点击上方蓝字“源料网”
做塑料是一种态度,做塑料购销平台,我们是专业的!
产品质量控制是聚丙烯生产中至关重要的环节。产品质量的好坏不但影响产品的加工应用,而且还会影响聚丙烯生产本身能否正常进行以及原料动力消耗、生产成本等其他技术经济指标。
聚丙烯树脂的质量指标项目很多,比较重要且一般能检测和实用的质量指标项目主要有等规度、熔融指数、分子量、灰分含量、氯含量、钛含量、挥发分含量、密度、表观密度、拉伸屈服强度、拉伸断裂强度、断裂伸长度、冲击强度(缺口冲击强度和无缺口冲击强度)、热变形温度、维卡软化点温度、脆化温度、硬度、电性能(如电阻系数、击穿电压强度、介质损耗角正切值),对于纺制高强度丙轮丝,无纺布用的纤维级聚丙烯树脂还有凝胶粒子(或“鱼眼”)含量指标和分子量分布指数等。下面就这些质量标准的概念和意义进行简要介绍。

聚丙烯是长链高分子聚合物,它包含有三种不同主体结构,即等规聚丙烯、间规聚丙烯和无规聚丙烯。聚丙烯等规度就是等规度聚丙烯在整个聚合物中含量,用重量百分数表示,等规度也称等规指数。

