▎药明康德内容团队编辑
甲状腺癌是全球常见高发癌种之一,而且过去几十年来发病率不断攀升。最新一期《柳叶刀-糖尿病及内分泌学》发表了世界卫生组织国际癌症研究机构(IARC)学者领衔的研究,分析了包括中国在内全球25个国家主要亚型甲状腺癌的发病趋势。
数据显示,中国所有主要甲状腺癌亚型发病率都显著增加;与此同时,包括中国内在,低风险甲状腺乳头状癌在全球都普遍快速增加,提示了过度诊断的风险。

截图来源:The Lancet Diabetes & Endocrinology
不同组织学亚型的甲状腺癌的发病率和临床表现存在广泛的异质性。比如,甲状腺乳头状癌最常见且大多为局限性、无症状,也有一部分会出现转移、更晚期;甲状腺髓样癌和未分化型甲状腺癌较为罕见但侵略性强,容易扩散。
为了更全面比较甲状腺癌主要组织学亚型的发病趋势和地理特点,这项研究分析了IARC统计的1998-2012年期间的20-84岁人群甲状腺癌发病率数据。研究所选择的25个国家/地区,都拥有覆盖超过200万人口的癌症登记数据,且登记数据中超过90%的甲状腺癌具有分型信息。

图片来源:123RF
总体而言,甲状腺乳头状癌是所有研究国家中的最主要甲状腺癌亚型,而且是在所有研究国家发病率都普遍增加的唯一亚型。
2008–2012年间,在女性中,甲状腺乳头状癌的年龄标准化发病率在荷兰、英国和丹麦约为4.3例~5.3例/10万人-年(占所有甲状腺癌70%),而在韩国则高达143.3例/10万人-年(占所有甲状腺癌96%)。同一时期,男性甲状腺乳头状癌的年龄标准化发病率在1.2例-30.7例/10万人-年。在中国,女性和男性中的年龄标准化发病率分别为25.8例/10万人-年和8.66例/10万人-年。
在亚洲多国,2000年后女性甲状腺乳头状癌的发病率上升尤为明显。中国女性中的增幅(+24.4例/10万人-年)为第二高,仅次于韩国(+125例/10万人-年)。欧美国家这一数据则在2009年左右开始趋于稳定。

▲1998-2012年,甲状腺乳头状癌(蓝线)的年龄标准化发病率相较于其他亚型快速增加(图片来源:参考资料[1])
全球甲状腺滤泡状癌的发病率增幅低于甲状腺乳头状癌,2008-2012年期间年龄标准化发病率在女性中为0.53例~2.52例/10万人-年,在男性中为0.3例~1.5例/10万人-年。在中国女性和男性中分别为0.77例/10万人-年和0.26例/10万人-年。值得注意的是,中国也是甲状腺滤泡状癌发病率不断上升的国家之一。
甲状腺髓样癌的年龄标准化发病率在男性和女性中都始终低于1例/10万人-年。大多国家也都出现了降幅。
与其他亚型相比,最严重的未分化型甲状腺癌发病率地域差距不大。在所有25个研究国家中,未分化型甲状腺癌占所有甲状腺比例都不超过5%,在其中20个国家中不超过2%。而且,在1998–2012年间,25个国家中有21个国家的未分化型甲状腺癌发病率略有下降,包括在那些甲状腺乳头状癌发病率显著增加的国家也是如此。2008-2012年期间,未分化型甲状腺癌发病率在男性和女性中都始终低于0.2例/10万人-年。
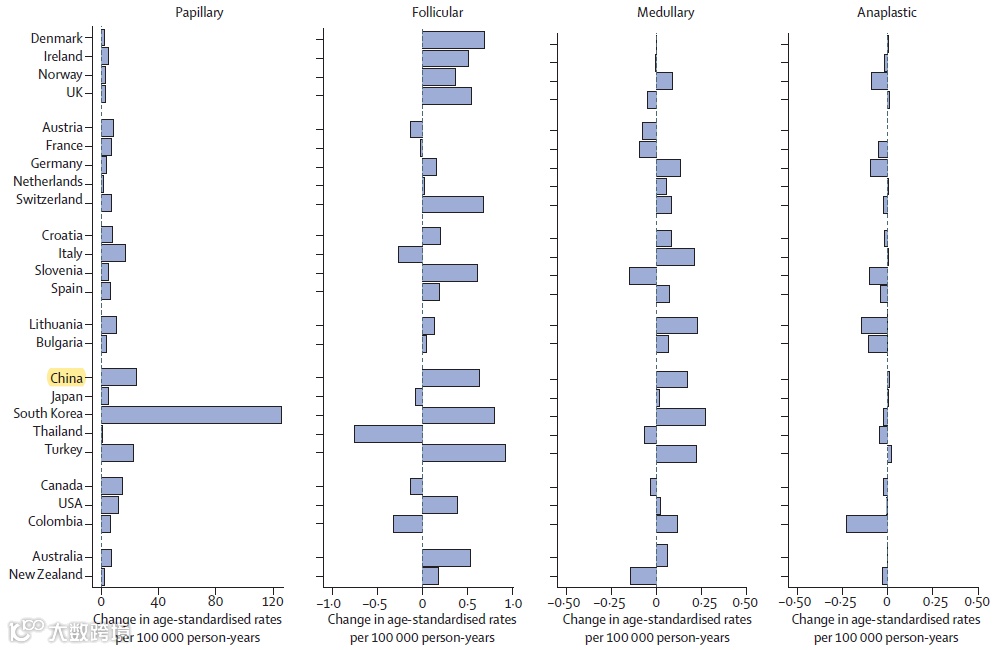
然而,与大多国家的降幅相反,甲状腺滤泡状癌和未分化型癌在中国的发病率仍然是上升的。论文特别指出,中国和土耳其,是1998-2002年至2008-12年间所有甲状腺癌主要亚型都持续增加的唯二国家。

