聚合物太阳能电池因具有低成本、重量轻、可大规模溶液制备成柔性器件等突出优点而备受关注。近年来,非富勒烯受体材料取代传统富勒烯材料成为研究主流后,基于非富勒烯受体材料与聚合物给体共混的有机太阳能电池光电转换效率已经突破16%,显示了巨大应用化前景。要进一步提升其器件效率需要解决开路电压与短路电流密度之间的相互制约的矛盾。但是,降低能量损失的同时如何保证足够的电荷驱动力仍极具挑战性。更加合理地考虑给受体材料的匹配性将是解决矛盾的关键,从而进一步推动聚合物太阳能电池的发展。
四川大学彭强教授团队近期报道了一个基于萘并二噻吩(NDT)的宽带隙聚合物给体PNDT-ST和噻吩取代的氰基茚满二酮为末端的小分子受体Y6-T(如图1所示),制备出了光电转换效率高达13.72%的聚合物太阳能电池,并通过三元共混器件的构筑,进一步将光电转换效率提升至16.57%,能量损失则低至0.52 eV。

图1. 聚合物给体和小分子受体的设计思路与分子结构
密度泛函(DFT)理论计算(图 2a)表明萘并二噻吩单元除了比苯并二噻吩具有更大的刚性共轭平面,其二维侧链与萘并二噻吩骨架之间的二面角也更小。这有助于提高聚合物的结晶性,促进电荷传输。理论计算同时发现萘并二噻吩结构会在一定程度上抬升其最高占据轨道(HOMO)能级。通过紫外可见吸收光谱测试发现,基于萘并二噻吩结构的PNDT-ST比苯并二噻吩结构的PBDT-ST在短波长区间的吸收更强。两个聚合物与Y6以及Y6-T都能够获得较好的吸收互补(图2b)。但是Y6-T的HOMO与最低未占据轨道(LUMO)能级更高,有望获得更好的能级匹配,提高器件的开路电压(图2c)。

图2 (a)BDT和NDI单元的DFT计算结果;(b)聚合物给体和小分子受体材料的紫外-可见-近红外吸收图谱;(c)聚合物给体和小分子受体材料的能级图
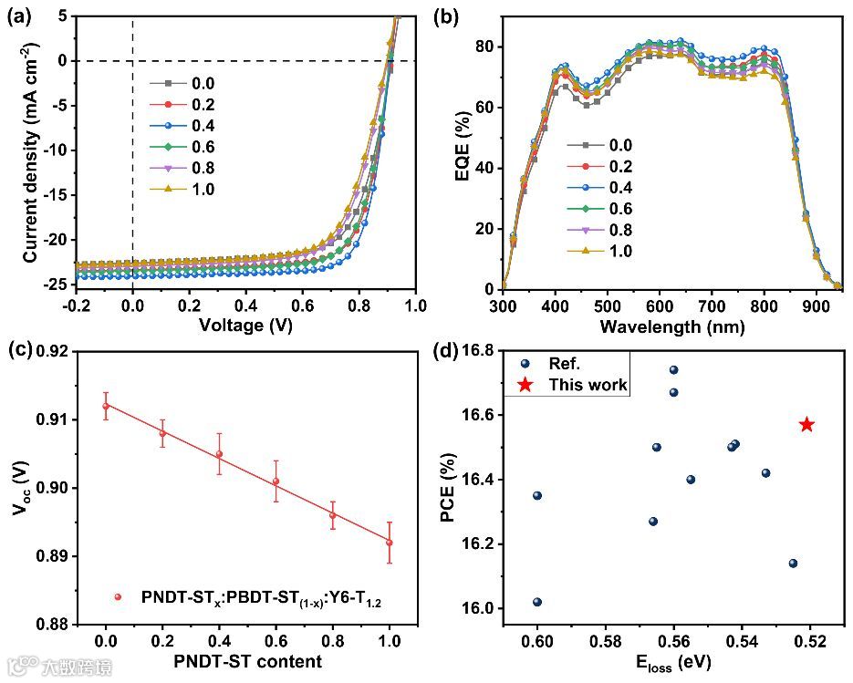
将两个聚合物分别与Y6、Y6-T共混制备有机太阳能电池器件时,Y6-T器件的开路电压显著提升,因此获得了比Y6更高的光电转换效率。与PBDB-ST相比,PNDT-ST器件的开路电压和填充因子略微下降,而短路电流密度则更高,器件光电转换效率略微下降(14.35下降至13.71%)(图3)。通过同时使用PBDB-ST、PNDT-ST与Y6-T制备成三元共混器件,最优光电转换效率可提升至16.57%。在该条件下,器件的能量损失低至0.52 eV,是目前报道的器件效率超过16%的有机太阳能电池能量损失的最低记录(图3d)。

图3 (a)三元共混器件的J-V曲线;(b)三元共混器件的EQE曲线;(c)三元共混器件开路电压与组分比的关系;(d)文献报道超过16%的有机太阳能电池的能量损失对照图
通过广角掠入射(GIWAXS)研究了聚合物骨架改进以及三元共混策略对分子结晶性的影响(图4)。研究发现,由于共轭骨架的增大,PNDT-ST的结晶性比PBDT-ST的结晶性更高,从而获得了更高的电荷迁移率。然而,结晶性的显著增加也使得PNDT-ST与Y6-T共混时,相容性变差,原子力显微镜(AFM)下观察到的相分离尺寸增大(图5)。通过使用三元共混策略,将PBDT-ST与PNDT-ST同时作为给体与Y6-T共混,提高了结晶性的同时,也优化了活性层的形貌,获得了更加平衡的空穴和电子传输。因而三元共混器件的光电转换效率显著提升。

图4 (a-f)给受体材料纯膜以及共混膜的GIWAXS图;(g)GIWAXS在面内和面外方向上对应的曲线图

图5 (a-c)AFM高度图;(d-f)AFM相图;(a,d)PBDT-ST:Y6-T;(b,e)PNDT-ST:Y6-T;(c,f)PBDT-ST(1-x):PNDT-STx:Y6-T1.2
以上相关成果以“Subtle Polymer Donor and Molecular Acceptor Design Enable Efficient Polymer Solar Cells with a Very Small Energy Loss”为题发表在Advanced Functional Materials (Adv. Funct. Mater. 2020, 1907570)上。
论文链接:
https://onlinelibrary.wiley.com/doi/full/10.1002/adfm.201907570
相关进展
高分子科技原创文章。欢迎个人转发和分享,刊物或媒体如需转载,请联系邮箱:info@polymer.cn
关注高分子科学技术 👉
长按二维码关注
诚邀投稿
欢迎专家学者提供稿件(论文、项目介绍、新技术、学术交流、单位新闻、参会信息、招聘招生等)至info@polymer.cn,并请注明详细联系信息。高分子科技®会及时推送,并同时发布在中国聚合物网上。
欢迎加入微信群 为满足高分子产学研各界同仁的要求,陆续开通了包括高分子专家学者群在内的几十个专项交流群,也包括高分子产业技术、企业家、博士、研究生、媒体期刊会展协会等群,全覆盖高分子产业或领域。目前汇聚了国内外高校科研院所及企业研发中心的上万名顶尖的专家学者、技术人员及企业家。
申请入群,请先加审核微信号PolymerChina
(或长按下方二维码),并请一定注明:高分子+姓名+单位+职称(或学位)+领域(或行业),否则不予受理,资格经过审核后入相关专业群。
这里“阅读原文”,查看更多

