多孔液体(Porous liquids, PLs)是一种具有永久性孔隙结构且呈现宏观液体状态的新型多孔材料,其综合了多孔固体材料的有序孔道结构和液体的连续性、传质性等优点,在气体捕集与分离、催化、光热转换等方面表现出巨大的应用潜力。目前,多孔液体的研究仍处于起步阶段,还存在很多难题亟待解决,如多孔客体的结构塌陷、分子间自填充、多孔客体的团聚、粘度过大、熔点过高等,这严重阻碍了多孔液体的工程应用。
为解决以上难题,西北工业大学化学与化工学院郑亚萍教授团队在前期多孔液体与无溶剂纳米流体研究工作的基础上,研发了一种采用双阳离子离子液体(dicationic ionic liquids, DILs)作为位阻溶剂构筑新型ZIFs基低粘度和低熔点特性的III型多孔液体材料。该类ZIFs基多孔液体材料巧妙结合了固体吸附剂ZIFs的多孔性和离子液体流动性等优点,其粘度(543.4 mPa·S ,25ºC)比以往报道的III型多孔液体降低了20多倍,且熔点低至-64ºC,为设计超低粘度与熔点的新型多孔液体开辟了一条新的途径,也为工业气体吸附与分离提供了新的研究思路。

Scheme 1. Illustration of synthesis strategy for ZIFs-based porous liquids.
离子液体(ionic liquids, ILs)因其具有低粘度、低熔点、“0”蒸气压、优异的化学和热稳定性、低比热容、无毒、极高的气体扩散系数和无腐蚀性等特点,被誉为“绿色溶剂”。相较于传统单阳离子液体(monocationic ionic liquids, MILs),DILs在分子尺寸、粘度和熔点等方面具有更高的可设计性,这无疑为设计低粘度、低熔点的多孔液体提供了一种新的思路。但目前使用DILs作为位阻溶剂构筑多孔液体的研究却鲜有报道。
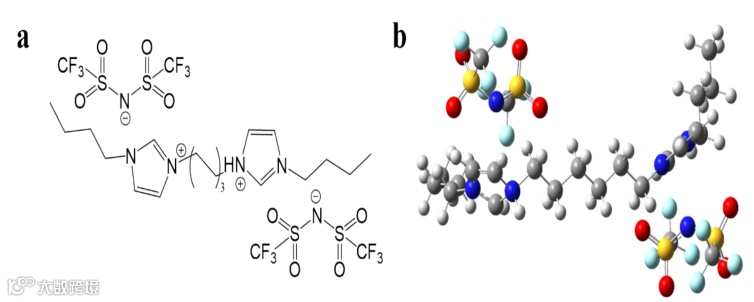
该研究巧妙设计合成了一种对称型 [C6BIm2][NTf2]2位阻溶剂(结构如Figure 1),其在较大的分子尺寸下,仍表现出优异的液体流动性。将ZIFs多孔纳米颗粒直接分散于[C6BIm2][NTf2]2位阻溶剂中,通过非共价键作用将ZIFs纳米粒子稳定分散于位阻溶剂中,获得ZIFs基多孔液体。

Figure 1. The molecular formula of [C6BIm2][NTf2]2 and view of optimized molecular conformation of [C6BIm2][NTf2]2 calculated via the Hartree-fork (Optimization) method (C: gray, N: blue, O: red, S: yellow, F: cyan).
利用上述方法,郑亚萍课题组制备得到了一系列低粘度ZIFs基多孔液体材料。通过低压CO2、甲苯、N2吸附等温线证明了ZIFs材料的吸附特性在多孔液体中得以完美保留。同时,结合分子模拟进一步证明了ZIFs基多孔液体中永久性孔隙结构的保持。得益于DILs溶剂的优良特性,首次实现了Ⅲ型多孔液体吸附剂材料粘度低至543.4 mPa·S(25℃),且在-64 ℃下仍具有流动性,拓展了其在极寒的环境下的应用前景(Figure 2)。更重要的是,离子液体丰富的阴阳离子可设计性,可将其扩展到MOFs、COFs、metal-organic polyhedral (MOP)等先进多孔材料为客体的多孔液体的设计中,这无疑为制备具有低粘度、低熔点的PLs开辟了一条新的道路,进一步推动了PLs在气体捕集和分离、催化等领域的发展。