▲1998-2012年各国不同甲状腺癌亚型年龄标准化发病率的绝对变化(从左往右为乳头状癌、滤泡状癌、髓样癌和未分化型癌)(图片来源:参考资料[1])
从发病特定年龄来看,在女性中,只有甲状腺乳头状癌在不同年龄的发病率表现出了明显的倒U型,35-39岁前后发病率最高;而恶性程度最高的未分化型甲状腺癌,在绝大多数国家都是随着年龄增长而发病率增高。在男性中,甲状腺乳头状癌与年龄同样呈倒U型,其他亚型的发病率都随着年龄增长而增加,在70岁后达到峰值。
研究团队表示,这可能是由于在中年人群中进行了严格的甲状腺检查,如超声检查或CT扫描,从而发现了大量的甲状腺乳头状癌。尸检研究显示,在所有年龄段中,有4%-11%的人存在亚临床无症状甲状腺肿瘤,并且这一比例随着时间推移没有明显变化。而其他甲状腺癌亚型随着年龄增长而发病增加,这与超声和其他诊断技术广泛应用前的甲状腺癌历史数据是相似的。

▲1998-2012年,女性在不同年龄段的不同甲状腺癌亚型发病率(深蓝色-乳头状癌、绿色-滤泡状癌、紫色-髓样癌、红色-未分化型癌)
2016年《新英格兰医学杂志》曾发表研究指出,1998-2012年间,韩国超过90%和中国87%的甲状腺癌都与过度诊断有关。研究团队认为,结合其他证据,这项研究进一步表明了不建议在无症状人群中进行甲状腺癌筛查。
与此同时,研究数据反映一些国家2009年后甲状腺癌发病率有所稳定,可能是由于诊断指南的推荐更为保守了,以及人们对过度诊疗的关注度不断提高,医生和患者更充分讨论了低风险微肿瘤的治疗利弊。
整体而言,研究团队表示,这些数据阐明了多种主要亚型甲状腺癌的流行病学,而且证实了甲状腺癌越来越多主要是由于甲状腺乳头状癌的快速增加,而这一亚型通常是因过度检测而以亚临床形式被发现的。
Nature综述:甲状腺癌越来越多,中国特色的危险因素你知道吗?
甲状腺癌:确实发病增加,还是过度诊断?《柳叶刀》子刊封面文章带来美国数据启示
参考资料
[1] Adalberto Miranda-Filho, et al., (2021). Thyroid cancer incidence trends by histology in 25 countries: a population-based study. The Lancet Diabetes & Endocrinology, DOI:https://doi.org/10.1016/S2213-8587(21)00027-9
注:本文旨在介绍医药健康研究进展,不是治疗方案推荐。如需获得治疗方案指导,请前往正规医院就诊。
版权说明:本文来自药明康德微信团队,欢迎个人转发至朋友圈,谢绝媒体或机构未经授权以任何形式转载至其他平台。转载授权请在「医学新视点」微信公众号后台回复“转载”,获取转载须知。
如有其他合作需求,请联系wuxi_media@wuxiapptec.com

点“在看”,分享医学新知

