来源:食品加 智食科技
乳液是由不相容的两相或两相以上液体组成的热力学不稳定分散体系。油水乳液是日常生活和工业应用中最常见的胶体体系之一,在食品、医药、石油化工等诸多领域有着极为广泛的应用。清洁标签高效乳化剂的开发、乳化机理的阐明、乳液稳定性与影响因素关系的多尺度耦合构建,一直是乳液研究的重点和难点。多尺度研究乳液稳定性在如下两个方面仍然是极具挑战性的基础科学问题和技术问题:

1)结构多尺度是多相多组分复杂流体乳液的固有属性,因此采用多尺度方法研究和构建乳液体系内部动力学、各尺度结构与性能之间的互作关系是乳液研究的固有要求。只有在对不同尺度下乳液性质的相关性进行耦合贯通分析的基础上,才能深入了解乳液性质、全景揭示多层级结构和多尺度性质的本质。而目前对乳液的研究还主要基于单个尺度上的孤立研究,未实现有效贯通。这导致对不同尺度间结构和性能关系的认知断层。
2)生物大分子乳化剂在液-液界面具有不同于小分子的独特吸附行为,所形成的梯度结构化膜是软物质界面,呈现出显著的粘弹性。因此,界面流变学方法的运用是乳液研究的必然要求,无疑也是揭示界面膜粘弹性对乳液稳定性影响的必由途径。然而,尽管界面张力、相密度差、液滴尺寸和分布、ζ-电位、连续相黏度、温度等因素对乳液稳定性的影响从定性和定量的角度有了长足发展,但迄今对界面膜粘弹性与乳液稳定性的互作关系仍处于探索阶段,专门性研究仍然十分薄弱,亦未有共识性结论。如何建立界面流变学性质与乳液稳定性之间的普适关系仍是巨大挑战。
为阐明界面膜粘弹性与乳液稳定性之间的关系,研究者在前期对四种典型的、具有一定结构和性质相似性(高水溶性、高分子量、高支化度、两亲性)多糖乳化剂(玉米纤维胶CFG、辛烯基琥珀酸酐改性淀粉、阿拉伯胶和水溶性大豆多糖)进行比较研究的基础上(Food Hydrocolloids, 2017, 64: 85-98;2017, 70: 329-344),近期以玉米纤维胶(CFG)的辛烯基琥珀酸酐(OSA)改性产物——玉米纤维胶酯(OSA-CFG)为模型乳化剂分子,从乳液结构域多尺度(图1)的角度,采用界面流变学和耗散型石英晶体微天平(QCM-D)等宏观微观探测技术,通过多尺度耦合分析,着重进一步揭示了界面膜粘弹性与乳液稳定性之间的关系,阐明了该类多糖乳化剂对植物油乳液的稳定机理。研究成果近日发表在Journal of Colloid and Interface Science(2020, 580: 480-492)上。

图1. 乳液的多尺度结构示意图。
研究者在对玉米加工副产品玉米麸皮的提取物——阿拉伯木聚糖CFG进行OSA疏水改性,获得不同酯化度(DE)OSA-CFG的基础上,采用界面剪切流变(图2)结合QCM-D(图3、图4)等手段研究了微观尺度下DE对油-水界面张力的降低、乳化剂吸附动力学和吸附量、界面粘弹性以及界面膜厚度的影响;针对不同DE乳化剂制备的大豆油乳液,通过动态光散射(DLS)和激光共聚焦扫描显微镜(CLSM)研究了介观尺度下DE对液滴尺寸及分布和ζ-电位的影响;采用稳定性分析仪(LUMiSizer)研究了宏观尺度下DE对乳液物理稳定性的影响(图5);最后将不同尺度研究结果进行了耦合分析,并将界面膜粘弹性与乳液稳定性相关联。
研究揭示,相较未改性CFG,酯化的OSA-CFG更能有效降低油-水界面张力(1%浓度下由33 mN/m降至25 mN/m),形成更厚、弹性和粘度更高的界面膜,制得的乳液物理稳定性更高,液滴更小、分布更均匀。乳液稳定性受乳化剂酯化度和浓度的双重复杂影响。在一定酯化度范围内(0~3.4%),乳液稳定性与酯化度、界面膜粘弹性、液滴尺寸有很好的对应关系。但当乳化剂浓度和酯化度较高(6.1%)时,尽管吸附量、界面膜厚度和粘弹性增加,但液滴易发生耗散絮凝,致使乳液稳定性降低。值得指出的是,上述界面膜粘弹性与乳液稳定性正相关的结论是在排除了体系相密度差、ζ-电位和连续相黏度影响干扰的情况下获得的。

