水凝胶是一种具有三维网络结构的类似于生物体软组织的高分子材料,在组织工程、药物载体系统以及医疗器械等生物医学领域有着广泛的应用。近年来,制备具有自修复功能的水凝胶成为了一个研究热点,其自修复性能主要建立在动态共价键或超分子相互作用的基础之上。但目前大多数自修复水凝胶的研究都偏重于其自修复性能的开发,而没有很好地兼顾材料的生物相容性和合适的机械强度。例如目前广泛应用水凝胶制备当中的聚乙烯醇,然而在冷冻-解冻循环制备过程中通常要求聚乙烯醇的分子量大于10万和浓度高20wt%,这都限制了这类材料进一步在生物医用材料中的应用。
近日,华南理工大学国家人体组织功能重建工程技术研究中心功能化组织修复团队贾永光副研究员、任力教授等人以低分子量的聚乙烯醇(1.3万)为聚合物主链,引入了生物相融性良好的主客体天然分子对β-环糊精和胆酸,利用主客体识别作用在室温制备出了自修复水凝胶。该团队通过将β-环糊精和胆酸分别接枝在低分子量的聚乙烯醇链段上构建出主体和客体聚合物,然后在生理环境下简单混合两种低粘度接枝聚合物的水溶液便能自组装即时成胶。通过该方法制备出的聚乙烯醇自修复水凝胶成胶浓度可以低至7.0 wt%,其主体聚合物和客体聚合物均为独立制备,易于调节侧链接枝密度,通过调节胆酸接枝比还能调节自修复水凝胶的机械性能,使其能适应更广泛的生物医学应用。此种水凝胶材料在作为生物填充材料具有良好的应用前景。
图1:合成路线及凝胶制备示意图
(A) 基于PVA的主客体聚合物PVA-CD与PVA-CA的合成路线;
(B) PVA-CA/PVA-CD 自修复水凝胶制备示意图。
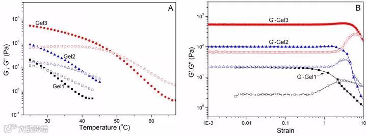
图2:PVA-CA/PVA-CD水凝胶的流变特性

A) Gel 1、Gel 2和Gel 3的储能模量(G’,实心)和损耗模量(G”,空心)在温度扫描下的变化情况;
(B) Gel 1、Gel 2和Gel 3的储能模量(G’,实心)和损耗模量(G”,空心)在应变扫描下的变化情况。
图3:PVA-CA/PVA-CD水凝胶自修复性能
(A) PVA-CA/PVA-CD水凝胶自修复性能展示;
(B) PVA-CA/PVA-CD 自修复水凝胶(Gel3)在25℃交替进行10%和1000%的应变扫描条件下储能模量(G’,三角形)和损耗模量(G”,圆形)的变化情况。
图4:PVA-CA/PVA-CD水凝胶的生物相容性评价
(A) 不同浓度的PVA-CA 与PVA-CD混合溶液(质量比为0.78/1.00)细胞毒性实验;
(B) 不同浓度的PVA-CA 与PVA-CD混合溶液(质量比为0.78/1.00)溶血试验。
以上研究以“Self-Healing Hydrogels of Low Molecular Weight Poly(vinyl alcohol) Assembled by Host–Guest Recognition ”为题发表在Biomacromolecules上。论文的第一作者兼通讯作者为华南理工大学材料学院贾永光副研究员,第二作者为华南理工大学材料学院硕士研究生金家宏,共同通讯作者为华南理工大学任力教授与加拿大蒙特利尔大学朱晓夏教授。该工作也得到了国家自然科学基金得支持(201704026)。
同时,该工作是贾永光副研究员和朱晓夏教授之前合作研究的延续,2015年他们就第一次将天然主客体的超分子对应用到自修复水凝胶的制备当中(Self-Healing Supramolecular Hydrogel Made of Polymers Bearing Cholic Acid and β‑Cyclodextrin Pendants, Chem. Mater. 2015, 27, 387–393),最近他们还把这种天然主客体自修复水凝胶赋予生理二氧化碳的可逆响应性质(CO2-Switchable Self-Healing Host-Guest Hydrogels, Macromolecules 2017, 50, 9696-9701)。同时他们还将这种生物相容性良好的主客体超分子对拓展到超分子项链的制备当中(Molecular Necklace: Threading β‑Cyclodextrins onto Polymers Derived from Bile Acids. Angew. Chem. Int. Ed. 2016, 55, 11979-11983)。
论文链接:
https://pubs.acs.org/doi/10.1021/acs.biomac.7b01707
高分子科技原创文章。欢迎个人转发和分享,刊物或媒体如需转载,请联系邮箱:info@polymer.cn
关注高分子科学技术 👉
长按二维码关注
诚邀投稿
欢迎专家学者提供稿件(论文、项目介绍、新技术、学术交流、单位新闻、参会信息、招聘招生等)至info@polymer.cn,并请注明详细联系信息。高分子科技®会及时推送,并同时发布在中国聚合物网上。
欢迎加入微信群 为满足高分子产学研各界同仁的要求,陆续开通了包括高分子专家学者群在内的几十个专项交流群,也包括高分子产业技术、企业家、博士、研究生、媒体期刊会展协会等群,全覆盖高分子产业或领域。目前汇聚了国内外高校科研院所及企业研发中心的上万名顶尖的专家学者、技术人员及企业家。
申请入群,请先加审核微信号PolymerChina
(或长按下方二维码),并请一定注明:高分子+姓名+单位+职称(或学位)+领域(或行业),否则不予受理,资格经过审核后入相关专业群。

