关注我们 | 了解医疗器械最新资讯
西格玛医学
1 专业的医疗器械临床服务提供商
2 从设计到统计一站式技术服务商
3 网络化临床试验技术服务提供商1.点估计与区间估计
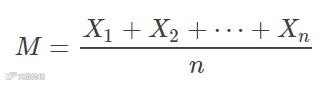
2.中心极限定理与大数定理
3.置信区间与置信水平
4.标准差(standard deviation)与标准误差(standard error)
5.如何理解95%的置信区间
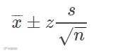
6.计算置信区间的套路
b = 样本均值 + z*标准误差
其中,表示样本的均值,值表示有多少标准差,为样本的方差。
『精彩回顾』
【医疗器械临床研究模版汇总】
5、新版GCP|医疗器械/体外诊断试剂临床试验严重不良事件报告表范本
8、医疗器械动物试验方案模版
【西格玛医学洞见】
1、西格玛医学洞见:医美类医疗器械临床试验的研究设计和操作考量
8、西格玛医学洞见:可降解鼻窦药物支架系统介绍及临床试验设计
11、西格玛医学洞见:摄入空间占据水凝胶胶囊临床试验设计思路
13、西格玛医学洞见:从法规和审评报告分析临床试验单组设计选择的依据(附63份单组设计案例)
23、西格玛医学洞见:近视弱视用激光设备临床试验及设计
【关于我们】
自2009年成立至今,先后更名为南京西格玛咨询中心,南京西格玛医药技术。多年评为江苏高新技术企业,江苏省医疗器械协会会员,通过ISO9001质量体系和多家国内外企业现场认证,和苏州大学,东南大学、南京医科大学成立联合工作站,已成功为遍布25个省份的国内外近千家客户提供专业技术服务,成功完成方案设计撰写、临床监查、数据管理、统计分析、稽查、注册申报等,并建立长期稳定的合作关系。涉及主要的30余个治疗领域,骨科、眼科、肾内科、护理部、整形外科、医疗美容、检验科、ICU、心内科,心外科,病理科、皮肤科等,与全国25个省份近千家医院开展合作,并在国内主要省市设立一站式服务,与全国80%的临床试验机构密切合作,拥有一支稳定并按照国内NMPA、国际标准(ICH-GCP)临床操作的专业团队,具有完整规范详细的标准操作规程(SOP),提供符合NMPA、FDA、EU MDR要求的试验及报告,成功完成NMPA医疗器械Ⅲ类产品临床试验1000余个。项目多次通过国家局、省局和外部审核和稽查。为更好服务和方便客户,我们在全国多个省市开设了上海南格分公司、北京、苏州、西安、长沙、广东等办事处。
地址:江苏省南京市鼓楼区汉中路180号星汉大厦20楼AB座、CD座
电话:025-86210646
手机:同微信13585209568、13913960642
网址:http://www.sigma-stat.com/

