近期,中科院上海光机所薄膜光学实验室赵元安研究员课题组在液晶光学相控器件激光辐照效应研究方面取得新进展,为液晶光学相控器件的设计优化和在高能激光系统中的实际应用提供了指导。相关研究成果发表在[Optical Materials Express 9(2), 911-922(2019,)] [Infrared Physics & Technology 99, 80-85(2019)]。
液晶光学相控器件具有空间分辨率高、结构紧凑、功耗低等优点,可以实现对光束振幅、波前、偏振和指向等的精密调控,广泛应用于激光聚变、光电对抗、激光雷达、激光通讯等领域。近年来,高能激光领域也对液晶光学相控器件提出了明确需求,但其激光负载能力制约了应用。
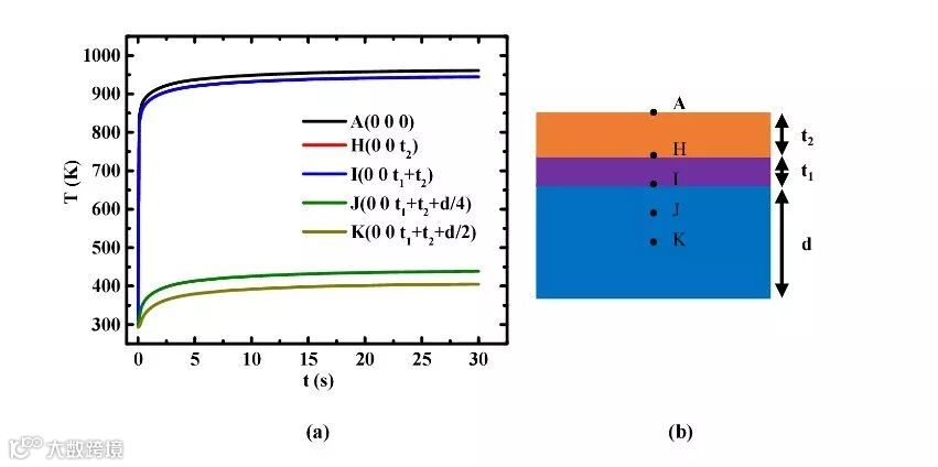
课题组创新发展层析实验技术,通过调控透明导电电极薄膜(ITO)和取向层(PI),研究了液晶光学相控器件在高峰值功率和高平均功率激光辐照下的能量沉积、传导和器件内层间耦合物理机制。实验和理论模拟表明:在高峰值功率激光作用下,ITO层瞬时吸收产生上千度的温升并汽化,冲破PI层的束缚,形成器质性损伤;在高平均功率激光作用下,ITO层吸热温升缓慢,热量传导后器件内温度梯度极小,但常用液晶材料的清亮点温度在50℃~100℃,液晶分子首先失效。上述研究对应用于高能激光系统中液晶光学相控器件的设计、调控以及实际应用提供了重要的指导。

图1 高峰值功率ITO/PI层的典型损伤

图2 高峰值功率激光辐照下,ITO/PI层的温度场分布

图3 高平均功率激光辐照下,ITO/PI层的温度场分布
相关研究得到了国家自然科学基金面上项目,应用光学国家重点实验室开放基金、脉冲功率激光技术国家重点实验室开放基金的支持。(薄膜光学实验室供稿)
论文链接:
https://www.osapublishing.org/ome/fulltext.cfm?uri=ome-9-2-911&id=404476
https://www.sciencedirect.com/science/article/pii/S1350449518309022?via%3Dihub
来源:上海光机所
相关进展
液体剪切微印刷术智造胶体超液晶 ——浙江大学高超团队首次实现液体自由微雕刻
浙工大王旭教授和陈思教授《Advanced Electronic Materials》:可拉伸液晶显示器件的研究进展
免责声明:部分资料来源于网络,转载的目的在于传递更多信息及分享,并不意味着赞同其观点或证实其真实性,也不构成其他建议。仅提供交流平台,不为其版权负责。如涉及侵权,请联系我们及时修改或删除。邮箱:info@polymer.cn
关注高分子科学技术 👉
长按二维码关注
诚邀投稿
欢迎专家学者提供稿件(论文、项目介绍、新技术、学术交流、单位新闻、参会信息、招聘招生等)至info@polymer.cn,并请注明详细联系信息。高分子科技®会及时推送,并同时发布在中国聚合物网上。
欢迎加入微信群 为满足高分子产学研各界同仁的要求,陆续开通了包括高分子专家学者群在内的几十个专项交流群,也包括高分子产业技术、企业家、博士、研究生、媒体期刊会展协会等群,全覆盖高分子产业或领域。目前汇聚了国内外高校科研院所及企业研发中心的上万名顶尖的专家学者、技术人员及企业家。
申请入群,请先加审核微信号PolymerChina (或长按下方二维码),并请一定注明:高分子+姓名+单位+职称(或学位)+领域(或行业),否则不予受理,资格经过审核后入相关专业群。
点
这里“阅读原文”,查看更多

