大数跨境
0
0

王欣中阮教学第十二讲 G调乐曲《粉刷匠》

王欣中阮教学第十二讲 G调乐曲《粉刷匠》 3sheep
2021-12-03
1
导读:王欣,西安音乐学院教育学硕士研究生,研究方向:音乐教育理论与实践,自幼学习阮,师从王慧副教授。


王欣中阮教学

王欣

西安音乐学院教育学硕士研究生

研究方向:音乐教育理论与实践

自幼学习阮,师从王慧副教授




第十二讲:G调乐曲《粉刷匠》

大家好欢迎来到中阮小课堂,今天我们一起来学习一首G调乐曲《粉刷匠》。



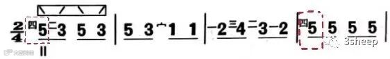
《粉刷匠》乐谱



在《粉刷匠》这首乐曲中出现了许多小指 5 的按音,我们在按音的时候,要保证小指的第一个指关节立起来,有力的去按音,避免在弹奏时产生“滋滋滋”的杂音。



三只羊

感谢大家的观看与喜爱


【声明】内容源于网络
0
0
3sheep
健康咨询 互联网+音乐教育
内容 735
粉丝 0
3sheep 健康咨询 互联网+音乐教育
总阅读112
粉丝0
内容735