要点速览
498个来自中国人群的面部微生物样本
年龄与皮肤分型以及面部微生物群组代谢活动具有显著相关性
不同生活习惯对面部微生物群组成的影响程度与皮肤分型之间具有相关性
我们面部皮肤寄居着数以百万计的微生物,它们通过调节皮肤免疫、抑制病原体入侵和维持皮肤生理状态来影响皮肤表型。不同个体之间、同一个体不同年龄阶段,面部微生物群的组成都会有差异。
一项多中心研究深入分析了中国人群面部微生物群的多样性和特征,探讨年龄、皮肤生理指标、生活方式等多种因素对面部微生物群构成的影响。该研究题为“Integrated analysis of facial microbiome and skin physio-optical properties unveils cutotype-dependent aging effects”,于2024年发表在Microbiome杂志上。
研究招募了来自中国三个不同地区的479名志愿者,共收集了498个面部皮肤样本,并利用先进的仪器评估了皮肤的生理光学特性。分析识别了两种皮肤类型,探究了年龄和皮肤特性如何影响面部微生物群,开发了基于微生物群的面部衰老指数(Facial Aging Index,FAI),并分析了不健康生活方式对FAI的影响以及与衰老相关的微生物代谢途径。
1. 相对更高性能的面部微生物数据集——FMGC
为了更准确地表征皮肤微生物样本,研究者构建了一个新的,更具有广泛适用性和准确性的面部微生物群基因组汇编,FMGC(Facial Microbiome Genome Compendium)。同时,从中新发现的30%左右的基因组对于进一步了解面部微生物群的多样性和功能具有重要意义。
图2 不同来源的面部宏基因组测序数据与FMGC、SMGC和UHSG的MAGs的映射率比较
2. 年龄是影响面部微生物群组成的重要因素
根据FMCG,研究者统计总结了2种皮肤分型,痤疮丙酸杆菌型(C-cutotype,下文称C型)和链球菌型(S-cutotype,下文称S型)。
通过研究参与者元数据(如年龄等)以及皮肤生理光学特征(如水分、皮脂水平等)对面部微生物群组成的影响,研究者发现年龄、皮肤水分和皮脂水平是关键因素。
随着年龄的增长和皮肤水分的增加,C型皮肤的受试者人数比例逐渐下降,而皮脂水平升高则使其比例增加,S型则相反(图3左)。
此结果可简单理解为,年龄较高的受试者中C型皮肤占多数,年龄较小的受试者中S型皮肤占多数。除此分布之外,更深入的中介分析结果揭示年龄对面部微生物群的群落结构具有较显著且直接的影响(图3右)。
图3 左:当根据年龄、水分和皮脂分布情况将其均匀分组时,观察到的不同皮肤类型的比例;右:中介分析结果显示年龄与面部微生物的群落结构具有显著相关性
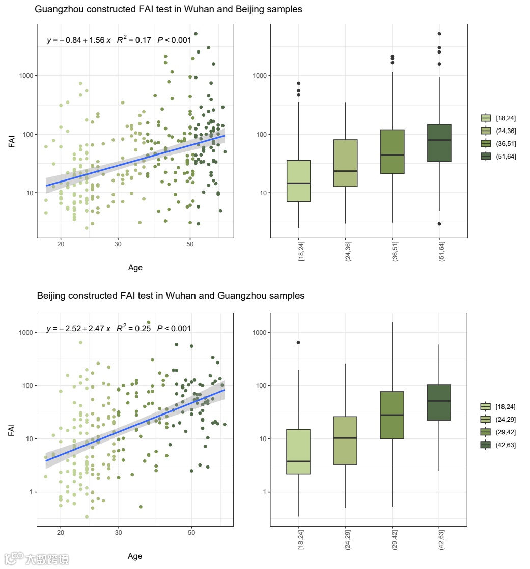
3. FAI——基于微生物群的面部年龄指数
由于年龄显示出了瞩目的显著性,为了评估年龄对面部微生物群的影响,研究者开发了一个基于微生物群的FAI,用以评估个体的皮肤衰老程度。FAI分数越高,表示皮肤衰老程度越高。
图4 FAI指数的方法学验证
4. 不同生活习惯对面部微生物群组成的影响
研究团队在研究不同生活方式对面部微生物群的影响时,发现在排除年龄因素的影响后, 与不化妆组相比,C型和S型皮肤的受试者化妆组的FAI残差均升高(图5)。熬夜组也呈现类似趋势,但相对于S型皮肤,在C型皮肤中表现得更为明显。
这意味着不同生活习惯对皮肤状态的影响程度与个体原本的皮肤分型有相关性。
同时,因为C型皮肤的受试者中以年轻人居多,因此研究人员认为熬夜对年轻人的面部微生物群组成影响,比对中老年人更大。
图5 具有/不具有某些生活习惯和不同皮肤类型的参与者之间整体微生物群结构的差异(左为化妆组,右为熬夜组)
5. 年龄增长以及不健康生活方式对面部微生物代谢的影响
年龄对面部微生物群的影响,还不止于只影响其组成。研究揭示,年龄与加速皮肤老化的代谢通路丰度呈正相关相关性,即在老年受试者群体中可以观察到相对更多的加速皮肤老化的微生物途径,如炎症、烟酰胺腺嘌呤二核苷酸(NAD)消耗、以及氧化/糖基化相关的微生物途径。相反,在年轻受试者群体中则观察到更多与抗衰老、抗氧化相关的途径(图6)。上述现象在两种分型的皮肤中皆有出现。
微生物代谢途径丰度的变化不仅与年龄有关,还受到生活方式的影响。研究人员发现化妆和熬夜与衰老相关的微生物代谢途径呈正相关的关系(图6)。
图6 皮肤衰老的分子途径及其与不良生活习惯之间的关联
综上所述,随着年龄的增长,皮肤水分、皮脂水平、光泽、弹性等物理光学特性会发生显著变化,同时面部微生物群的组成也会随之而改变。这些变化的表征与皮肤类型密切相关,不同类型的皮肤在衰老过程中表现出不同的微生物组成和代谢通路变化。
这些发现为理解皮肤微生态提供了新的视角,以更深入地探索面部微生物群的奥秘。



