2024年05月进出口贸易数据
2024年5月份我国进出口总值5,220.7亿美元,与今年4月份比较环比增长2.0%,与去年5月份比较环比增长5.1%;出口方面,5月出口金额3,023.5亿美元,与今年4月份比较环比增长3.5%,与去年5月份比较同比增长7.6%;进口方面,5月进口金额2,197.3亿美元,与今年4月份比较环比减少0.1%,与去年5月份增长1.8%。货物贸易顺差为826.2亿美元,1至5月累计3,372.1亿美元。
01
商务部 海关总署 中央军委装备发展部公告2024年第21号 关于对有关物项实施出口管制的公告
网址
02
海关总署公告2024年第64号(关于修订《〈中华人民共和国海关稽查条例〉实施办法》所涉及法律文书格式的公告)
发布日期:2024年5月24日;
生效日期:2024年7月24日;
根据《中华人民共和国行政复议法》(中华人民共和国主席令2023年第九号公布),海关总署对海关总署公告2016年第61号(关于公布《〈中华人民共和国海关稽查条例〉实施办法》所涉及法律文书格式的公告)附件7、8、12法律文书进行了修订,修订后的法律文书格式见附件。
附件:1.查封/扣押决定书、2.延长查封/扣押期限决定书、3.稽查结论
网址
03
海关总署公告2024年第66号(关于加工贸易账册整合优化的公告)
发布日期:2024年5月31日 ;
生效日期:2024年5月31日;
为进一步提升海关加工贸易监管与服务水平,简化管理模式,降低管理成本,海关总署决定开展加工贸易账册整合优化工作,将加工贸易联网监管模式和以企业为单元监管模式整合统一为“加工贸易账册”管理模式。现就加工贸易账册整合有关事项公告如下:
一、统一新设加工贸易账册类型
自2024年7月1日起,加工贸易企业新设立账册通过国际贸易“单一窗口”或“互联网+海关”一体化网上办事平台设立金关二期加工贸易账册,“账册类型”填报“E账册”,海关按照现行加工贸易企业联网监管有关规定执行。不再新设“以企业为单元”类型账册。
二、原有“以企业为单元”账册可继续使用
加工贸易企业前期已设立的“以企业为单元”账册(即“账册类型”为“以企业为单元”)可继续使用。原有“以企业为单元”账册企业可根据实际需求新设金关二期加工贸易账册,按规定办理剩余料件结转手续和原账册注销手续。
网址
04
商务部公告2024年第17号 关于对原产于印度的进口氯氰菊酯进行反倾销立案调查的公告
发布日期:2024年5月7日;
生效日期:2024年5月7日;
中华人民共和国商务部(以下简称商务部)于2024年4月2日收到江苏扬农化工股份有限公司(以下称申请人)代表中国氯氰菊酯产业正式提交的反倾销调查申请,申请人请求对原产于印度的进口氯氰菊酯进行反倾销调查。商务部依据《中华人民共和国反倾销条例》有关规定,对申请人的资格、申请调查产品的有关情况、中国同类产品的有关情况、申请调查产品对中国产业的影响、申请调查国家的有关情况等进行了审查。
根据申请人提供的证据和商务部的初步审查,申请人氯氰菊酯产量在2019年、2020年、2021年、2022年和2023年占同期中国同类产品总产量的50%以上,符合《中华人民共和国反倾销条例》第十一条和第十三条有关中国产业提出反倾销调查申请的规定。同时,申请书中包含了《中华人民共和国反倾销条例》第十四条、第十五条规定的反倾销调查立案所要求的内容及有关证据。
根据上述审查结果,依据《中华人民共和国反倾销条例》第十六条的规定,商务部决定自2024年5月7日起对原产于印度的进口氯氰菊酯进行反倾销立案调查。现将有关事项公告如下:
一、立案调查及调查期
自本公告发布之日起,商务部对原产于印度的进口氯氰菊酯进行反倾销立案调查,本次调查确定的倾销调查期为2023年1月1日至2023年12月31日,产业损害调查期为2019年1月1日至2023年12月31日。
