芳香族聚酮因其独特的结构与性能,受到了的广泛关注。芳香族聚酮一般是通过钯催化剂催化苯乙烯类单体与一氧化碳(CO)交替配位共聚得到,具有严格的交替结构。[N,N]二齿型的钯催化剂是催化芳基烯烃/CO交替共聚的有效催化剂,能够制备得到不同立构规整度的芳香族聚酮材料。其中,α-二亚胺钯催化剂作为一种典型的[N,N]二齿配位的钯催化剂体系受到了广泛的研究。一般α-二亚胺钯催化乙烯聚合需要一个大位阻的芳胺基团来提高催化活性和抑制链转移反应来增强聚合物分子量。不同于α-二亚胺钯催化乙烯聚合,α-二亚胺配体芳胺上大的邻位取代基与苯乙烯类单体的存在着空间排斥作用,通常会降低催化剂的活性;小邻位取代基尽管有利于苯乙烯类单体的配位插入,但是催化剂的稳定性会降低,同时容易发生链转移反应而降低产物分子量。
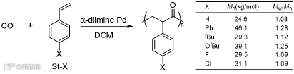
在前期研究中,中山大学高海洋教授课题组采用大位阻骨架的策略,合理的解决了α-二亚胺钯催化苯乙烯和CO聚合中上述的难题。作者设计合成的大位阻二苯并桶烯骨架的α-二亚胺钯催化体系,实现了催化苯乙烯与CO活性交替共聚合(Macromolecules 2018, 51, 9110-9121)。由于后过渡的钯金属对极性单体显示出了良好的容忍性,在前期研究的基础上,高海洋教授课题组继续采用二苯并桶烯骨架的α-二亚胺钯催化体系,催化对位含有不同取代基的苯乙烯单体(St-X, X = H, Ph, tBu, OtBu, F, Cl)。

图1. 芳香族聚酮的合成路线。
研究结果发现,对位引入的不同取代基,特别是极性的基团,并不会与钯金属中心发生作用,共聚合依然能够活性方式进行,制备得到一系列分子量可控、分子量分布窄的芳香族聚酮(Mn = 24.6-96.0 kg/mol, Mw/Mn < 1.20)。所得芳香族聚酮为无规共聚物,其玻璃化转变温度受对位取代基位阻效应调控(H < F < OtBu < Cl < tBu < Ph),范围在109~148 °C。
令人惊奇的是,实验中发现这类芳香族聚酮虽然没有共轭结构,但是能够在紫外光的激发下发出蓝色荧光。这类芳香族聚酮合成的单体来源丰富简单,同时也是一种可降解的塑料,预期在光转化能源利用方面具有良好的应用前景。因而作者进一步深入研究了芳香族聚酮的荧光性能及发光机理。

图2. 芳香族聚酮的非典型发光。
在365nm紫外光照下,芳香族聚酮固体粉末及其四氢呋喃溶液均可产生蓝色荧光。以最简单的苯乙烯/一氧化碳交替共聚物为例,其稀溶液不发光(<1.25 × 10-3 M),而其浓溶液和固体发光,最大发射波长为429nm,并表现出浓度增强发光,紫外可见光谱和动态光散射结果证实,随浓度上升,有聚集体的形成。除此之外,芳香族聚酮溶液和固体的荧光性能还受激发波长的影响,这些结果暗示着芳香族聚酮发光遵循簇集发光机理(Clusterization-Triggered Emission,CTE)。

图3. 不同浓度的芳香族聚酮溶液的荧光光谱(A)和紫外-可见吸收光谱(B);不同激发波长下芳香族聚酮溶液(C)和固体的荧光光谱(D)。
羰基和苯环之间的相互作用可能是芳香族聚酮发光的来源。由于芳香族聚酮具有严格交替的结构,链结构上存在着苯环-羰基直接链接的α-单元和苯环-羰基间隔链接的β-单元。作者合成了α-单元和β-单元对应的小分子模型化合物,并进一步研究了小分子模型化合物的荧光性能。荧光光谱显示,小分子模型化合物与芳香族聚酮的最大发射波长几乎一致,聚酮聚合物的荧光谱图应该是两种小分子模型化合物荧光谱图叠加的结果。因而羰基和苯环的作用应该是芳香聚酮能发荧光的原因。除此之外,DFT理论计算也表明,羰基和苯环紧密排列,其相互作用可能是非典型发光的来源。

图4. (A)共聚物结构上的两种重复单元及其对应小分子模型,(B)共聚物与小分子模型的荧光光谱。
为了获得更直接的证据,作者培养了小分子模型的单晶结构。单晶结构分析进一步显示,除了预期的O=C···Ph,C=O···Ph等相互作用外,还存在C=O···H-Ph氢键。该共聚物的非典型发光正是由以上分子间作用形成的空间电子传输导致,而氢键能促进簇集的形成,并能进一步促进这些作用的形成,从而有利于发光。此外,单晶堆积结构还显示,聚合物链间羰基和苯环的相互作用,以头-尾的方式为主。

图5.(A)小分子模型的单晶结构;(B)头-头和(C)头-尾两种堆积方式。
此外,上述制备的不同取代的芳香聚酮有着不同的最大发射波长(407-458 nm)和量子产率,对位含氯的芳香族聚酮量子产率最高,可达44.8%。一方面,通过引入取代基电子效应的不同,可以调控苯环上的电子云密度,进而调控羰基与苯环间的跨空间电子传输,直接影响荧光性能。另一方面,引入氟、氯、氧等杂原子后,可能还会产生新的分子间相互作用,从而促进簇发光团的形成,使得荧光增强。

图6. 发光机理的示意图。
以上相关成果以“Alternating Vinylarene−Carbon Monoxide Copolymers: Simple and Efficient Nonconjugated Luminescent Macromolecules”为题发表在Macromolecules 2020, 53, 9337–9344上,该论文第一作者为中山大学材料科学与工程学院博士研究生杜诚,通讯作者为高海洋教授。该项工作得到了国家自然科学基金(51873234,21674130)的资助。
论文链接:
https://pubs.acs.org/doi/abs/10.1021/acs.macromol.0c01792
相关进展
中山大学高海洋教授课题组:受限空间镍钯催化剂的设计合成及催化烯烃聚合
中山大学高海洋教授课题组在钯催化烷氧基苯乙烯配位聚合取得新进展
中山大学高海洋教授课题组: α-二胺基镍配合物催化α-烯烃高区域选择性聚合
高分子科技原创文章。欢迎个人转发和分享,刊物或媒体如需转载,请联系邮箱:info@polymer.cn
诚邀投稿
欢迎专家学者提供稿件(论文、项目介绍、新技术、学术交流、单位新闻、参会信息、招聘招生等)至info@polymer.cn,并请注明详细联系信息。高分子科技®会及时推送,并同时发布在中国聚合物网上。
欢迎加入微信群 为满足高分子产学研各界同仁的要求,陆续开通了包括高分子专家学者群在内的几十个专项交流群,也包括高分子产业技术、企业家、博士、研究生、媒体期刊会展协会等群,全覆盖高分子产业或领域。目前汇聚了国内外高校科研院所及企业研发中心的上万名顶尖的专家学者、技术人员及企业家。
申请入群,请先加审核微信号PolymerChina (或长按下方二维码),并请一定注明:高分子+姓名+单位+职称(或学位)+领域(或行业),否则不予受理,资格经过审核后入相关专业群。
点
这里“阅读原文”,查看更多


