许多功能聚合物材料在常温条件下缺乏延展性。使这些材料具有弹性和柔韧性是一项具有挑战性的工作,此类工作对于包括柔性电子器件,分离膜在内的广泛应用中尤其有意义。聚离子液体(PILs),例如基于乙烯基咪唑鎓的聚合物,在固态、凝胶态电解质和离子导电膜等领域有较为广泛的应用,然而此类聚合物在常温条件下因其处于“玻璃态”故具有脆性,此种性质极大地限制了此类聚合物在可拉伸器件,柔性分离膜等领域的应用。
针对该问题,美国能源部橡树岭国家实验室曹鹏飞研究员团队通过优化聚合物结构设计,利用支链被氨基修饰的聚二甲基硅氧烷衍生物作为主链,双端基由异氰酸酯修饰的PDMS为交联剂,通过在主链上使用可逆加成断裂链转移(RAFT)聚合离子液体单体实现了聚离子液体的接枝,并通过RAFT聚合聚乙二醇甲基丙烯酸酯(PEGMA)调控玻璃化转变温度(Tg),制备了一系列兼具可拉伸性,离子传导功能和气体分离功能的聚合物(CL-PDMS-poly(VIMTFSI-r-PEGMA)等)。并通过调节反离子的种类实现了拉伸强度和离子电导率的调控。通过此法制备的可拉伸聚离子液体薄膜 (E-PILs) 具备良好的机械性能,应变最高达到了422%。


图1. E-PILs的合成路线。
作者依据此法(见图1)制备了九种不同的可拉伸聚离子液体薄膜。研究发现,同时接枝PILs和PEGMA 的样品(样品2,4,7,9,见表1)相比于仅在PDMS骨架上接枝PILs的样品均表现出了低于室温的Tg, 更低的Tg代表上述样品的的分子活动性大幅增加,从而改变了PILs常温状态下的物理性质。
通过研究所有样品在不同温度下的流变学特性,研究团队确认了在相同温度下含有PEGMA的样品相较于同类对照样品均拥有较短的松弛时间,因而可以期待具有更好的弹性。在宏观尺度下,通过进行拉伸实验,获得了其在室温下的应力-应变曲线(见图2),从数据可知:仅在PDMS骨架上接枝PILs的样品的应变仅在5%左右,显示出了相当的脆性。而同时接枝PILs和PEGMA 的样品(样品2,4,7,9)的应变显著地提高到了122%到423%不等,这些样品同时还维持了0. 5MPa左右的极限拉伸强度。由此可以看出,此分子设计可以有效地提升聚离子液体在室温下的柔性并保持其机械强度。
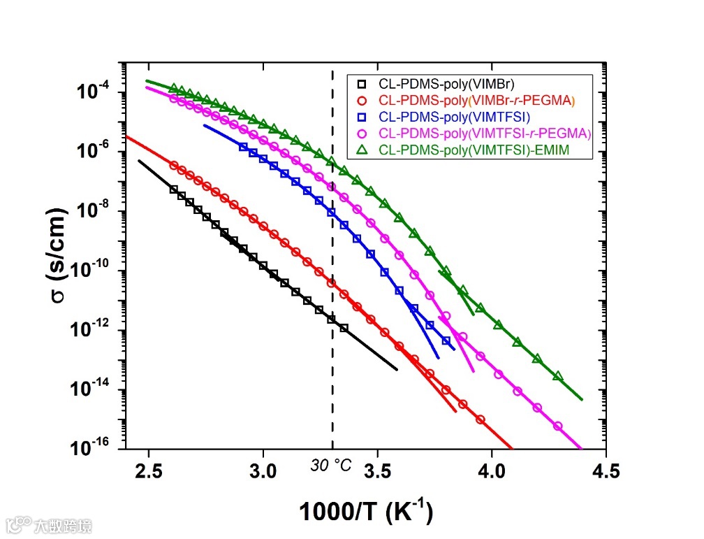
样品在不同温度下的离子电导率数据由宽频介电谱仪测得(见图3)。由于分子的活动性增加,同时接枝PILs和PEGMA 的样品在室温下的离子电导率显著增加。为了进一步研究PILs与PEGMA的配比对离子电导率的影响,作者还合成了两种不同PILs与PEGMA配比的样品,测试可得PILs与PEGMA的最优摩尔配比为40:10,此结果的原因为此配比使得在室温下的提高高分子链段活动性和离子浓度对提高离子电导率的协同效应达到了最大值,使得该配比的样品在室温下获得了最高的离子电导率。
表1. E-PIL的各项物理性质。


图2. (a)E-PIL的应力应变曲线,(b)E-PIL的拉伸演示图片。

图3. E-PILs的离子电导率对应不同温度的曲线。
聚离子液体的另一项重要应用是气体分离膜领域,尽管很多工作致力于提高聚离子液体的气体分离效率,但此类材料的脆性阻碍了其在工业领域的应用,制备一种柔性的气体分离膜即成为了一种合理的解决方案,文中的CL-PDMS-poly(VIMTFSI)-EMIM样品展示出了较高的CO2透过性(158 Barrer)和CO2/N2选择性(CO2/N2=32)(见图4),因此可以认为此柔性气体分离膜有较好的应用前景。本文中还讨论了不同反离子对E-PILs气体分离效率的影响。

图4. 部分E-PILs样品的气体分离测试数据,黑色柱状图代表二氧化碳透过率, 红色柱状图代表氮气透过率,蓝色数值为以上二者比值。
综上所述,通过优化交联聚离子液体的分子设计,可以有效得提升并调控聚合物的链段运动能力,从而赋予聚离子液体优秀的室温拉伸性能。在此基础上,此柔性聚合物薄膜表现出了兼具高伸长率、高离子电导率和高效的气体分离能力,为未来拓展聚离子液体的应用提供重要的实践基础。

图5. 文章封面
相关研究工作以“Rational Polymer Design of Stretchable Poly(ionic liquid)
Membranes for Dual Applications” 为题作为前封面文章在线发表在Macromolecules上(DOI:10.1021/acs.macromol. 0c02335)。论文的第一作者为美国田纳西大学Bredesen Center学院博士研究生李炳睿,通讯作者为美国橡树岭国家实验室Tomonori Saito研究员和曹鹏飞研究员。
This study was supported by the U.S. Department of Energy, Office of Science, Basic Energy Sciences, Materials Sciences and Engineering Division.
该工作得到了美国能源部科学研究室,基础能源科学下属材料科学与工程分部的资金支持。
原文链接:
https://dx.doi.org/10.1021/acs.macromol.0c02335
相关进展
高分子科技原创文章。欢迎个人转发和分享,刊物或媒体如需转载,请联系邮箱:info@polymer.cn
诚邀投稿
欢迎专家学者提供稿件(论文、项目介绍、新技术、学术交流、单位新闻、参会信息、招聘招生等)至info@polymer.cn,并请注明详细联系信息。高分子科技®会及时推送,并同时发布在中国聚合物网上。
欢迎加入微信群 为满足高分子产学研各界同仁的要求,陆续开通了包括高分子专家学者群在内的几十个专项交流群,也包括高分子产业技术、企业家、博士、研究生、媒体期刊会展协会等群,全覆盖高分子产业或领域。目前汇聚了国内外高校科研院所及企业研发中心的上万名顶尖的专家学者、技术人员及企业家。
申请入群,请先加审核微信号PolymerChina (或长按下方二维码),并请一定注明:高分子+姓名+单位+职称(或学位)+领域(或行业),否则不予受理,资格经过审核后入相关专业群。
点
这里“阅读原文”,查看更多