二、被调查产品及调查范围
调查范围:原产于印度的进口氯氰菊酯
被调查产品名称:氯氰菊酯
英文名称:Cypermethrin,也称Cypermethrin technical,Cipermethrin
分子式:C22H19CL2NO3
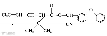
化学结构式:

物理化学特性:氯氰菊酯是重要的拟除虫菊酯类杀虫剂,外观通常呈黄色至棕色粘稠液体或有结晶的半固体,具有触杀和胃毒作用,杀虫谱广。
主要用途:氯氰菊酯主要用于生产高效氯氰菊酯、杀虫剂制剂等,广泛应用在农业、卫生等领域,用于棉花、果树、蔬菜、烟草、玉米、花卉等害虫防治。
该产品归在《中华人民共和国进出口税则(2023)》:29269090。该税则号项下的其他产品不在本次调查范围之内。
三、登记参加调查
利害关系方应于本公告发布之日起20天内,向商务部贸易救济调查局登记参加本次反倾销调查。参加调查的利害关系方应根据《登记参加调查的参考格式》提供基本身份信息、向中国出口或进口本案被调查产品的数量及金额、生产和销售同类产品的数量及金额以及关联情况等说明材料。《登记参加调查的参考格式》可在商务部网站贸易救济调查局子网站下载。
利害关系方登记参加本次反倾销调查,应通过“贸易救济调查信息化平台”(https://etrb.mofcom.gov.cn)提交电子版本,并根据商务部的要求,同时提交书面版本。电子版本和书面版本内容应相同,格式应保持一致。
本公告所称的利害关系方是指《中华人民共和国反倾销条例》第十九条规定的个人和组织。
四、查阅公开信息
利害关系方可在商务部网站贸易救济调查局子网站下载或到商务部贸易救济公开信息查阅室(电话:0086-10-65197878)查找、阅览、抄录并复印本案申请人提交的申请书的非保密文本。调查过程中,利害关系方可通过相关网站查询案件公开信息,或到商务部贸易救济公开信息查阅室查找、阅览、抄录并复印案件公开信息。
五、对立案的评论
利害关系方对本次调查的产品范围及申请人资格、被调查国家及其他相关问题如需发表评论,可于本公告发布之日起20天内将书面意见提交至商务部贸易救济调查局。
六、调查方式
根据《中华人民共和国反倾销条例》第二十条的规定,商务部可以采用问卷、抽样、听证会、现场核查等方式向有关利害关系方了解情况,进行调查。
为获得本案调查所需要的信息,商务部通常在本公告规定的登记参加调查截止之日起10个工作日内向利害关系方发布调查问卷。利害关系方可以从商务部网站贸易救济调查局子网站下载调查问卷。
《氯氰菊酯反倾销案国外出口商或生产商调查问卷》询问信息包括公司的结构和运作、被调查产品、对中国的出口销售、国内销售、经营和财务等相关信息、生产成本和相关费用、估算的倾销幅度及核对单等内容。《氯氰菊酯反倾销案国内生产者调查问卷》询问信息包括公司基本情况、同类产品情况、经营和相关信息、财务和相关信息、其他需要说明的问题等内容。《氯氰菊酯反倾销案国内进口商调查问卷》询问信息包括公司基本情况、被调查产品贸易和相关信息等内容。
利害关系方应在规定时间内提交完整、准确的答卷。答卷应当包括调查问卷所要求的全部信息。
网址
05
关于原产于欧盟、日本、韩国和印度尼西亚的进口不锈钢钢坯和不锈钢热轧板/卷反倾销措施再调查裁定的公告
发布日期:2024年5月8日;
生效日期:2024年5月8日;
根据《中华人民共和国反倾销条例》(以下简称《反倾销条例》)以及商务部《执行世界贸易组织贸易救济争端裁决暂行规则》(以下简称《执行争端裁决暂行规则》)的规定,2023年11月9日,商务部(以下称调查机关)发布2023年第46号公告,决定通过再调查执行世界贸易组织争端解决机构关于日本诉中国不锈钢产品反倾销措施案专家组报告的裁决和建议。
