点击上方蓝字
关注易米景,了解更多信息
Tips:
水准测量又名“几何水准测量”,是用水准仪和水准尺测定地面上两点间高差的方法。由于水准测量的精度要求较高,因而对误差的控制就较为严格。本期主要讨论水准测量的误差及注意事项,为大家提供参考意见。
本期讲师
邓宝林
高级技术工程师
主要研究方向:摄影测量与遥感
01
仪器误差
校正残余误差
视准轴i角误差大于20″需校正。
用“前后距相等或相近”的方法予以消除或削弱。
水准尺误差
(1)检验水准尺每米间隔平均真长与名义长之差;
区格式木质标尺,不应大于0.5mm,否则,应在所测高差中进行米真长改正。
(2)一对水准尺的零点差。
在一水准测段的观测中将测站数布置成偶数,仪器和前后标尺应尽量在一条直线上。
02
观测误差
气泡居中误差
影响:视线越长,影响越大。
消减:认真检查气泡符合(惯性)限制视线长度<50m。
估读误差(估读mm不准)
影响:视差估读,放大倍率。
消除:注意消除视差,对称比较。
水准尺倾斜误差(扶尺没有扶正)
影响:读数偏大,视线越高,影响越大。
消减:尺上装水准器,正确扶尺姿势;摇尺法读数,前后仰俯读最小数。
03
外界条件影响
仪器下沉和标尺尺垫下沉的影响
影响:与测站所在土质有关,与观测时间长短有关。
消减:
①转点和测站选在坚实地面,踩紧尺垫与脚架②缩短观测时间;③注意手不按仪器,不读数时尺放大;④采用往返测,观测程序如下:
往测奇数站的观测程序为“后前前后”
往测偶数站的观测程序为“前后后前”
返测奇数站的观测程序为“前后后前”
返测偶数站的观测程序为“后前前后”
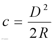
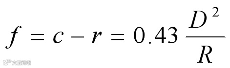
地球曲率和大气折光的影响
(1)曲率影响
b——水平线,a’b——水准线。
对高差:
消除:保持前后视距相等。
(2)大气折光影响
空气密度不匀引起折光,视线非直线。
数字水准仪是根据条码影像在探测器上的位置和比例进行测量的,CCD的物理特性决定其在光线过强或过弱、条码标尺表面光照不均匀、观测瞬间强光闪烁、外界热闪烁等情况下,都会大大降低标尺成像的对比度,也会造成局部失真,这将造成测量误差,甚至无法读数。
影响:与曲率影响类似,视线向下弯曲(下层空气密度大)。
地面起伏大,影响大,视线距地面近,影响大;中午影响大,视线长影响大。其值:
综合考虑:
消减:①保持前后视距相等(可抵消大部分);②选择有利观测时间;③限制视线长度;④控制视线长度。
气候的影响
影响:太阳暴晒,风吹,气温变化等。
消减:打伞遮阳,风太大不宜测。
本文图片素材均来源于网络,如有侵权,请联系告知
企业介绍
Company profile
武汉易米景科技有限公司是一家致力于“生产信息化、遥感智能化、测绘场景化”的高科技企业,公司旗下的武汉追月信息技术有限公司已获得甲级测绘资质、高新技术企业认定。
公司以遥感人工智能为核心,为测绘地理信息企业用户提供空间地理数据处理服务和遥感智能解译平台服务,为行业用户提供场景化地理信息服务。
右边点在看 给我一朵小花花

