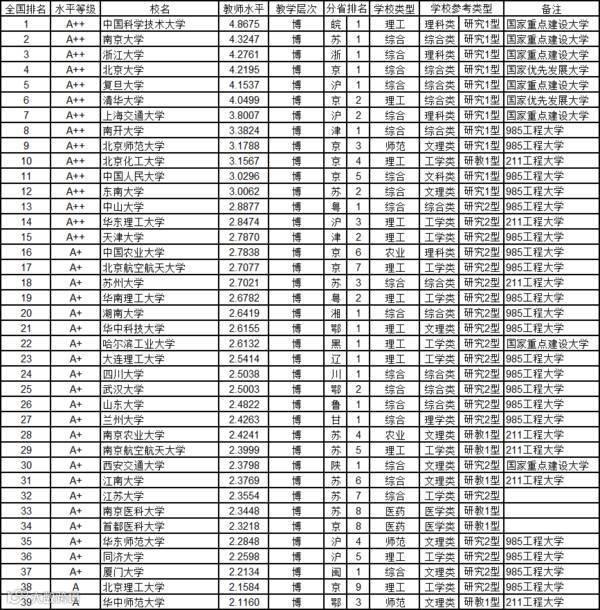
教师学术水平是大学各项办学指标中最重要的指标之一。2017年,在这项指标的竞争中,有15所大学获得A++级的最高等级,中国科学技术大学以4.8675分获第1名,南京大学4.3247分得第2名,浙江大学4.2761分取第3名。
获得第4名至第15名的A++级大学分别是:第4名北京大学,第5名复旦大学,第6名清华大学,第7名上海交通大学,第8名南开大学,第9名北京师范大学,第10名北京化工大学,第11名中国人民大学,第12名东南大学,第13名中山大学,第14名华东理工大学,第15名天津大学。
本排行榜源于中国管理科学研究院《中国大学评价》课题组组长武书连著、中国统计出版社2017年1月出版的《挑大学选专业—2017高考志愿填报指南》。
中国大学2017年教师学术水平评价采用百分比法,用A++、A+、A、B+、B、C+、C、D+、D、E+、E,共5等11级表示教师学术水平。各等级定义如下:
A等:前10%为A等;其中学术水平最高的前2%是A++级,介于2%~5%(含,以下同)之间的是A+级,5%~10%为A级。
B等:介于10%~30%之间为B等,占20%;其中 10%~20%为B+级,20%~30%为B级。
C等:介于30%~50%之间为C等,占20%;其中 30%~40%为C+级,40%~50%为C级。
D等:介于50%~70%之间为D等,占20%;其中50%~60%为D+级,60%~70%为D级。
E等:最后的30%为E等;其中70%~85%为E+级,85%~100%为E级。
教师学术水平排名计算方法:将每所大学在综合实力排行榜中的科研得分,除以投入的科研当量人数,并将结果降序排列,得到在同一标准下,全国721所大学的教师学术水平排名。科研当量人数包括专任教师、专职科研人员、附属医院高级职称人员、博士研究生、硕士研究生。其中专任教师和专职科研人员每1人折合1人,附属医院高级职称人员每6人折合1人,博士研究生每3人折合1人,硕士研究生每30人折合1人。
1.普通高校38所985工程大学中,有9所没有进入教师学术水平前38名
普通高校38所985工程大学,(含国家优先发展大学、国家重点建设大学),有29所进入教师学术水平前38名,占985工程大学的76.32%。9所没有进入教师学术水平前38名的985工程大学是:中央民族大学、东北大学、中国海洋大学、电子科技大学、吉林大学、中南大学、西北农林科技大学、西北工业大学、重庆大学。
有6所211工程大学进入前38名,依次是:北京化工大学、华东理工大学、苏州大学、南京农业大学、南京航空航天大学、江南大学。
有3所既非985、也非211的大学进入教师学术水平前38名,依次是:江苏大学、南京医科大学、首都医科大学。
2.普通高校112所211工程大学,有30所没有进入教师学术水平前112名
普通高校112所211工程大学(含985工程大学),有30所没有进入教师学术水平前112名,占211工程大学的26.79%。30所没有进入教师学术水平前112名的211工程大学是:
青海大学、延边大学、西藏大学、宁夏大学、海南大学、内蒙古大学、贵州大学、北京体育大学、辽宁大学、石河子大学、太原理工大学、河北工业大学、南昌大学、大连海事大学、郑州大学、东北农业大学、长安大学、广西大学、新疆大学、中央民族大学、中国地质大学(武汉)、北京中医药大学、中国石油大学(华东)、西南财经大学、四川农业大学、西南交通大学、云南大学、东北林业大学、中南财经政法大学、中国政法大学。
30所非211工程大学进入教师学术水平前112名,依次是:江苏大学、南京医科大学、首都医科大学、浙江师范大学、南京工业大学、浙江工业大学、南京信息工程大学、南京邮电大学、宁波大学、湘潭大学、首都师范大学、温州大学、扬州大学、浙江理工大学、燕山大学、上海理工大学、重庆医科大学、中国医科大学、西北师范大学、常州大学、沈阳药科大学、上海师范大学、上海中医药大学、上海音乐学院、杭州师范大学、浙江海洋大学、浙江工商大学、安徽医科大学、中国计量大学、福建师范大学、
武书连2017中国721所大学教师学术水平排行榜
(以下表格总结了B+及以上学校排名,表中“教师水平”一栏的数据,是以全国721所大学的教师学术水平为1计算的)
来源:武书连
免责声明:部分资料来源于网络,转载的目的在于传递更多信息及分享,并不意味着赞同其观点或证实其真实性,也不构成其他建议。仅提供交流平台,不为其版权负责。如涉及侵权,请联系我们及时修改或删除。邮箱:info@polymer.cn
诚邀投稿
欢迎专家学者提供稿件(论文、项目介绍、新技术、学术交流、单位新闻、参会信息、招聘招生等)至info@polymer.cn,并请注明详细联系信息。高分子科技®会及时推送,并同时发布在中国聚合物网上。
欢迎加入微信群 为满足高分子产学研各界同仁的要求,陆续开通了包括高分子专家学者群在内的几十个专项交流群,也包括高分子产业技术、企业家、博士、研究生、媒体期刊会展协会等群,全覆盖高分子产业或领域。目前汇聚了国内外高校科研院所及企业研发中心的上万名顶尖的专家学者、技术人员及企业家。
申请入群,请先加审核微信号chemshow (或长按下方二维码),并请一定注明:高分子+姓名+单位+职称(或学位)+领域(或行业),否则不予受理,资格经过审核后入相关专业群。

