1.说明
本工程结构为框架结构,抗震设计烈度8度,檐高48.9m,施工场地东西长18m,南北长约88m,共划分地下室六个施工流水段,地上部分划分四个施工流水段,每段的施工面积较大,墙、柱、梁、板的混凝土方量较大,因此浇筑底板混凝土时现场设置3台地泵,浇筑其他结构部位时现场设置2台地泵。3台地泵分别“三一重工”牌、HBT80C和HBT60。混凝土泵的输送能力为60m3/h或90m3/h,理论最大出18Mpa。
2.泵送混凝土对原材料的要求
对泵送混凝土除了满足设计规定的强度、耐久性外,还要求满足管道输送的要求,即要求有良好的可泵性,混凝土拌合物具有能顺利通过管道、不离析、不泌水、不阻塞和粘滞性良好的性能。故用于泵送施工工艺的混凝土拌合物,其材料及配合比除满足普通规定外,还要满足下述要求:
2.l水泥
选用普通硅酸盐水泥,配置出的混凝土保水性较好,泌水性较小,满足泵送混凝土要求的粘滞性。
2.2粗骨料
粗骨料的粒径、级配和形状对混凝土拌合物的可泵性有着十分重要的影响。泵送高度在50m以内时,碎石粒径为0.5-2.5cm。粗骨料采用连续级配,针片状颗粒含宜大于10%。
2.3细骨料
细骨料对混凝土拌合物的可泵性也有很大影响。混凝土拌合物能在输送管中顺利流动,主要是粗骨料被包裹在砂浆中,而有砂浆直接与管壁接触起到润滑作用。宜选用中砂、细度模数为2.6,并有良好的级配。
2.4水
配置泵送混凝土所用的水,应符合国家现行标准《凝土拌合物用水标准》(JGJ63-89)的规定。
2.5掺合物
泵送混凝土中常用的掺合物为粉煤灰,掺入混凝土拌合物中,能使泵送混凝土的流动性显著增加,且能减少混凝土拌合物的泌水和干缩,大大改善混凝土的泵送性能。
2.6外加剂
泵送混凝土掺用的外加剂,应符合国家现行标准价凝土外加剂》(GB8076《混凝土外加剂应用技术规范》(GBJll9-88)、《混凝土泵送剂》和《预拌混凝土》的有关规定。
3.泵送混凝土的配合比要求
泵送混凝土的配合比,除了必须满足混凝土设计强度和耐久性的要求外,应使混凝土满足可泵性要求。
泵送混凝土的坍落度,可按国家现行标准《混凝土结构施工及验收规范》的选用。对不同泵送高度,入泵时混凝土的坍落度、混凝土入泵时的坍落度允许误差及混凝土经时坍落度损失值按下表选用。
泵送混凝土坍落度选用值
坍落度(mm)170
坍落度允许误差(mm)土30
砼经时坍落度损失值
大气温度(℃)10.2020.3030-35
混凝土经时坍落度损失值(mm)
(掺粉煤灰,经时lh)5.252工3535.50
泵送混凝土的水灰比宜为0.4-0.6,本工程为0.6。
4.泵送混凝土供应
泵送混凝土的供应包括拌制和运送。根据施工进度的需要,编制泵送混凝土供应计划,在施工过程中,加强通讯联络和调度,确保连续均匀供给混凝土。避免混凝土坍落度损失过大,影响混凝土的泵送。
4.1泵送混凝土的拌制
混凝土各种原材料的质量应符合配合比设计要求,并应根据原材料情况的变化及时调整配合比。拌制泵送混凝土,应严格按设计配合比对各种原材料进行计量。搅拌时其投料次序按规定执行,粉煤灰宜与水泥同步;外加剂的添加应符合配合比设计要求,且宜滞后于水和水泥,泵送混凝土搅拌的最短时间;应按国家现行标准执行。
4.2泵送混凝土运送
泵送混凝土的运送采用混凝土搅拌运输车,混凝土搅拌运输车的数量根据所选用混凝土泵的输出量决定。
Q1=Qmax×α×η
式中Q1一每台混凝土泵的实际平均输出量(m3/h)
Qmax-每台混凝土泵的最大输出量(m
α-配管条件系数。可取0.8-0.9;
η-作业效率。根据混凝土搅拌车向混凝土泵供料的间断时间、拆装混凝土输送管和布料停歇等情况,可取0.5-0.7。
则:Q1=60×0.85×0.6=30.6m3/h
当混凝土泵连续作业时,每台混凝土所需配备的混凝土搅拌运输车台数,可按下式计算:
式中N1一混凝土搅拌运输车台数(台);
Q1一每台混凝土泵的实际平均输出量(m3/h);
