聚合物纤维是纺织、复合材料、生物医学等领域中的重要材料之一,纤维结构的多孔性和空间定向性为空气、养分乃至细胞提供了迁移途径,这种性质对于生物材料(如绷带、组织工程)至关重要。尽管合成纤维已经在仿生材料中得到广泛应用,但相较于天然纤维(蛛丝、蚕丝),人造合成纤维的效率和机械性能无法与之媲美。此外,传统生产方法合成的纤维在加工和生物相容性方面仍面临挑战,特别是亲水聚合物的合成,往往成本很高,对有机溶剂依赖性强,粘性聚合物溶液的操作也很困难。本工作中,作者报道了一种操作简单且节能的从水溶液中制备聚合物纤维的方法,由透明质酸(hyaluronic acid, HA)和末端苯硼酸功能化的支化聚合物形成动态交联网络(图1),从而产生动态纤维前体(dynamic fiber precursors, DFPs),通过抽拉DFPs得到干燥且肉眼可见的纤维,解决了常规方法缺少亲水性和高粘度的问题。通过改变硼酸功能化聚合物的取代基和占比,可改变DFPs的流变性能与HA纤维的力学性能。该方法有望进一步扩展,成为在低能耗和水溶液中生产仿生可调聚合物纤维的常规手段,用于开发仿生材料(如人工肌肉)。

图1. 苯硼酸功能化交联剂与透明质酸形成动态交联网络
首先作者合成了多种末端为苯硼酸取代的四臂动态交联剂(图1),他们的手臂均由低聚乙二醇组成,但苯环上含有不同电子效应的取代基。低分子量的交联剂与高分子量的HA混合可得到粘稠可延展的流体前体(DFPs),且通过抽拉能形成肉眼可见的圆柱状纤维(图2a, 2b)。这种共价交联方式十分依赖于苯硼酸基团,如果交联剂末端为氨基或马来酰亚胺均无法与HA混后抽拉成纤,但将HA替换为海藻酸仍能达到成纤的效果,这也证明了该方法对于多糖类物质的普适性。借助偏振光显微镜可以观察到纤维中的双折射现象(图2c),这说明了纤维在轴向上的各向异性;另外在DFPs中混入荧光微粒仍不影响成纤效果(图2d),这证明了其在复合材料和药物递送方面的应用潜力。

图2. DFPs的成纤能力与结构表征
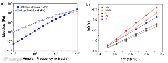
随后作者进行了流变学实验来研究苯硼酸上的不同取代基对成纤效果的影响。之前有研究表明,苯硼酸的pKa越低,苯硼酸负离子越稳定,苯硼酸与二醇的反应就更容易发生,也就更利于交联的形成。首先作者对不同的DFP进行动态振荡扫频测量,如图3a所示,储能模量与耗散模量的交点处代表着体系类液态和类固态的转变点,它与凝胶的强度有关。交点处频率取倒数可得到弛豫时间τ,代表着材料解交联运动的时间尺度。实验结果表明,不同取代的苯硼酸对应的DFP在室温25℃下测得的τ值并无明显变化差异,但弛豫时间τ对温度的依赖性关系却与苯硼酸取代基有关。作者测量了不同温度下的不同苯硼酸体系的弛豫时间τ,并根据τ与温度间的最符合的线性阿伦尼乌斯关系,用动力学方法得到了解交联过程的活化能。如图3b所示,给电子取代基有着较高的解交联活化能(斜率大),而吸电子取代基有着较低的解交联活化能(斜率小),这与之前设想中苯硼酸pKa与共价交联强度的关系相符。

图3. 流变学实验探究苯硼酸取代基对成纤能力的影响
接着作者探究了不同取代基与抽拉成纤长度之间的关系。如图4a所示,含甲基和甲氧基取代的DFP有着最高的解交联活化能,抽拉成纤长度达1-3 m,而有着更低能垒的吸电子取代基的DFP成纤长度可大于5 m,这表明解交联活化能越低,纤维延展性越好,成纤长度越长。除了苯硼酸的取代基,PEG手臂和HA的聚合物质量比也是调控纤维性质的变量之一。如图4b所示,横坐标中一个x单位表示每个HA重复单元对应2个苯硼酸基团(无取代),随着交联剂的减少(从0.5x到2x),最大成纤长度也随之减少。

图4. 聚乙二醇与HA聚合物质量比对成纤能力的影响
随后作者对不同化学取代基,不同聚合物质量比下得到的纤维进行了包括应力应变曲线、拉伸强度、极限应变、弹性模量的测量(图5),进一步探索了纤维性能的可调性。此外该方法获得的纤维还具有湿度响应性,水分的重新进入会破坏纤维结构,从而诱发熵弹性主导的收缩,暴露在潮湿环境中的聚合物纤维能在15 min收缩至原长度的约25%,且失去交联结构的纤维甚至具有在水溶液中溶解的可能,是一种达成材料降解和回收的潜在策略。

图5. 纤维性质的调节与材料性能参数的测量
总的来说,作者开发了一种低能耗,无需有机溶剂的纤维制备方法,该纤维基质由一种苯硼酸功能化的聚乙二醇四臂交联剂和透明质酸(HA)构成,其中HA还能替换成海藻酸,表明该策略对多糖类纤维具有普适性。通过实验验证,改变苯硼酸上的取代基,和改变聚乙二醇四臂和HA的聚合物分子量之比,均可调节纤维材料的性质,该纤维还具有湿度响应性,在生物材料领域有很大应用前景。
该项研究以Chemical Tuning of Fibers Drawn from Extensible Hyaluronic Acid Networks为题发表在J. Am. Chem. Soc.上。文章的通讯作者是Massachusetts Institute of Technology的Daniel G. Anderson。
原文链接:
https://pubs.acs.org/doi/10.1021/jacs.0c09691
相关进展
东华大学廖耀祖教授课题组《Chem. Mater.》:共轭微孔聚合物纤维状柔性可穿戴式储能器件
复旦大学俞燕蕾教授团队《Adv. Funct. Mater.》:光化学相转变联手形状记忆效应打破液晶聚合物纤维的光致收缩记录!
免责声明:部分资料来源于网络,转载的目的在于传递更多信息及分享,并不意味着赞同其观点或证实其真实性,也不构成其他建议。仅提供交流平台,不为其版权负责。如涉及侵权,请联系我们及时修改或删除。邮箱:info@polymer.cn
诚邀投稿
欢迎专家学者提供稿件(论文、项目介绍、新技术、学术交流、单位新闻、参会信息、招聘招生等)至info@polymer.cn,并请注明详细联系信息。高分子科技®会及时推送,并同时发布在中国聚合物网上。
欢迎加入微信群 为满足高分子产学研各界同仁的要求,陆续开通了包括高分子专家学者群在内的几十个专项交流群,也包括高分子产业技术、企业家、博士、研究生、媒体期刊会展协会等群,全覆盖高分子产业或领域。目前汇聚了国内外高校科研院所及企业研发中心的上万名顶尖的专家学者、技术人员及企业家。
申请入群,请先加审核微信号PolymerChina (或长按下方二维码),并请一定注明:高分子+姓名+单位+职称(或学位)+领域(或行业),否则不予受理,资格经过审核后入相关专业群。
点
这里“阅读原文”,查看更多


