
过渡金属配合物在将烯烃单体转化为各种聚合物材料中扮演着十分重要的角色。过去几十年来,在设计和合成对烯烃聚合具有高活性和高选择性的稀土金属双(烷基)配合物方面取得了巨大的进展。值得注意的是,几乎所有具有高活性的稀土金属双(烷基)配合物都需要有机硼酸盐来进行预活化,形成稀土金属阳离子活性中心。例如:PhNHMe2B(C6F5)4、Ph3CB(C6F5)4、B(C6F5)3 (图 1)。然而,有机硼酸盐和硼烷的高成本严重阻碍了稀土金属催化剂的工业应用。因此,对于低成本和高活性助催化剂的探索是一项非常有意义的任务。
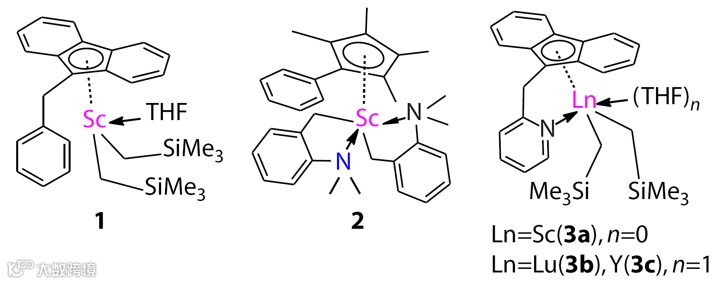
基于上述背景,中国科学院长春应用化学研究所崔冬梅教授课题组探究了DMAO (Dry methylaluminoxane) 活化的稀土金属双(烷基)配合物(图 2)对苯乙烯及其衍生物催化行为。实验结果表明,在DMAO存在的情况下,具有芴亚甲基吡啶配体的3a催化剂对苯乙烯及其衍生物表现出前所未有的高催化活性(图 3)。此外,这种3a/DMAO两组分催化体系可以催化苯乙烯与乙烯交替共聚(图 4)。
图1 稀土金属阳离子的形成

图2 本文采用的稀土金属双烷基配合物


图4 乙烯与苯乙烯交替共聚物的核磁共振碳谱
该工作即将于Chinese Journal of Polymer Science印刷出版。张震博士研究生是该论文的第一作者,李世辉和蔡中义教授为通讯作者。该项工作得到国家自然科学基金(基金号51773193和52073275)的资助。
原文链接:
http://www.cjps.org./article/doi/10.1007/s10118-021-2583-2?pageType=en
相关进展
免责声明:部分资料来源于网络,转载的目的在于传递更多信息及分享,并不意味着赞同其观点或证实其真实性,也不构成其他建议。仅提供交流平台,不为其版权负责。如涉及侵权,请联系我们及时修改或删除。邮箱:info@polymer.cn
诚邀投稿
欢迎专家学者提供稿件(论文、项目介绍、新技术、学术交流、单位新闻、参会信息、招聘招生等)至info@polymer.cn,并请注明详细联系信息。高分子科技®会及时推送,并同时发布在中国聚合物网上。
欢迎加入微信群 为满足高分子产学研各界同仁的要求,陆续开通了包括高分子专家学者群在内的几十个专项交流群,也包括高分子产业技术、企业家、博士、研究生、媒体期刊会展协会等群,全覆盖高分子产业或领域。目前汇聚了国内外高校科研院所及企业研发中心的上万名顶尖的专家学者、技术人员及企业家。
申请入群,请先加审核微信号PolymerChina(或长按下方二维码),并请一定注明:高分子+姓名+单位+职称(或学位)+领域(或行业),否则不予受理,资格经过审核后入相关专业群。
点
这里“阅读原文”,查看更多