Figure. 2 (a) the plots of the viscosity versus temperature for PLs from this work and previous literatures, namely, light purple oval for type Ⅰ, light yellow oval for type Ⅱ and light blue oval for type Ⅲ date results from other works, and light green oval for results from this work, (b) DSC curves of [C6BIm2][NTf2]2 and ZIF-67-PLs with different loading of ZIF-67 (2 wt%, 5 wt%, 10 wt%) measured under N2 atmosphere.
本工作近期以“Zeolitic imidazolate frameworks-based porous liquids with low viscosity for CO2 and toluene uptakes”为题在线发表于国际权威期刊《Chemical Engineering Journal》 (工程技术一区Top期刊,2020 即时 IF=12.9),论文第一作者为2019级博士研究生李晓倩,西北工业大学为论文的第一完成单位;西北工业大学化工学院郑亚萍教授、姚东东副教授为本文通讯作者,西安交通大学化学工程与技术学院李明涛教授为共同通讯作者。本研究得到了国家自然科学基金(NO.21905228, 21978231)与航空科学基金(NO.2018ZF53065)的支持。
在本文研究基础上,目前该研究团队正在进行以共价有机框架材料(COFs)、金属有机笼(MOPs)等先进多孔材料为客体、新型离子液体为位阻溶剂的新型多孔液体的研究,同时开展二维MXene基无溶剂纳米流体的设计与合成,并探索其在气体捕集、催化、光热转换、聚合物基复合材料等方面的应用。目前,多项性能测试已取得了阶段性成果。
论文信息及链接:
X.Q. Li, D.C. Wang, Z.J. He, F.F. Su, N. Zhang, Y.Y. Xin, H.N. Wang, X.L. Tian, Y.P. Zheng*, D.D. Yao*, M. T. Li*, Zeolitic imidazolate frameworks-based porous liquids with low viscosity for CO2 and toluene uptakes, Chemical Engineering Journal (2021)。
https://doi.org/10.1016/j.cej.2021.129239
通讯作者简介:
近年来,西北工业大学郑亚萍教授课题组长期从事多孔液体与无溶剂纳米流体的制备及其在气体捕集、聚合物基复合材料领域的应用研究。郑亚萍团队现有姚东东副教授,博士9人,硕士11人。长期以来,团队面向国家重大需求,依托学校三航、材料、兵器等优势工科,积极与多所企事业单位、科研院所展开广泛合作,探索无溶剂纳米流体与多孔液体的应用研究,部分研究成果达到国内领先、国际先进水平;截止目前,已主持完成国家自然科学基金、陕西省自然科学基金、航空科学基金和航天科学基金等国家级、省级横纵向课题20余项,发表高水平论文100余篇;授权和受理国家发明专利6项;参编高等学校教材2部。
近年来发表的多孔液体与无溶剂纳米流体部分论文:
相关进展
西北工业大学郑亚萍教授团队《CEJ》:一种通过颈状层-冠状层后合成修饰的普适性策略构筑I型UiO-66多孔液体用于CO2捕集
高分子科技原创文章。欢迎个人转发和分享,刊物或媒体如需转载,请联系邮箱:info@polymer.cn
诚邀投稿
欢迎专家学者提供稿件(论文、项目介绍、新技术、学术交流、单位新闻、参会信息、招聘招生等)至info@polymer.cn,并请注明详细联系信息。高分子科技®会及时推送,并同时发布在中国聚合物网上。
欢迎加入微信群 为满足高分子产学研各界同仁的要求,陆续开通了包括高分子专家学者群在内的几十个专项交流群,也包括高分子产业技术、企业家、博士、研究生、媒体期刊会展协会等群,全覆盖高分子产业或领域。目前汇聚了国内外高校科研院所及企业研发中心的上万名顶尖的专家学者、技术人员及企业家。
申请入群,请先加审核微信号PolymerChina(或长按下方二维码),并请一定注明:高分子+姓名+单位+职称(或学位)+领域(或行业),否则不予受理,资格经过审核后入相关专业群。
点
这里“阅读原文”,查看更多


