
为了让客户更全面、更及时地了解全球移民政策变动,移民帮每周整理全球移民资讯盘点,以周报的形式发布,欢迎转发。
本周各个国家都发生过哪些大事,移民政策又有什么变动呢?请看内容提要:
俄罗斯总统感谢中国对俄试行免签,表示将采取对等措施
加拿大快速通道法语类别发放邀请,分数线446分
加拿大快速通道经验类别新一轮抽选,分数高位运行
2025–26财年澳洲永久移民配额维持18.5万
2025财年美国EB-2年度配额已用尽
10月1日起美国拟征250美元“签证保证金”
圣基茨投资入籍政策放宽,取消学历要求、子女年龄放宽至30岁
超3.8万中国人持有希腊居留签证
新加坡成为全球首个共享诈骗数据的政府机构

点击图片进入“智能移民”,15秒帮您解决各类问题,让身份规划变得更轻松
俄罗斯总统感谢中国对俄试行免签,表示将采取对等措施
据俄罗斯卫星通讯社和塔斯社当地时间9月4日消息,俄罗斯总统普京表示,中国将对俄罗斯公民试行免签政策是一个意义重大的决定,并表达了感谢。
报道称,普京表示中方的免签政策将“影响数十万甚至数百万俄罗斯公民”,对中方领导人表示感谢,并透露“俄罗斯将会以同样的方式回应中方的这一友好举动”。
为进一步便利中外人员往来,中方决定扩大免签国家范围,自2025年9月15日至2026年9月14日,对俄罗斯持普通护照人员试行免签政策。俄罗斯持普通护照人员来华经商、旅游观光、探亲访友、交流访问、过境不超过30天,可免办签证入境。
加拿大快速通道法语类别发放邀请,分数线446分
2025年9月4日,加拿大快速通道法语类别(French Category-based Draw) 再次开放邀请:
CRS分数线:446分;
邀请人数:4500人。
*并列规则:若同分,截止到 2025年6月16日 提交EE档案的申请人优先 。
这已经是2025年的第5次法语类别抽选。回顾一下今年的走势:
2月19日:6500人,分数约428;
3月6日:4500人,分数410;
3月21日:7500人,分数379(全年最低);
8月8日:2500人,分数481(全年最高);
9月4日:4500人,分数446。
累计下来,今年加拿大联邦法语类别已经邀请了约2.55万人。前几轮分数低、名额大,进入夏季后名额收紧、分数上涨。整体趋势显示:法语通道仍在强力倾斜,但竞争越来越激烈。
加拿大快速通道经验类别新一轮抽选,分数高位运行
2025年9月3日,加拿大EE快速通道进行了新一轮的抽分!CEC经验类移民的候选人有资格获得本轮邀请。IRCC向1000名候选人发出邀请,候选人的综合排名系统(CRS) 分数,至少需要达到534才会被考虑。
值得一提的是,本轮抽分的最低获邀分数与受邀人数,均与上一次(8月7日)保持不变。截止9月1日,EE候选池内还有25,123名501-600分的候选人。
2025–26财年澳洲永久移民配额维持18.5万
2025财年美国EB-2年度配额已用尽
《移民与国籍法》(INA)规定,每个财年就业类优先移民签证的发放数量有限。其中,INA第203(b)(2)条明确,EB-2类别的年度配额为全球就业类总限额的28.6%。
由于2025财年的EB-2签证已全部发放完毕,在本财年剩余时间内,各使领馆将无法再签发此类别的签证。新的财年将于2025年10月1日开始,届时EB-2的年度配额将重新启用。
10月1日起美国拟征250美元“签证保证金”
美国政府近日通过一项签证改革措施,宣布:自2025年10月1日起,将对所有非移民签证申请人统一收取250美元“签证保证金”(Visa Integrity Fee)。
这一额外费用将与现有签证费用相累加,致使部分申请人的总费用攀升至442美元,此举也使得美国跻身全球签证成本最高的国家。
据悉,新增的这笔签证诚信费并非对原有签证费用的替代,也不会对现有签证申请流程产生任何影响,诸如DS-160表格填写、指纹采集费以及互惠费等项目仍将按原规定收取。
美方官方明确指出,该笔费用将用于加强美国签证政策和边境安全的执行和管理。
