环氧树脂是一类重要的热固性材料,具有优异的电绝缘性、高粘结性、尺寸稳定性、耐腐蚀性等优点。作为涂料、胶黏剂、电子电器材料、土建材料等,环氧树脂已被广泛应用于工业各个领域(机械电子、航空航天、化学化工、船舶建筑、汽车军工、冶金轻工等)和人们的日常生活中。但环氧树脂具有不溶不熔的性质,在成型后无法再次加工。因此,环氧树脂的废弃物、老化物和损坏物难以回收再用,造成资源浪费和固废污染。
2011年,法国科学家Leibler提出了一种含动态酯键的环氧树脂(vitrimer,张希院士将其译为“类玻璃高分子”),为环氧树脂的回收降解和重复利用提供了一条有效途径。在室温下,因动态共价键的酯交换反应很慢,类玻璃高分子具有和普通的热固性环氧树脂材料一样的性质;但在高温下,由于酯交换反应很快(图1),类玻璃高分子的拓扑网络可改变(图2),此时类玻璃高分子如热塑性高分子般具有可塑性和可再加工性能(重塑形、焊接、回收利用、愈合等)。随后,很多基于其他动态共价键(二硫键、亚胺键、硅氧烷等)的环氧树脂类玻璃高分子被相继报道。因此,类玻璃高分子有望替代传统热固性环氧树脂而被广泛用于各个领域,这无疑将对减少资源浪费、降低环境污染起到非常重要的作用。

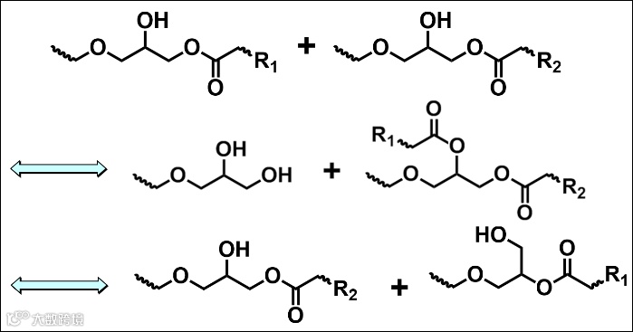
图1 酯交换反应示意图。

图2 交换反应使交联网络的拓扑结构可变化,从而使材料具有可再加工性能,如焊接、重塑形、自愈合等。
近日,为庆祝材料科学顶级期刊《Progress in Materials Science》创刊70周年,清华大学化学系危岩教授和吉岩副教授课题组应邀撰写了题为“Functional epoxy vitrimers and composites”的综述论文,梳理总结了近十年来环氧树脂类玻璃高分子领域的研究进展。该综述首先从环氧树脂类玻璃高分子及其复合材料的分类、合成方法和技术出发,详细介绍了含不同动态共价键(酯键、二硫键、亚胺键、硅氧键等)的环氧树脂类玻璃高分子,及其掺杂不同纳米颗粒(碳纳米管、石墨烯、多巴胺、金纳米球等)的环氧树脂类玻璃高分子复合材料,并总结了环氧树脂类玻璃高分子的合成方法和技术。之后重点介绍了动态共价键给环氧树脂带来的可再加工新功能。动态共价网络不仅使环氧树脂类玻璃高分子在外界刺激(光、热、电、磁等)下可变形、受损坏后可自愈合、可通过焊接获得复杂3D结构,还可通过热压使环氧树脂类玻璃高分子碎片重新成型、或用溶剂降解环氧树脂类玻璃高分子后重新交联成新材料而回收再用。随后,全面总结了环氧树脂类玻璃高分子的潜在应用。理论上,环氧树脂类玻璃高分子有望替代传统环氧树脂而被广泛应用于各个领域。动态共价键的存在还使环氧树脂类玻璃高分子有望用在3D柔性驱动器、柔性可穿戴器件、纳滤膜、生物润滑油等领域。最后,该综述分析了环氧树脂类玻璃高分子在实现实际应用过程中需要解决的困难和问题。
此外,近十年来,其他热固性类玻璃高分子材料的发展也十分迅速。它们和环氧树脂类玻璃高分子一样,具有优异的可再加工性能,这将为热固性材料领域带来重要的技术变革。
该论文通讯作者为清华大学化学系危岩教授和杨洋博士。该研究得到了国家自然科学基金的资助。
论文链接:Functional epoxy vitrimers and composites. Yang Yang, Yanshuang Xu, Yan Ji, Yen Wei. Progress in Materials Science (IF: 31.56,CiteScore: 47.1). DOI: 10.1016/j.pmatsci.2020.100710
https://www.sciencedirect.com/science/article/pii/S0079642520300748
相关进展
高分子科技原创文章。欢迎个人转发和分享,刊物或媒体如需转载,请联系邮箱:info@polymer.cn
诚邀投稿
欢迎专家学者提供稿件(论文、项目介绍、新技术、学术交流、单位新闻、参会信息、招聘招生等)至info@polymer.cn,并请注明详细联系信息。高分子科技®会及时推送,并同时发布在中国聚合物网上。
欢迎加入微信群 为满足高分子产学研各界同仁的要求,陆续开通了包括高分子专家学者群在内的几十个专项交流群,也包括高分子产业技术、企业家、博士、研究生、媒体期刊会展协会等群,全覆盖高分子产业或领域。目前汇聚了国内外高校科研院所及企业研发中心的上万名顶尖的专家学者、技术人员及企业家。
申请入群,请先加审核微信号PolymerChina (或长按下方二维码),并请一定注明:高分子+姓名+单位+职称(或学位)+领域(或行业),否则不予受理,资格经过审核后入相关专业群。
点
这里“阅读原文”,查看更多