在案件原审和再调查各利害关系方提交的证据材料及调查机关收集的证据材料基础上,根据专家组报告裁决和建议,调查机关对原反倾销措施国内产业认定、倾销进口产品对国内产业同类产品价格的影响、倾销进口产品与国内产业损害之间的因果关系、其他已知因素对国内产业的影响等问题进行再调查。根据再调查结果并依据《反倾销条例》和《执行争端裁决暂行规则》的规定,调查机关作出再调查裁定(见附件)。现将有关事项公告如下:
一、再调查裁定
调查机关裁定,在原审调查期内,原产于欧盟、日本、韩国和印度尼西亚的进口不锈钢钢坯和不锈钢热轧板/卷的倾销行为导致中国国内不锈钢钢坯和不锈钢热轧板/卷产业受到实质损害,倾销与实质损害之间存在因果关系。调查机关决定,继续按照商务部2019年第31号公告实施反倾销措施。
二、行政复议和行政诉讼
对本案再调查裁决的决定不服的,根据《反倾销条例》第五十三条的相关规定,可以依法申请行政复议,也可以向人民法院提起诉讼。
网址
06
商务部公告2024年第18号 关于对原产于欧盟、美国、台湾地区和日本的进口共聚聚甲醛进行反倾销立案调查的公告
发布日期:2024年5月19日;
生效日期:2024年5月19日;
中华人民共和国商务部(以下简称商务部)于2024年4月22日收到云南云天化股份有限公司、国家能源集团宁夏煤业有限责任公司、开封龙宇化工有限公司、兖矿鲁南化工有限公司、唐山中浩化工有限公司、中石油内蒙古新材料有限责任公司(以下称申请人)代表中国大陆共聚聚甲醛产业正式提交的反倾销调查申请,申请人请求对原产于欧盟、美国、台湾地区和日本的进口共聚聚甲醛进行反倾销调查。商务部依据《中华人民共和国反倾销条例》有关规定,对申请人的资格、申请调查产品有关情况、中国大陆同类产品有关情况、申请调查产品对中国大陆产业的影响、申请调查国家(地区)有关情况等进行了审查。
根据申请人提供的证据和商务部的初步审查,申请人共聚聚甲醛产量在2021年、2022年和2023年占同期中国大陆同类产品总产量50%以上,符合《中华人民共和国反倾销条例》第十一条和第十三条有关中国大陆产业提出反倾销调查申请的规定。同时,申请书中包含了《中华人民共和国反倾销条例》第十四条、第十五条规定的反倾销调查立案所要求的内容及有关证据。
根据上述审查结果,依据《中华人民共和国反倾销条例》第十六条的规定,商务部决定自2024年5月19日起对原产于欧盟、美国、台湾地区和日本的进口共聚聚甲醛进行反倾销立案调查。现将有关事项公告如下:
一、立案调查及调查期
自本公告发布之日起,商务部对原产于欧盟、美国、台湾地区和日本的进口共聚聚甲醛进行反倾销立案调查,本次调查确定的倾销调查期为2023年1月1日至2023年12月31日,产业损害调查期为2021年1月1日至2023年12月31日。
二、被调查产品及调查范围
调查范围:原产于欧盟、美国、台湾地区和日本的进口共聚聚甲醛
被调查产品名称:共聚聚甲醛,又称聚氧亚甲基共聚物,或聚氧化甲烯共聚物
英文名称:
Polyformaldehyde Copolymer,或Polyoxymethylene Copolymer,或Copolymer-type Acetal Resin,或Acetal Copolymer等,英文名称通常被简称为POM Copolymer
化学分子式:-[CH2-O]n-[CH2-O-CH2-CH2]m-(n>m)
物理化学特性:
共聚聚甲醛是由甲醛合成的,具有-CH2-O-主链及-[CH2-O-CH2-CH2]-嵌键(按重量计-CH2-O-含量大于50%)的热塑性树脂,且同时满足以下各项性能指标:
主要用途:共聚聚甲醛具有机械强度高、高耐疲劳性、高耐蠕变性等良好的力学综合性能,可以部分替代铜、锌、锡、铅等金属材料,可直接用于或经改性后用于汽车配件、电子电器、工业机械、日常用品、运动器械、医疗器具、管道管件、建筑建材等领域。
