与传统的无机太阳能电池相比,聚合物太阳能电池具有低成本、质量轻、柔性和易于大面积加工等优点而受到广泛关注。活性层作为聚合物太阳能电池最重要的组成部分,主要由聚合物给体材料和富勒烯衍生物共混构成。因此设计高性能的给、受体材料以得到高能量转换效率的聚合物太阳能电池是科学研究工作者关注的焦点。随着新型光伏材料的不断开发以及光伏器件的优化,单节聚合物太阳能电池的能量转化效率突破了13%。PTB系列聚合物作为该领域的明星材料自从报道以来一直受到业界的广泛关注,特别是具有部分二维共轭侧链取代结构的PTB7-Th更是成为聚合物太阳电池研究的经典给体材料。
为了进一步提高PTB系列聚合物的能量转化效率,南方科技大学何凤副教授研究团队通过对聚合物全二维共轭侧链的结构设计理念,在PTB7-Th部分二维共轭侧链结构的基础上,进一步通过引入噻吩取代基团实现了该类材料的全二维共轭侧链取代,得到了新型的全二维共轭侧链取代聚合物2D-PTB-Th(图1)。研究表明,由于全二维共轭侧链的引入,2D-PTB-Th具有更强的光吸收能力,特别是在300-500纳米区域内,同时也增强了分子间的相互作用力。在经过1,8-二碘辛烷(DIO)溶剂添加剂优化处理后,基于2D-PTB-T:PC71BM的太阳能电池器件得到了9.13%的光电转化效率,相对于PTB7-Th的太阳器件具有10%的提高,外量子效率EQE也有明显地提高(图2)。这项研究为高效有机太阳电池给体材料的进一步突破提供了新的设计合成策略,即可通过全共轭主侧链的协同效应同时提高给体材料的光谱吸收以及调节聚合物分子间相互作用的双重目的,实现聚合物材料能量转换效率的进一步提升。
图1. 全二维共轭结构设计思路以及聚合物2D-PTB-Th和2D-PTB-TTh的化学结构式
图2.(a)聚合物以及受体材料PC71BM的能级图(b)聚合物所对应的器件的EQE的变化
此外,该团队在近几年中一直专注于氯原子在聚合物太阳电池方面的应用,相对于传统广泛使用的氟原子,氯原子具有合成相对较为容易,聚合物能级可调范围更大等优势,特别是氯原子由于具有空的3d轨道赋予其和具有孤电对单元或者共轭体系具有更强的相互作用,能有效控制氯取代聚合物材料的聚集形貌以及分子取向,也可作为模型分子研究有机光电器件中的基本物理现象。
在最近的工作中,团队也将氯原子引入到PTB聚合物的主链中,得到了聚合物PBTCl,得到较低的最低占有分子轨道(HOMO)的同时实现聚合物吸收光谱的蓝移,所以当该材料与窄带隙的受体材料ITIC共混时,吸收光谱得到较好的互补,其非富勒烯太阳电池器件显示了较大的开路电压Voc,能量转换效率达到7.57%,与PTB7-Th:ITIC器件效率相比有13%的提高。
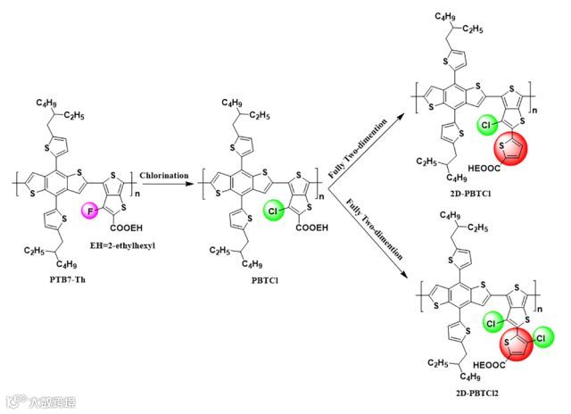
再上述工作中由于在聚合物骨架上引入氯原子,其大原子效应会在一定程度上减弱分子间的相互作用,不利于电荷在活性层中的传导,因此该团队进一步通过引入共轭的二维共轭噻吩侧链的设计得到了全二维侧链的氯取代聚合物2D-PBTCl和2D-PBTCl2 (图3),噻吩侧链可通过共轭作用在一定程度上克服氯原子引起的位阻效应,增强聚合物分子间的电荷传输能力,同时提高聚合物的光吸收能力,基于聚合物2D-PBTCl:ITIC的器件效率也提高到了8.81%。
图3. 聚合物2D-PBTCl and 2D-PBTCl2结构设计
以上相关成果分别发表在Macromolecules (Macromolecules DOI: 10.1021/acs.macromol.7b02045), ACS Energy Letters (ACS Energy Lett., 2017, 2, 1971–1977) 和Journal of Materials Chemistry A (J. Mater. Chem. A, DOI: 10.1039/C7TA09837E)上。其中Macromolecules和Journal of Materials Chemistry A文章的第一作者为南方科技大学-北京大学联合培养博士生晁鹏杰,ACS Energy Lett.文章的第一作者为南方科技大学-澳门大学联合培养博士生王欢,通讯作者为南方科技大学化学系何凤副教授,共同通讯作者为美国阿贡国家实验室陈伟教授。
该研究得到了国家自然科学基金、中组部“青年千人计划”、国家重点基础研究发展计划(973计划)、南科大科研启动经费、深圳市孔雀团队以及深圳市科创委基础研究项目等经费的支持。
论文链接:
http://pubs.acs.org/doi/10.1021/acs.macromol.7b02045
http://pubs.acs.org/doi/abs/10.1021/acsenergylett.7b00551
http://pubs.rsc.org/en/content/articlelanding/2018/ta/c7ta09837e
高分子科技原创文章。欢迎个人转发和分享,刊物或媒体如需转载,请联系邮箱:info@polymer.cn

相关进展
中国石油大学(华东)赵学波教授团队:基于无定形电子给体聚合物与修饰富勒烯受体的高性能有机太阳能电池
中科院化学所李永舫院士和张志国副研究员:为高性能全聚合物太阳能电池构建强吸收窄带隙聚合物受体
苏州大学孙宝全教授:萘酰亚胺基N型聚合物用于高性能有机异质结太阳能电池的有效背接触
南工大陈志宽教授课题组发表非卤代溶剂在全聚合物太阳能电池中的应用新研究
南工大殷成蓉副研究员课题组:非共轭聚合物作为高效非掺杂空穴传输材料应用于钙钛矿太阳能电池的新进展
关注高分子科学技术 👉
长按二维码关注
诚邀投稿
欢迎专家学者提供稿件(论文、项目介绍、新技术、学术交流、单位新闻、参会信息、招聘招生等)至info@polymer.cn,并请注明详细联系信息。高分子科技®会及时推送,并同时发布在中国聚合物网上。
欢迎加入微信群 为满足高分子产学研各界同仁的要求,陆续开通了包括高分子专家学者群在内的几十个专项交流群,也包括高分子产业技术、企业家、博士、研究生、媒体期刊会展协会等群,全覆盖高分子产业或领域。目前汇聚了国内外高校科研院所及企业研发中心的上万名顶尖的专家学者、技术人员及企业家。
申请入群,请先加审核微信号PolymerChina
(或长按下方二维码),并请一定注明:高分子+姓名+单位+职称(或学位)+领域(或行业),否则不予受理,资格经过审核后入相关专业群。

