基于可交联的氢键型液晶体系构建纳米多孔聚合物具有制备方法相对简单、操作便捷以及相应孔径单一、可调的特点。当选择合适的模板分子时,制备所得的纳米多孔聚合物的孔径可以控制在1 nm左右,有望应用在选择性分离等方面,具有重要的应用前景。
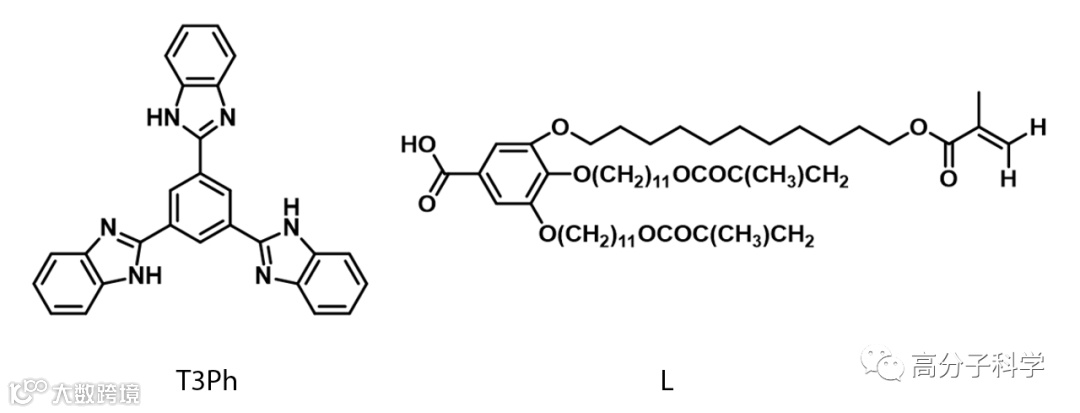
基于上述背景,北京大学化学与分子工程学院范星河教授课题组分别合成了模板分子T3Ph与配体分子L,化学结构式如图1所示。当模板分子和配体分子以1:3的摩尔比进行氢键复合后,可制备得到氢键复合物。将掺杂30 wt%二乙烯基苯(DVB)的氢键复合物进行广角X射线散射测试,在小角区可以观察到散射矢量比为1:√3:2的衍射峰,表明氢键复合物自组装形成了六方柱状相结构。

图1. 模板分子T3Ph与配体分子L的化学结构式
将掺杂DVB后的氢键复合物置于修饰有聚苯乙烯磺酸钠的玻璃片之间进行缓慢降温退火,可以制备得到垂直取向的氢键复合物薄膜。进一步光交联后将聚合物薄膜进行二维中角X射线散射(MAXS)测试(图2),可以观察到六次对称的衍射点,证明了其具有垂直取向的六方柱状相结构。

图2. 垂直取向的聚合物薄膜的二维MAXS图


图4. 纳米多孔聚合物对MB与MO混合溶液吸附前后的UV-Vis图
原文链接:
https://doi.org/10.1007/s10118-020-2431-9
来源:高分子科学
相关进展
免责声明:部分资料来源于网络,转载的目的在于传递更多信息及分享,并不意味着赞同其观点或证实其真实性,也不构成其他建议。仅提供交流平台,不为其版权负责。如涉及侵权,请联系我们及时修改或删除。邮箱:info@polymer.cn
诚邀投稿
欢迎专家学者提供稿件(论文、项目介绍、新技术、学术交流、单位新闻、参会信息、招聘招生等)至info@polymer.cn,并请注明详细联系信息。高分子科技®会及时推送,并同时发布在中国聚合物网上。
欢迎加入微信群 为满足高分子产学研各界同仁的要求,陆续开通了包括高分子专家学者群在内的几十个专项交流群,也包括高分子产业技术、企业家、博士、研究生、媒体期刊会展协会等群,全覆盖高分子产业或领域。目前汇聚了国内外高校科研院所及企业研发中心的上万名顶尖的专家学者、技术人员及企业家。
申请入群,请先加审核微信号PolymerChina (或长按下方二维码),并请一定注明:高分子+姓名+单位+职称(或学位)+领域(或行业),否则不予受理,资格经过审核后入相关专业群。
点
这里“阅读原文”,查看更多

