
点击观看视频
更多视频新闻资讯请移步“寰宇签证”视频号
2025年开年,美国签证数据引发关注:家庭团聚、短期商务旅游仍是主流,留学通道持续开放,而一类“隐藏签证”正成为家庭赴美新选择。中美关系波动下,普通人赴美该如何规划?本文将结合最新数据,为你拆解关键信息!(我司在签证办理方面有丰富经验,有需求可以后台咨询~)
2025年2月,中国大陆出生者移民签证签发量前10名中,亲属团聚类签证占据6席,凸显家庭纽带在移民中的核心地位:

IR5(678个):美国公民年满21岁的父母移民,体现“老有所依”的家庭需求;
E1/E3(138+118个):职业移民第一优先(杰出人才)和第三优先(技术工人),反映美国对高技能人才的持续渴求;
F类签证(F2B/F3/F4共196个):未婚子女、已婚子女、兄弟姐妹移民,显示亲属链移民的长期稳定需求。
由以上数据可知,美国移民政策虽历经调整,但“家庭团聚”和“职业技能”始终是两大核心逻辑,普通人可通过提升职业背景(如E3签证)或依托亲属关系规划移民路径。
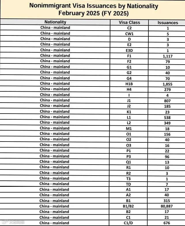
非移民签证中,B1/B2(旅游/商务签)以80,887个稳居第一,赴美短期活动需求旺盛,侧面反映中美民间交流韧性:

H1B(1,855个):专业技术人员工作签证,虽受配额限制,但仍是理工科人才赴美“黄金通道”;
F1(1,117个):学生签证稳定发放,证明美国高校对中国留学生的接纳态度未根本改变;
L1(538个)+L2(349个):跨国公司内部调遣签证及其家属签表现亮眼,成为近期“黑马”。
数据显示,赴美旅游、商务的需求比较旺盛,而H1B与F1签证的数量也较可观,说明美国对专业人才和留学生仍保持开放态度,普通人可以通过合理规划,找到适合自己的赴美路径。
中美关系波动下,留学通道真的“缩紧”了吗?
近期中美在科技、教育领域的互动引发担忧,但数据显示:
✅F1签证未全面收紧:2月仍有千余学生获签,文科、基础学科通过率较稳定,敏感专业(如AI、半导体)审查趋严,但并非“一刀切”。
✅L2签证成留学“隐藏捷径”:
适用人群:父母或配偶持有L1签证(跨国公司高管/技术人员调派签证),其子女可凭L2签证赴美留学,无专业限制、无需单独申请F1,且配偶可合法工作。
优势对比:避开F1签证的“资金冻结”“归国计划审查”,直接享受美国本地教育资源,尤其适合初高中留学家庭。
案例参考:上海某企业中层通过L1签证调派至硅谷分公司,其子女凭L2就读加州公立高中,省去繁琐的留学签证流程,同时全家获得合法居留权。
2025赴美规划实用指南
✅签证申请“避坑”要点
材料准备:移民签证需突出“亲属关系真实性”(如长期往来证明),非移民签证强调“短期停留目的明确”(如商务邀请信、学校录取通知书);
面签技巧:避免过度讨论中美关系,聚焦个人合规性(如稳定职业、无移民倾向),敏感专业学生可提前准备导师简历、研究计划以证明学术中立性。
✅背景提升“加分策略”
职业能力强化:计划申请H1B、E类等职业签证的申请人,可考取国际认证证书(如IT领域的CISSP、金融行业的CFA),或积累跨国项目经验,凸显专业稀缺性;企业高管申请L1签证时,需提前梳理公司海外业务拓展成果,增强调派合理性。
学术与社会活动:学生申请F1签证时,除成绩单外,参与国际学术竞赛、公益项目等经历可提升背景软实力;敏感专业学生可主动联系美国合作院校导师,获取推荐信或联合研究证明,降低签证审核风险。

2025年的美签数据传递出清晰信号:美国依然欢迎“有准备的人”——无论是凭借家庭纽带、职业技能,还是通过跨国公司资源、签证政策红利。中美关系的波动或许增加了申请难度,但并未关闭大门,关键在于:精准匹配签证类别,提前规划合规路径等等。如需个性化签证方案或政策了解,任何签证办理都可以后台咨询~
关于我们
我司代办服务内容
专业签证顾问全程1对1服务+签证方案评估+材料清单+材料审核翻译+快速进入签证系统提交申请预约时间;
为您省时省力又省心
只需提供中文材料,就能为您处理一切的签证烦恼,帮助您分析优势以及劣势,在资料上做到扬长避短,不画蛇添足,保障您的签证高通过率;
选择寰宇签证的优势
我司从事签证办理15年之久,服务企业客户无数,对每项政策与细节流程了如指掌,凭借多年专业经验,依您具体情况提供精准指导建议,保障您的签证通过率,我司还有众多成功案例为证。
联系我们
微信:HYVISA2018(何小姐)
hyvisa2015(周小姐)
电话:18925103146
18928804816(微信同号)