等规聚丙烯

间规聚丙烯

无规聚丙烯
等规度影响聚丙烯的结晶度,等规度越高,结晶度也越高。结晶度对聚丙烯的许多性能都有影响。在一定范围内,结晶度高,树脂拉伸屈服强度高,硬度大,而冲击强度尤其是低温冲击性能好。这就是无规聚丙烯可作为聚丙烯或其他树脂的冲击性能改性剂的主要原因。
聚丙烯等规度对于纺制丙纶纤维时的成丝性能和纤维的质量有明显的影响。等规度高,结晶性好,对成丝性能和丝的质量有益。
聚丙烯等规度除了影响制品性能外,还影响树脂的加工性能。等规度低,产品发粘,流动性差,包装储存时易板结成块、团,加工时加料困难,甚至无法加工。
聚丙烯等规度过低还会影响聚丙烯的正常生产和操作。一般等规度低于90%时,产品就会出现发粘现象。当等规度低于85%时,产品发粘厉害,会在环管反应器内壁、出料口、闪蒸罐及管线内等处造成严重的粘壁现象,影响操作和正常生产。
聚丙烯产品的等规度一般用沸腾正庚烷萃取法或红外光谱、核磁共振法测定,因为等规聚丙烯不溶于正庚烷,而其他结构聚丙烯可以溶于沸腾正庚烷,因而可以用不溶于沸腾正庚烷物占整个样品的衝百分数来测定和表示,这也是聚丙烯等规度测定的最简易可行的方法。另外,还可用二甲苯不溶物来表示等规丙烯在聚丙烯中的含量,它和正庚烷萃取法测量的等规度在数值上有微小的差异。
熔体流动速率习惯上又称熔融指数(简称MI),它是指热塑性树脂在熔体测定仪上,在一定负荷和温度下,熔体每10min通过标准品模的重量,以g/10min为单位表示。
对于聚丙烯树脂来说,熔体流动速率测定的条件是:
温度:230℃
负荷:2160g
试样所受压强:0.2982Mpa
熔融指数是衡量聚丙烯树脂在熔融状态下流动性能好坏的指标。MI越大,聚丙烯树脂的熔融流动性能越好,反之,MI越小,聚丙烯树脂熔融流动性能就越差。由于聚丙烯是热塑性树脂,是在熔融状态下加工成各种制品的,所以MI是影响聚丙烯加工性能的重要指标,也是聚丙烯产品质量最主要的指标之一。
在聚丙烯均聚产品中,各种牌号主要是以其MI的不同加以区别的。用途不同,产品牌号也不同,相应地要求不同规格的MI。同一牌号聚丙烯有一定的MI范围。不同的MI要求有不同的加工温度。
如果MI相差很大的几批产品混在一起加工,则会在加工过程中产生“鱼眼”,即高MI的树脂已经熔融,而低MI的树脂没有熔融,在制品中产生白点,这会使制品的质量受到很大的影响,尤其是在抽丝纺制丙纶纤维时,鱼眼的存在对成丝性能和丙纶纤维的质量影响更大。因此要求PP树脂的MI稳定、可控,以保证产品良好的加工性能和制品质量。
聚丙烯树脂是高分子化合物,它是由许多大分子组成的,而各个大分子的分子量是不尽相同的,因而没在均一的分子量,而只能用平均分子量来表示。一般所聚丙烯分子量都是一种统计的平均分子量。由于实际应用的统计方法不同,一般有四种表示平均分子量的方法,即数均分子量(
)、重均分子量(
)、Z均分量(
)、粘均分子量(
)。对于同一高分子化合物,一般情况下,
>
>
>
,在聚丙烯生产中,一般只测定粘均分子量,有必要时才检测其他几种平均分子量。所谓粘均分子量就是用粘度(为特性粘度)法测得的分子量。
粘均分子量与MI有着对应关系,其关系式如下:
lgMI-18.56-3.36lg
上式适用范围MI=0.27~22.10
聚丙烯分子量的大小直接影响它的熔体流动速率。分子量越大,MI越小,熔体流动性差;反之,分子量越小,MI越大,熔体流动性好。
分子量分布表示高分子化合物中分子量的分散程度。分子量分布点可用分子量分布指数来描述。分子量分布指数可以表示为
/
即重均分子量与数均分子量的比值,其值的大小范围表示分子量分布宽和窄。
聚丙烯分子量分布对其物理机械性能和加工性能有重要影响。对于一般的挤出、注塑制品来说,分子量分布宽时,其加工性能较好,但拉伸强度差,伸长率变小。对纤维级聚丙烯树脂来说,则要求分子量分布窄些好,对成纤维性能和纤维质量有益。纤维级聚丙烯树脂的分子量分布指数要求在3~5之间。
灰分、钛、氯离子、挥发分含量表示聚丙烯树脂中的杂质含量,它们都是表示聚丙烯产品质量的重要指标,对聚丙烯加工和应用有重要影响。
聚丙烯树脂是由碳、氢元素组成的有机化合物,在高温下会分解,一部分变成低分子有机物而挥发,一部分变成CO2、CO和H2O而挥发掉,完全纯净的聚丙烯在高温下应该全部挥发掉,不应存在灰分,但实际上聚丙烯树中或多或少总会存在少量在高温下仍然不挥发的物质,如残留在树脂中的催化剂、活化剂和生产过程中混入的各种杂质。聚丙烯中所含有的在高温灼烧后仍然不能挥发而残留下来的杂质在整个样品中的含量称为聚丙烯的灰分含量,一般用重量百分数或重量PPm表示。纤维级的聚丙烯树脂要求灰分含量控制在100ppm以下,如果灰分含量高,表示加工时不熔物质多,易引起设备的堵塞,也会影响制品的强度等性能。但灰分对挤塑、注塑影响不大。
聚丙烯产品残留的催化剂中钛元素在整个样品中的含量,称为钛含量,一般用重量ppm表示。钛的存在影响聚丙烯树脂的稳定性,钛含量高,树脂易老化变质。由于目前PP生产工艺尤其是S—PP工艺已普遍采用高效载体催化剂,钛的含量已经降至几个ppm以下。
聚丙烯产品中残留的催化剂中氯离子在整个样品中的含量,称为氯离子含量,通常用重量ppm。氯离子在聚丙烯树脂中的存在主要对后加工设备有腐蚀作用。目前,由于高效载体催化剂的使用,已使产品中的氯含量降得很低,经过汽蒸过程,还可以使氯含量有较大的降低。
聚丙烯产品中所含低于聚丙烯分解温度时可挥发物的含量(如有机溶剂、丙烯、水分等)称为挥发分含量,通常用重量百分比表示。与灰分概念不同,挥发分含量测定时,温度必须控制在聚丙烯分解温度以下,一般为105℃,不允许聚丙烯树脂本身分解而挥发。
挥发组分含量也影响加工性能。挥发组分含量高,在加工时会使制品中有气泡、气孔,从而影响其机械性能。在纺丝时,也会影响可纺性。
聚丙烯的密度是指熔融压片后,内部无孔隙时样片的密度,即“真密度”。聚丙烯的表观密度是聚烯烃树脂中最小的(0.90~0.91g/cm³),这也是使用聚丙烯时的一大优点,它会使加工成的制品轻便,费料少,成本低。
聚丙烯的表观密度越大,同样重量的产品其堆积体积越小,包装运输方便,另外表观密度还反映聚丙烯的颗粒形态及流动性能,一般来说,表观密度大,颗粒的流动性好,便于加工。
表示拉伸力学性能的指标很多,在这里主要介绍拉伸屈服强度、拉伸断裂强度和断裂伸长率三个指标。
在规定的试验温度、湿度与试验速度下,在拉力试验机上给聚丙烯试样沿纵轴方向施加拉伸负荷,测定试样被破坏时的最大负荷,得出拉伸时的应力应变曲线,如图1所示。

