可逆失活自由基聚合(RDRP)技术的发展从根本上改善了自由基聚合在设计和合成复杂结构大分子方面的能力。RDRP面临的挑战主要来源于不可避免的自由基双基终止反应,这将导致聚合度分布变宽而链末端功能化程度下降。降低自由基浓度固然可以抑制链终止的发生,但也将使聚合速率变慢,从而延长了反应时间,两者难以兼顾,这对于RDRP的工业化应用是不利的。最近,José M. Asua教授团队发表了题为“Can We Push Rapid Reversible Deactivation Radical Polymerizations toward Immortality?”的文章,通过建立数学模型深入分析了RDRP的动力学特征,模型考虑了自由基扩散效应对竞争反应的影响。他们的结果表明,若链自由基快速失活,快速RDRP体系中链终止的程度将显著降低。
作者首先注意到Jones在2016年报道的一项Cu(0)介导的丙烯酰胺自由基聚合工作。当反应温度为5 ℃,单体浓度为10 wt%,并设定目标聚合度为80时,聚合转化率仅在2 min内就达到>95%,但聚合体系的活性和可控程度仍保持良好。式(1)给出了经典聚合动力学模型预测的死聚物分率(DCF)表达式:
式中,DPT是给定的目标聚合度,X是聚合转化率,[M]0是初始单体浓度,t是反应时间,kp和kt分别是链增长和链终止的反应速率常数。将实验条件与kp和kt的文献值代入式(1),同时考虑了终止反应速率的链长依赖性,得出的DCF预测值(2min时DCF为20%)明显远高于实验结果。上述事实说明,传统的动力学理论并不能很好地解释该快速聚合体系中链终止受抑制的现象。
实际上,经典的化学反应动力学隐含了化学反应是Markov过程的假设,即反应过程是无记忆的,反应速率仅取决于当前时刻体系的状态。此时,反应概率密度函数

服从指数分布的形式,这里t定义为当前时刻到下一次反应发生的时间间隔,τ为反应特征时间。作者提出,由于链自由基的扩散速率较慢,还需要引入扩散步骤的概率密度函数

来描述分子扩散对化学反应的影响,其中NA为Avogadro常数,[R]为链自由基浓度,D为链自由基的扩散系数。从而,考虑链自由基扩散控制的反应概率密度函数被修正为
表1 反应物A所经历的三个平行竞争反应。其中,反应I对应的是链增长反应(τ1=1×10-4 s),反应Ⅱ对应链终止反应(τⅡ = 5×10-4 s),反应Ⅲ对应链自由基的失活反应(τⅢ = 5×10-5 s)。


图1 (a)不考虑分子扩散的经典反应动力学(b)考虑分子扩散影响的反应概率密度函数曲线。其中,黑色曲线代表反应I(快反应,τ1= 1×10-4 s),红色曲线代表反应Ⅱ(慢反应,τⅡ= 5×10-4 s),蓝色曲线代表反应Ⅲ(快反应,τⅢ= 5×10-5 s)。
作者认为,式(4)相较于传统的式(2)更能准确地描述RDRP体系的反应动力学特征。具体地,他们考虑了给定的反应物A(对应链自由基)的3个平行竞争反应,如表1所示。图1(a)和(b)分别作出了不考虑自由基扩散(式2)和考虑扩散(式4)的反应概率密度函数曲线。可以看到,图1(a)所示的反应概率在初始时刻t=0达到最大,此后一直呈指数衰减;而图1(b)所示的反应概率在初始时刻t=0为零,当t较小时随时间推移而增加(受扩散控制),直到当t远大于扩散特征时间时呈指数衰减(受化学反应控制),与经典动力学预测的行为一致,该分布类似于亚指数(hypoexponential)分布。