美国移民委员会策略主管Jorge Loweree强调,这项新增的收费政策“极有可能大幅削弱众多原本计划赴美旅游或工作人士的签证申请积极性”,尤其是考虑到严苛的退款条款,这无疑会给许多赴美计划者增添沉重的经济压力。
新西兰AEWV签证流程优化,有望加快处理速度
新西兰移民局(INZ)于2025年9月2日正式宣布,自9月29日起,认证雇主工作签证(Accredited Employer Work Visa,AEWV)的核心环节——“工作岗位核查”(Job Check)将进行全面改革,旨在提升移民体系的效率与透明度。
作为AEWV签证流程的核心,Job Check承担着多项关键验证职能,包括确认岗位真实存在、确保薪酬符合市场标准、审核雇佣条件合理性,以及核查雇主是否已优先考虑新西兰本地劳动力。此次改革正是针对这一重要环节的优化升级。
主要变化包括:
提供更清晰的填写指引,帮助雇主准确理解并完成申请;
新增内置检查功能,确保必填信息完整后方可提交;
优化流程,简化表格结构,并与最新移民政策保持一致。
移民局表示,新版表格在设计时充分吸收了移民工作人员、顾问、雇主及常用用户的反馈意见,力求更加实用和友好。改革有望加快处理速度,减少延误,使符合要求的雇主更高效完成审批。
新版系统还要求雇主在申请初始阶段提供更多补充信息,例如岗位需求原因、企业规模以及现有新西兰员工数量(大型企业可提供大致数据)。这些信息将有助于移民局更全面地理解企业背景和岗位设立理由,从而提升审核效率。
旧系统内的草稿申请将在9月29日新系统上线后失效。雇主必须在2025年9月28日(星期日)上午8点前提交旧版申请,否则需在新系统中重新填写。
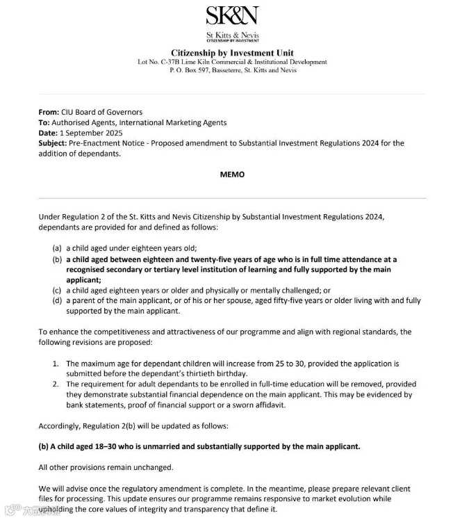
圣基茨投资入籍政策放宽,取消学历要求、子女年龄放宽至30岁
9月1日,圣基茨和尼维斯宣布了一项通知,扩大了其《2024年重大投资入籍条例》中受抚养人的定义。这一变化能够更好地满足全球家庭的需求,有助于降低成本,增强了圣基茨和尼维斯投资入籍计划在加勒比区域内的竞争力。
圣基茨投资入籍部门 (CIU) 此次推出了两项重大更新:
1、扩大受养子女的年龄
此前,圣基茨投资入籍项目中受养子女的年龄上限为25岁。现在,该计划接收受抚养子女的年龄上限为30岁,允许在子女30岁生日之前提交申请。
2、取消成年子女必须全日制在读的要求
该计划不再要求成年子女必须接受全日制教育。取而代之的是,CIU接受经济依赖证明,例如银行对账单、宣誓书或经济支持证明。
新规则下,主申请人可以携带的子女定义为:30岁以下,未婚且由主申请人提供主要经济资助的子女。其他受抚养类别的定义均保持不变。
现在,家庭申请可以纳入不再符合传统学生类别的子女,如果30岁以下的成年子女在经济上依赖主申请人,现在也有资格纳入申请。
圣基茨的这一调整可以帮助家庭在初始申请中纳入年长受抚养人,降低成本,并避免多次申请的复杂性,提升了该计划在加勒比区域内的竞争力。
超3.8万中国人持有希腊居留签证
希腊的合法移民人数在不断增加,根据移民与庇护部截至2025年7月31日的最新数据,希腊共有901,536名合法移民,包括欧盟公民、希腊侨民、第三国公民以及获认可的难民。
数据显示,目前持有效居留许可合法居住在希腊的中国公民共有38,596人,占在希腊的第三国公民的7.6%。
希腊吸引了大量“黄金签证”投资者。最新统计显示,全国共有23,221名黄金签证投资者。这些投资者的家庭成员总计达到42,035人,这意味着目前在希腊因黄金签证而居住的人口总数超过65,000人。
中国公民在黄金签证持有人中位居首位,其次是土耳其人和俄罗斯人,近年黎巴嫩等国投资者增多。
新加坡成为全球首个共享诈骗数据的政府机构
关于移民帮
如需了解全球移民申请条件、优势、办理周期等更多问题,欢迎账号内私信,或拨打400-085-6660,或添加移民帮资深顾问微信直接咨询。
移民帮——作为中国“全球财富生活规划平台”,用专业、严格、高效的服务标准,为中国高端财富家庭及个人定制:全球身份规划、国际教育咨询、海外房产投资、保险及保障咨询、海外税务规划、全球资产配置等全方位的财富管理综合服务。
点击【阅读原文】,一键评估适合你的移民目的地