该产品归在《中华人民共和国进出口税则(2023)》:39071010、39071090。这两个税则号项下的均聚聚甲醛、改性聚甲醛等其他产品不在本次调查范围之内。
三、登记参加调查
利害关系方应于本公告发布之日起20天内,向商务部贸易救济调查局登记参加本次反倾销调查。参加调查的利害关系方应根据《登记参加调查的参考格式》提供基本身份信息、向中国大陆出口或进口本案被调查产品的数量及金额、生产和销售同类产品的数量及金额以及关联情况等说明材料。《登记参加调查的参考格式》可在商务部网站贸易救济调查局子网站下载。
利害关系方登记参加本次反倾销调查,应通过“贸易救济调查信息化平台”(https://etrb.mofcom.gov.cn)提交电子版本,并根据商务部的要求,同时提交书面版本。电子版本和书面版本内容应相同,格式应保持一致。
本公告所称的利害关系方是指《中华人民共和国反倾销条例》第十九条规定的个人和组织。
四、查阅公开信息
利害关系方可在商务部网站贸易救济调查局子网站下载或到商务部贸易救济公开信息查阅室(电话:0086-10-65197878)查找、阅览、抄录并复印本案申请人提交的申请书的非保密文本。调查过程中,利害关系方可通过相关网站查询案件公开信息,或到商务部贸易救济公开信息查阅室查找、阅览、抄录并复印案件公开信息。
五、对立案的评论
利害关系方如需对本次调查的产品范围及申请人资格、被调查国家(地区)及其他相关问题发表评论,可于本公告发布之日起20天内将书面意见提交至商务部贸易救济调查局。
六、调查方式
根据《中华人民共和国反倾销条例》第二十条的规定,商务部可以采用问卷、抽样、听证会、现场核查等方式向有关利害关系方了解情况,进行调查。
为获得本案调查所需要的信息,商务部通常在本公告规定的登记参加调查截止之日起10个工作日内向利害关系方发布调查问卷。利害关系方可以从商务部网站贸易救济调查局子网站下载调查问卷。
《共聚聚甲醛反倾销案国外(地区)出口商或生产商调查问卷》询问信息包括公司的结构和运作、被调查产品、对中国大陆的出口销售、国内(地区内)销售、经营和财务等相关信息、生产成本和相关费用、估算的倾销幅度及核对单等内容。《共聚聚甲醛反倾销案中国大陆生产者调查问卷》询问信息包括公司基本情况、同类产品情况、经营和相关信息、财务和相关信息、其他需要说明的问题等内容。《共聚聚甲醛反倾销案中国大陆进口商调查问卷》询问信息包括公司基本情况、被调查产品贸易和相关信息等内容。
利害关系方应在规定时间内提交完整、准确的答卷。答卷应当包括调查问卷所要求的全部信息。
七、信息的提交和处理
利害关系方在调查过程中提交评论意见、答卷等,应通过“贸易救济调查信息化平台”(https://etrb.mofcom.gov.cn)提交电子版本,并根据商务部要求,同时提交书面版本。电子版本和书面版本内容应相同,格式应保持一致。
利害关系方向商务部提交的信息如需保密,可向商务部提出对相关信息进行保密处理的请求并说明理由。如商务部同意其请求,申请保密的利害关系方应当同时提供该保密信息的非保密概要。非保密概要应当包含充分的有意义的信息,使其他利害关系方能对保密信息有合理的理解。如不能提供非保密概要,应说明理由。如利害关系方提交的信息未说明需要保密的,商务部将视该信息为公开信息。
八、不合作的后果
根据《中华人民共和国反倾销条例》第二十一条的规定,商务部进行调查时,利害关系方应当如实反映情况,提供有关资料。利害关系方不如实反映情况、提供有关资料的,或者没有在合理时间内提供必要信息的,或者以其他方式严重妨碍调查的,商务部可以根据已经获得的事实和可获得的最佳信息作出裁定。
九、调查期限
本次调查自2024年5月19日起开始,通常应在2025年5月19日前结束调查,特殊情况下可延长6个月。
网址
07
