请人无需改变现有生活和工作地点。
这种"零税负+无移民监"的组合,使其成为真正的税务天堂,特别适合希望优化税务结构的企业家、投资人等高净值人群。
作为英联邦国家,圣基茨沿袭了英式教育体系,从小学到中学提供免费义务教育。子女在这里接受教育,不仅能打下坚实学术基础,还能培养国际视野与跨文化交流能力。
凭借圣基茨公民身份,子女未来还有机会以国际生身份申请国内知名高校,享受更优惠的入学政策。更吸引人的是,可以在英国享受免签证英式教育,毕业后能够在英国工作,无需申请工作签证。这为子女的未来发展提供了更多选择和便利。
想了解更多相关信息的朋友,欢迎扫描下方二维码咨询侨外资深顾问↓

