合成羟基化聚合物是高分子合成科学家一直追求的目标,因羟基化聚合物具有优异的表面性能,而且羟基易于转化为其它功能基团。例如,聚乙烯醇(PVA)和乙烯-乙烯醇共聚物(EVOH)是已经商业化的羟基化聚合物,其性能和应用领域完全不同于聚乙烯。由于乙烯醇单体不稳定,PVA和EVOH都是通过醋酸乙烯酯及其与乙烯分别进行自由基均聚合与共聚合,再经醇解聚合产物得到。相比之下,作为全球第二大聚烯烃材料的聚丙烯,其羟基化产物或含羟基聚丙烯共聚物的合成面临诸多困难。首先丙烯只能配位聚合,故无法采用合成PVA和EVOH的方法得到相应的羟基化聚丙烯。而丙烯与羟基化单体配位共聚,催化体系会被羟基毒化而失去催化活性。因此,羟基化聚丙烯的合成在工业界和学术界都是挑战性的课题。
最近,中科院长春应化所崔冬梅研究员课题组通过催化剂设计成功实现反常规的联烯单体高1,2-区域选择性聚合,并在此基础上实现了丙烯与联烯共聚。将得到的均聚物和共聚物中高活性的端双键羟基化,分别得到聚烯丙醇类似物和羟基含量高达26.5mol%的聚丙烯。机理研究表明联烯完美的1,2-选择性聚合是动力学驱动而非热力学控制过程。

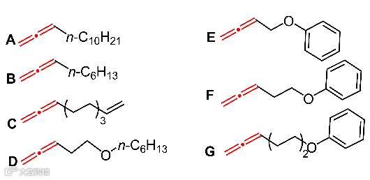
作者首先合成出系列结构不同的催化剂,研究联烯的区域选择性聚合,筛选出活性和选择性最好的催化体系3。在各种聚合条件下,研究催化体系3对含有不同取代基团的联烯单体聚合行为(图1,2)。结果表明,单体中烷基链的长短对聚合行为影响不大;末端为双键的烷基联烯聚合时,末端双键不参与聚合,说明累积双键的活性比单双键高。因此,单体A、B和C可以进行高活性及完美的1,2-选择性聚合(1,2-selectivity >99%)。当单体中含有极性烷氧基团时,催化体系的活性种被双键和氧原子共同螯合而失活,故单体D不能发生聚合。采用苯环保护氧原子的策略,作者进行单体E、F和G的聚合行为研究。由于单体E与中心金属配位时发生异构化,同样不发生聚合。累积双键和氧原子间隔两个碳原子的单体F能够进行聚合,但因为苯氧基团和累积双键距离较近而造成拥挤的配位环境,很大程度上影响其聚合速率和区域选择性(在同样条件下聚合96h,单体转化率为42%,1,2-选择性仅为13%)。相比之下,单体G中的氧原子远离累积双键,又受到苯环的保护,实现较高的转化率和完美的1,2-选择性聚合。

图1.联烯单体结构式

图2.聚合催化体系
通过DFT计算模拟实验,对系列联烯单体反常规的1,2-选择性聚合进行机理研究,以联烯单体B为例。在活性较高而区域选择性较差的催化体系2a中,单体B在进行1,2-选择性聚合和2,3-选择性聚合中生成两种过渡态所需克服的能垒差别较小,这种情况导致链增长过程中两种区域选择聚合随机发生,得到的聚合物规整性较差。而在催化体系3中,单体B选择2,3-选择性聚合时会生成2,3-adduct,其导致后续的2,3-选择性插入相比于1,2-选择性插入始终需要克服更高的能垒。尽管2,3-选择性聚合过程在热力学上占据优势,但1,2-选择性聚合过程中生成过渡态所需克服能垒较低,动力学驱动优势明显,故低温条件促使单体B发生完美的1,2-选择性聚合。

图3.联烯单体聚合机理研究
鉴于目前为止所报道的丙烯共聚催化体系数量有限,作者尝试将联烯单体A与丙烯进行共聚。当选用催化体系3时,联烯和丙烯共聚合存在共单体负效应,仅生成微量聚合物;改用催化体系2a,共聚反应顺利进行。通过调整聚合过程中丙烯压力,改变丙烯单体在溶液中的浓度,作者实现了高达26.5mol%联烯含量的丙烯共聚物的合成,并且分别对得到的联烯均聚物和共聚物进行硼氢化-氧化反应,将双键高效转化为羟基,实现聚烯丙醇类似物和羟基含量高达26.5mol %的聚丙烯的合成。
该工作从催化剂和单体设计出发,结合DFT计算研究,对烯烃单体(联烯)反常规聚合行为进行详细研究,提出全新的反应机理,为烯烃聚合领域增添新活力;并为羟基化聚丙烯的合成策略提供新思路。以上成果近期发表于Angewandte Chemie(DOI:10.1002/anie.201914747)。论文的第一作者为中科院长春应化所博士生钟元昊。共同通讯作者为法国杜鲁兹大学的Laurent Maron教授(DFT计算),中科院长春应化所崔冬梅研究员和吴春姬副研究员。
论文链接:
https://doi.org/10.1002/anie.201914747
相关进展
中科院长春应化所崔冬梅课题组:极性邻氟苯乙烯高间规选择性共聚合取得新进展
中科院长春应化所崔冬梅研究员课题组在邻氟苯乙烯高间规选择性(共)聚合上取得新进展
中科院长春应化所崔冬梅研究员:稀土催化极性单体配位均聚及与非极性单体共聚的聚合行为和机理研究
高分子科技原创文章。欢迎个人转发和分享,刊物或媒体如需转载,请联系邮箱:info@polymer.cn
诚邀投稿
欢迎专家学者提供稿件(论文、项目介绍、新技术、学术交流、单位新闻、参会信息、招聘招生等)至info@polymer.cn,并请注明详细联系信息。高分子科技®会及时推送,并同时发布在中国聚合物网上。
欢迎加入微信群 为满足高分子产学研各界同仁的要求,陆续开通了包括高分子专家学者群在内的几十个专项交流群,也包括高分子产业技术、企业家、博士、研究生、媒体期刊会展协会等群,全覆盖高分子产业或领域。目前汇聚了国内外高校科研院所及企业研发中心的上万名顶尖的专家学者、技术人员及企业家。
申请入群,请先加审核微信号PolymerChina (或长按下方二维码),并请一定注明:高分子+姓名+单位+职称(或学位)+领域(或行业),否则不予受理,资格经过审核后入相关专业群。
点
这里“阅读原文”,查看更多