国务院关税税则委员会关于中止《海峡两岸经济合作框架协议》部分产品(第二批)关税减让的公告
发布日期:2024 年5月30日;
生效日期:2024年6月15日;
台湾地区单方面对大陆产品出口采取歧视性的禁止、限制等措施,违反了《海峡两岸经济合作框架协议》规定。2023年12月21日,国务院关税税则委员会发布税委会公告2023年第9号,中止《海峡两岸经济合作框架协议》部分产品关税减让,但台湾地区仍未采取任何有效措施取消对大陆的贸易限制。
根据《海峡两岸经济合作框架协议》,国务院关税税则委员会发布公告决定进一步中止《海峡两岸经济合作框架协议》部分产品关税减让,自2024年6月15日起,对原产于台湾地区的润滑油基础油等134个税目进口产品,中止适用《海峡两岸经济合作框架协议》协定税率,按现行有关规定执行。清单详见公告附件。
网址
政策解读
08
美国临时延长429项产品301关税排除有效期
发布日期:2024年5月24日;
生效日期:2024年5月24日;
美国时间2024年5月24日,美国贸易代表办公室发布消息:因已发布对华301调查四年期审报告和对华301关税进一步修改及机械等产品排除评论通知,通知中已拟议对某些排除条款的产品排除范围(例如机械、太阳能产品)进一步扩大。为了留出过渡期,美国贸易代表办公室将把目前即将到期的所有排除条款延长至2024年6月14日。(临时延长到期后,请留意后续排除通知)
网址
09
交通运输部关于发布《危险货物道路运输规则 第1部分:通则》等6项交通运输行业标准第1号修改单的公告
发布日期:2024年5月7日;
生效日期:2024年5月7日;
《危险货物道路运输规则 第1部分:通则》等6项交通运输行业标准第1号修改单业经审查通过,现予发布。标准修改单自发布之日起即实施。标准修改单由人民交通出版社股份有限公司出版,并在中华人民共和国交通运输部网站公告。
附件:1.《危险货物道路运输规则 第1部分:通则》(JT/T 617.1—2018)行业标准第1号修改单;
2.《危险货物道路运输规则 第2部分:分类》(JT/T 617.2—2018)行业标准第1号修改单;
3.《危险货物道路运输规则 第3部分:品名及运输要求索引》(JT/T 617.3—2018)行业标准第1号修改单;
4.《危险货物道路运输规则 第4部分:运输包装使用要求》(JT/T 617.4—2018)行业标准第1号修改单;
5.《危险货物道路运输规则 第5部分:托运要求》(JT/T 617.5—2018)行业标准第1号修改单;
6.《危险货物道路运输规则 第6部分:装卸条件及作业要求》(JT/T 617.6—2018)行业标准第1号修改单。
网址
10
国务院办公厅关于印发《国务院2024年度立法工作计划》的通知
发布日期:2024年5月6日;
生效日期:2024年5月6日;
2024年5月6日,国务院办公厅关于印发《国务院2024年度立法工作计划》的通知。国务院坚决贯彻落实党中央决策部署,以高质量立法服务保障党和国家工作大局。围绕加强涉外法治建设,提请全国人大常委会审议仲裁法修订草案、反洗钱法修订草案、对外贸易法修订草案、海商法修订草案。制定两用物项出口管制条例、国际邮轮在中华人民共和国港口靠港补给的规定。预备提请全国人大常委会审议海关法修订草案。预备制定商事调解条例,预备修订对外劳务合作管理条例、对外使用国徽图案的办法。为促进世界和平与发展,积极参与全球治理体系改革和建设,开展有关国际条约审核工作。
拟制定、修订的行政法规:两用物项出口管制条例(商务部起草)
拟提请全国人大常委会审议的法律案:危险化学品安全法草案(应急管理部起草)、对外贸易法修订草案(商务部起草)
网址

声明:本公众平台发布内容(文字、图片及影音等素材)部分来源于网络,转载内容不代表本平台观点,如涉及版权请直接与我们联系。