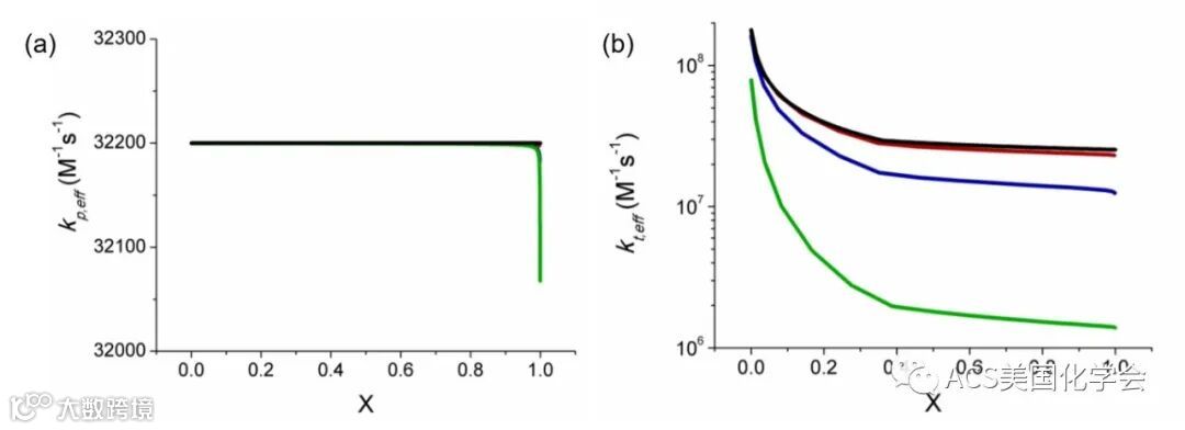
图2 失活反应速率常数kdeact对(a)链增长(b)链终止表观速率常数的影响(X为聚合转化率,黑色曲线:经典反应动力学的预测结果;红色曲线:kdeact= 1×106 M-1 s-1,蓝色曲线:kdeact= 1×107 M-1 s-1,绿色曲线:kdeact= 1×108 M-1 s-1,均应用了式4考虑链自由基扩散效应)
作者从反应概率密度函数出发,计算了反应物A对快反应I和慢反应Ⅱ的相对选择性ΨI。结果表明,式(2)预测的ΨI值与竞争反应Ⅲ的存在无关,但若应用式(4)考虑自由基扩散的影响,则ΨI与Ⅲ的速率有关,且反应Ⅲ越快,影响就越明显。如图2所示,对于Jones报道的聚合体系而言,链自由基的快速失活虽然对较快的链增长(反应I)速率影响较小,但显著降低了较慢的链终止(反应Ⅱ)速率,从而使体系的死聚物分率(DCF)显著下降,在一定程度上解释了Jones的实验现象,这是经典的反应动力学观点所无法做到的(图3)。

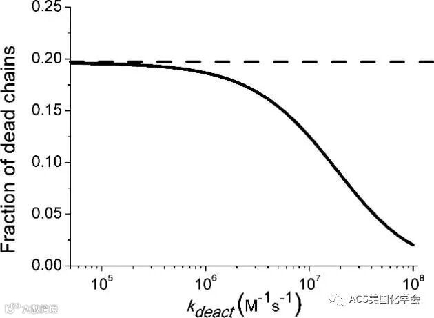
图3 失活反应速率常数kdeact对DCF的影响(虚线:经典反应动力学的预测结果,实线:考虑链自由基扩散效应的预测结果)。数据来自Jones的工作,反应时间为2 min。
根据失活速率常数kdeact与DCF的关系,作者还估计了该体系的kdeact值,其处于合理范围内并与文献报道的结果(1.1×107 M-1s-1)接近,进一步支持了他们的理论。最后,作者仍以Jones的聚合体系为例,给出了不同转化率及聚合时间下的DCF预测结果,如图4所示,当链自由基迅速可逆失活时(kdeact= 1×108 M-1 s-1),体系能在很短时间内达到高转化率,同时最大程度地抑制链终止反应的发生。

图4 不同反应时间与聚合转化率(X)下的DCF预测结果:(a)经典反应动力学,(b)kdeact = 1×107M-1 s-1(c)kdeact = 1×108 M-1s-1。(b)(c)均应用了式4考虑链自由基扩散效应。
总之,作者提出了一种新颖的聚合动力学建模方法,通过考虑链自由基扩散对化学反应的影响,较好地解释了Cu(0)介导的丙烯酰胺RDRP体系中链终止受抑制的快速聚合现象,这是经典的动力学观点无法做到的。他们从理论上表明,若链自由基能够迅速失活,将可能允许在较高的自由基浓度下进行快速聚合,而不至于生成很多的死聚物链,这为未来的RDRP研究提供了崭新的视角,以探索更多的可能性。
原文链接:
https://pubs.acs.org/doi/10.1021/acsmacrolett.9b00878?ref=acswechat
相关进展
复旦大学陈茂团队JACS:光催化可控自由基聚合精确合成主链含氟交替共聚物
免责声明:部分资料来源于网络,转载的目的在于传递更多信息及分享,并不意味着赞同其观点或证实其真实性,也不构成其他建议。仅提供交流平台,不为其版权负责。如涉及侵权,请联系我们及时修改或删除。邮箱:info@polymer.cn
诚邀投稿
欢迎专家学者提供稿件(论文、项目介绍、新技术、学术交流、单位新闻、参会信息、招聘招生等)至info@polymer.cn,并请注明详细联系信息。高分子科技®会及时推送,并同时发布在中国聚合物网上。
欢迎加入微信群 为满足高分子产学研各界同仁的要求,陆续开通了包括高分子专家学者群在内的几十个专项交流群,也包括高分子产业技术、企业家、博士、研究生、媒体期刊会展协会等群,全覆盖高分子产业或领域。目前汇聚了国内外高校科研院所及企业研发中心的上万名顶尖的专家学者、技术人员及企业家。
申请入群,请先加审核微信号PolymerChina (或长按下方二维码),并请一定注明:高分子+姓名+单位+职称(或学位)+领域(或行业),否则不予受理,资格经过审核后入相关专业群。
点
这里“阅读原文”,查看更多