V1一每台混凝土搅拌车容量(m
S0一混凝土搅拌运输平均行车速度(km/h)
L1一混凝土搅拌车往返距离(km);
T1一每台混凝土搅拌运输车总计停歇时间(min)。
则:
(辆)
总计:3×11+5(备用)=38(辆)
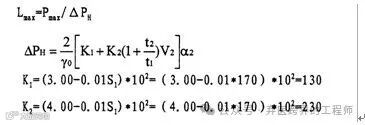
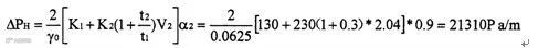
5.混凝土泵送能力验算
根据混凝土泵的最大出口压力、配管情况、混凝土性能指标和输出量按下式计算:
式中Lmax-混凝土泵的最大水平输送距离(m);
Pmax一混凝土泵的最大出口压力(Pa/m);
ΔPH一混凝土在水平输送管内流动每米产生的压力损失(Pa/m);
γ0一混凝土输送管半径(m);
K1一粘着系数(Pa);
K2一速度系数(Pa/m/s);
S1一混凝土坍落度;
t2/t1混凝土泵分配阀切换时间与活塞推压混凝土时间之比。一般取0.3;
V2-混凝土拌合物在输送管内的平均流速(m/s)
α2-径向压力与轴向压力之比,对普通混凝土取0.90。
则:
混凝土泵的最大水平输送距离按120m,最大垂直输送距离按50×4m,弯换算长度按24m,软管水平换算长度按20m,共计364m。
故7.76Mpa<凝土泵理论低压值10.8Mpa
满足使用要求。
6.泵管的布置
6.1底板混凝土浇筑时,三台地泵均布置在基坑西侧位置,第一台地泵位置在基坑西侧的A/1轴处,第二台地泵布置在C/1轴处,第三台地泵位置在1#塔吊承台处。泵管沿护坡壁延伸到底板面的高度,并用钢管将泵管架起,用扣件将钢管架固定牢固。在泵管经过的底板钢筋上,均架设钢管架,使泵管架设在钢管架上,严禁铺设在钢筋上。(底板或楼板面上泵管架见下图)
6.2地下室结构部件混凝土浇筑时,一台(或二台同时使用)地泵泵布设位置同底板,泵管直接延伸到结构楼面上,并用泵管架架设牢固。
6.3地上结构部件混凝土浇筑时,一台(或二台同时使用)地泵泵布设位置同底板,泵管从一层楼面沿5/C轴和15/C轴处的工艺洞伸到所用的结构楼面上。泵管工艺洞处,用木楔楔紧并在使用的楼面上用泵管架架设牢固。并在垂直转角和水平转角处泵管架与预埋在楼板的钢筋固定牢固。泵管架在一层和施工层楼层的垂直转角和水平转角处必须与楼板埋件固定,在其它楼层处为每隔一层固定一次,以此保证泵管固定牢固(详见附图)。
7.泵送混凝土的浇筑
由于本工程每层的建筑面积较大,现场按六(或四)个流水段分别施工。在浇筑底板混凝土时现场设置3台地泵,浇筑其他结构部位时现场设置2台地泵同时浇筑。
7.l泵送混凝土的浇筑顺序
a)将混凝土输送管接到最远端,混凝土应由远而近浇筑;
b)在浇筑墙体混凝土时,上下层之间的混凝土浇筑间歇时间,不得超过混凝土初凝时间。
7.2泵送混凝土的布料方法
a)在浇筑竖向结构混凝土时,布料设备的出露离模板内侧面不应小于50mm,不向模板内侧面直冲布料,也不得直冲钢筋骨架。
b)浇筑水平结构混凝土时,不得在同一处连续布料,应在2-3m范围内水平移动料。且垂直于模板。
c)混凝土浇筑分层厚度为500mm.当水平结构的混凝土浇筑厚度超过500m按1:6坡度分层浇筑,且上层混凝土要超前覆盖下层混凝土500mm以上。
有预留洞、预埋件和钢筋密集的部位,选用小直径的振捣棒,确保顺利布料和振捣密实。在浇筑混凝土时,经常观察,当发现混凝土有不密实等现象,应立即采取措施。
水平结构的混凝土表面,要用木抹子磨平搓毛两遍以上,防止产生裂缝。

整理:弃医跨界的工程师
【免责声明:我们尊重原创,主要目的在于分享信息。所有文字和图片均从网络转载,版权原作者所有,如有侵犯您的权益请告知我们,我们将及时删除,对文中陈述内容和观点均保持中立,不对其准确性、可靠性或完整性提供任何明示或暗示的保证,仅供读者参考。】
评论处大家可以补充文章解释不对或欠缺的部分,这样下一个看到的人会学到更多,你知道的正是大家需要的。。。