图2. 天然CFG和酯化CFG稳定的大豆油-水界面的(a)界面剪切模量G'、G''、G*和tanδ随时间的变化(图中的插图对比了未改性CFG和改性CFG-4稳定的界面膜的G''和G*随时间的变化);b)界面动态频率扫描;(c)界面动态应变扫描和(d)界面剪切黏度随剪切速率下降(实心符号)和上升(空心符号)的变化和复数黏度(中心+符号)的对比。(图中各样品酯化度依次为:CFG-0, 0; CFG-1, 0.3%; CFG-2, 2.4%: CFG-3, 3.4%; CFG-4, 6.1%)

图3. QCM-D研究OSA-CFG在油-水界面的吸附行为示意图。

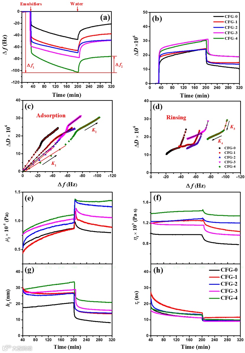
图4. 天然CFG和酯化CFG在大豆油涂覆的芯片表面吸附与冲洗过程中频率变化Δf(a)和耗散变化ΔD随时间的变化(3倍频)(b),在吸附(c)与冲洗(d)过程中ΔD-Δf图(K1、K2、K3和K4分别代表四个不同阶段的斜率)。通过Voigt模型拟合得到的天然CFG和OSA-CFG在吸附与冲洗过程中膜剪切弹性模量m(e)、剪切黏度 η(f)、声学厚度h(g)和松弛时间τ(h)随时间的变化。

图5. 天然CFG和酯化CFG稳定的5%大豆油乳液的透过率演化图(a)、乳化动力学(b)、乳液分层速率(c)和不稳定指数(d)。
基于发展的一类具有良好乳化性的玉米纤维胶酯为模型分子,首次将传统宏观界面流变学与能表征微观界面流变性质的QCM-D技术耦合运用,采用多尺度方法,研究了乳化剂的吸附动力学和界面膜流变学性质,揭示了乳化机理。同时证明了宏观和微观技术的流变表征结果具有良好一致性,实现了宏观和微观多尺度的耦合贯通分析。
将多糖乳化剂的界面流变学性质与乳液稳定性进行了有效关联。这种关联性的建立有助于深入了解界面膜粘弹性对乳液稳定性的影响,也为通过界面流变学性质的调控来有效预测和控制乳液性质提供了理论基础和技术途径。
不同尺度(微观、介观和宏观)和尺度类型(时间、空间和浓度)的研究需采用不同的表征技术手段,更需要不同技术手段间的有机结合和不同尺度间桥梁的建立。构建连贯多尺度的理论体系和模拟方法,才能准确预测、指导乳液结构设计与乳液功能设计,能动地调控乳液性质以服务于不同领域应用的差异化要求。
该研究得到“十三五”国家重点研发计划项目(2016YFD0400200)和国家自然科学基金(21274090,21774075)资助,上海交通大学化学化工学院博士生韦越为第一作者,张洪斌教授为通讯作者。
原文链接:
https://www.sciencedirect.com/science/article/pii/S0021979720309267
相关进展
上海交大张洪斌研究员:冷冻-解冻诱导的透明质酸凝胶化:与分子间相互作用及分子构象相关的冷冻结构化物理过程
中科院长春应化所韩常玉研究员课题组:可持续性聚丙撑碳酸酯/立构络合聚乳酸共混物的流变性能及耐热性能研究
免责声明:部分资料来源于网络,转载的目的在于传递更多信息及分享,并不意味着赞同其观点或证实其真实性,也不构成其他建议。仅提供交流平台,不为其版权负责。如涉及侵权,请联系我们及时修改或删除。邮箱:info@polymer.cn
诚邀投稿
欢迎专家学者提供稿件(论文、项目介绍、新技术、学术交流、单位新闻、参会信息、招聘招生等)至info@polymer.cn,并请注明详细联系信息。高分子科技®会及时推送,并同时发布在中国聚合物网上。
欢迎加入微信群 为满足高分子产学研各界同仁的要求,陆续开通了包括高分子专家学者群在内的几十个专项交流群,也包括高分子产业技术、企业家、博士、研究生、媒体期刊会展协会等群,全覆盖高分子产业或领域。目前汇聚了国内外高校科研院所及企业研发中心的上万名顶尖的专家学者、技术人员及企业家。
申请入群,请先加审核微信号PolymerChina (或长按下方二维码),并请一定注明:高分子+姓名+单位+职称(或学位)+领域(或行业),否则不予受理,资格经过审核后入相关专业群。
点
这里“阅读原文”,查看更多