图1 聚丙烯拉伸应力应变曲线
聚丙烯试条在受到一定拉力时,产生形变(即应变)。开始,随着应变(伸长)的增加,应力也增加,但是应力、应变增加到一定程度时,应变增加,应力不再增加。在上图中的应力—应变曲线上,第一次出现应变增加而应力不增加时的点(M)称为屈服点,屈服点的应力FM定义为拉伸屈服强度,拉伸断裂时的点(t)称为断裂点,断裂点的应力F,定义为拉伸断裂强度。
断裂点可能高于屈服点,也可能低于屈服点。对于聚丙烯树脂来说,拉伸屈服强度比拉伸断裂强度更为重要,因为聚丙烯树脂是在屈服点之内使用的。
拉伸屈服强度和拉伸断裂强度是聚丙烯力学性能的最重要指标。它表示聚丙烯树脂抗拉伸的能力,是聚丙烯应用最重要的依据之一。在聚丙烯的应用中,拉伸屈服强度和拉伸断裂强度越高越好。
在应力—应变曲线上,相对于屈服点M和断裂点t有相应的屈服点应变值(%)和断裂点应变值(%),即为屈服伸长率(%)和断裂伸长率(%),屈服伸长率和断裂伸长率也是聚丙烯重要的力学性能指标,对聚丙烯的应用有重要的意义。
聚丙烯树脂的冲击强度是指规定尺寸的聚丙烯标准试样在冲击试验机上受到冲击力而使其破坏的最大冲击负荷。冲击强度是用来度量聚丙烯在高速状态下的韧性或对断裂的抵抗能力。它是聚丙烯树脂力学性能的又一项重要指标。通常称聚丙烯在低温下“发脆”,就是指聚丙烯的低温冲击强度低,耐冲击性能差。这是聚丙烯树脂的缺点之一。从制品的使用来说,要求冲击强度越高越好。
冲击强度因测试方法不同,一般分为无缺口冲击强度和缺口冲击强度,通常用摆锤式冲击试验机(包括简支梁式和悬臂梁式)、落球式冲击试验机以及高速拉伸冲击试验机来测定。测定的方法和试验设备不同,冲击强度的表示单位也不同。用简支梁式摆锤冲击试验机测出的强度表示单位为KJ/㎡,用悬臂梁式摆锤冲击试验机测出的冲击强度表示单位为KJ/㎡。
聚丙烯树脂抵抗其它软硬物体压入的性能(或能力)称为聚丙烯树脂的硬度。硬度数值大小是表示聚丙烯树脂软硬程度的有条件性的定量反映,对聚丙烯树脂的应用有重要价值。
测量聚丙烯树脂硬度的方法和仪器很多,其测得数值与硬度计的类型、试样的形状以及测试条件有关。测量聚丙烯硬度的方法有动载法和静载法两种。静载试验是以一定形状的压头平稳而逐渐加荷,将压头压入试样的方法(简称压入法)一般都采用压入法来聚丙烯的硬度。根据测量仪器的不同,又有布氏硬度(HB)、洛氏硬度(Hg)、肖氏硬度(HA、HC、HD)之分。
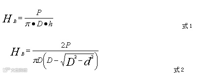
布氏硬度的测量是把一定直径的钢球在规定的负荷作用下压入试样并保持一段时间后,以试样上压痕深度或压痕直径来计算单位面积上承受的力,计算式如下:

式中:HB----布氏硬度, kg/mm²;
P-----所加负荷, kg;
d-----压痕直径, mm;
h-----压痕深度, mm;
D-----钢球直径, mm。
聚丙烯树脂的热变形温度是试验装置上测得的特定温度。在施加载重负荷使试样受载的最大弯曲正应力为1.81MPa或0.45MPa条件下,使一定高度的试样逐渐升温,试样达到规定的弯曲形变值的温度称聚丙烯试样的热变形温度。它是表示聚丙烯树脂耐热性能的重要指标。聚丙烯树脂的热变形温度一般为95~100℃。
聚丙烯树脂的维卡软化点是聚丙烯试样在维卡软化点试验装置上测得的特定温度。在施加载重负荷1kg或5kg条件下,使试样逐渐升温,压在试样上的针头垂直压入试样的深度达1mm时的温度称为该聚丙烯的维卡软化点温度,又称维卡软化点。
维卡软化点是表示聚丙烯树脂耐热性能的又一重要质量指标。维卡软化点高,耐热性能好。用该方法测得的聚丙烯维卡软化点温度高于热变形温度。聚丙烯树脂的维卡软化点温度一般为148~158℃。
当聚丙烯树脂所处的周围环境由高温逐渐向低温变化的时候,它形变能力逐渐消失,直至出现脆性。对一定低温下的聚丙烯树脂施加应力时,在很小的形变下就会被破坏,这个温度称为聚丙烯的脆化温度。聚丙烯的脆化温度一般为35℃左右。
聚丙烯脆化温度表示聚丙烯的耐寒性能,它对聚丙烯树脂应用的环境条件的选择有重要的实际意义。
源料网--专业的供应链服务平台


