软质聚氯乙烯(soft polyvinyl chloride)是一种通用塑料,其应用范围广泛,包括电气绝缘材料、门封材料、玩具以及医疗用具等。软质PVC中含有大量的增塑剂组分,增塑剂和PVC基质的相容性对soft PVC制品的相关性能具有很大的影响。中国科学技术大学王志刚教授课题组在高分子物理和聚合物材料加工领域深耕多年,具有极其深厚的产学研结合背景,相关研究成果助益地方经济和社会发展。针对软质PVC这一广泛应用的通用塑料,课题组与安徽万朗磁塑集团有限公司开展了长期全面的产学研合作,对万朗公司相关产品的加工稳定性提升进行系统化研究,创新性地通过通用DSC和DMA测试方法,揭示了全配方工业化软质 PVC材料加工过程中相关加工条件对增塑剂塑化性能以及与PVC基体相容性的影响。相关研究成果对软质PVC加工产业具有重要指导意义。
软质PVC材料中,增塑剂与PVC以及PVC和其他聚合物组分间的相容性,对其实际应用性能操控非常关键。塑化后的软质PVC材料一般被认为是通过微晶实现物理交联的类橡胶化的材料。增塑剂与PVC基体之间的相分离是导致材料老化的一个重要原因。PVC与其他聚合物组分的相容性对软质PVC材料的力学性能会产生重要影响,而加工工艺条件的改变则不可避免地改变这些组分的相行为。

图1 软质PVC材料应用实例
基于产学研结合的视角,中国科学技术大学王志刚教授课题组使用经典的工业配方和加工方法,制备了具有不同增塑剂含量的三组软质PVC材料。每组材料使用不同的加工条件,这些条件包括CaCO3粉末的添加步骤,放料温度和物料混合频率。使用差示扫描量热法(DSC)检测软质PVC材料的玻璃化转变。DSC测量的有效性通过使用动态力学分析谱(DMA)进行确认。以扫描电子显微镜(SEM)与能量色散X-射线光谱(EDS)联用,用于观察CaCO3粉体在PVC基体中的分散状态。
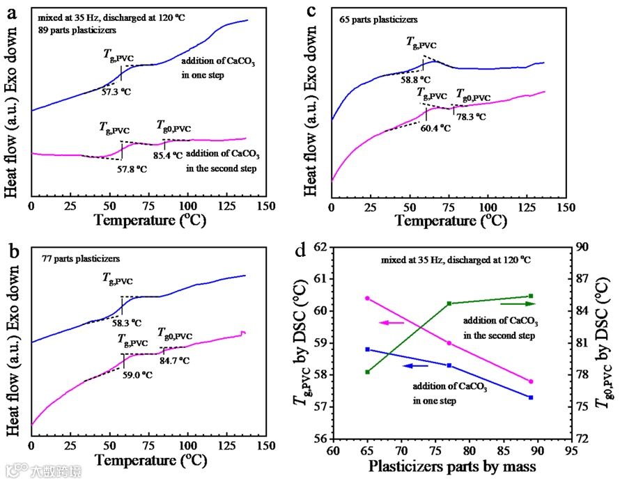
在软质PVC加工过程中,CaCO3的添加可以分为一步法(CaCO3粉、PVC树脂、增塑剂和其他添加剂共同加入高速混合机内进行物料混合直至温度升至放料温度)和两步法(首先将PVC树脂,增塑剂和其他添加剂添加到高速混合机中,然后当混合机中温度达到90 °C时,在第二步中添加CaCO3粉进一步混合直至温度升至放料温度)。以两种CaCO3添加方式制备的软质PVC材料的DSC热流曲线如图2所示。一步法样料只有一个代表塑化PVC材料的玻璃化转变温度Tg,PVC,而两步法样料除却Tg,PVC,还具有一个表示未完全塑化PVC材料玻璃化转变的Tg0,PVC。Tg,PVC随增塑剂含量的增加而线性降低,一步法样料的Tg,PVC明显低于两步法的对应样料,但二者之间的差异随增塑剂含量增加而逐渐缩小。进一步研究发现,两步法样料中Tg0,PVC值随着增塑剂含量增加而逐渐上升,该结果表明少量的增塑剂有利于PVC材料的微塑化,这与两步法中物料的混合效率有关。

图2 不同增塑剂含量的软质PVC材料DSC热流曲线及由DSC曲线测定的Tg,PVC 和 Tg0,PVC变化曲线。粉料混合频率为35 Hz,放料温度120 °C,使用两种不同的方式添加CaCO3粉料。
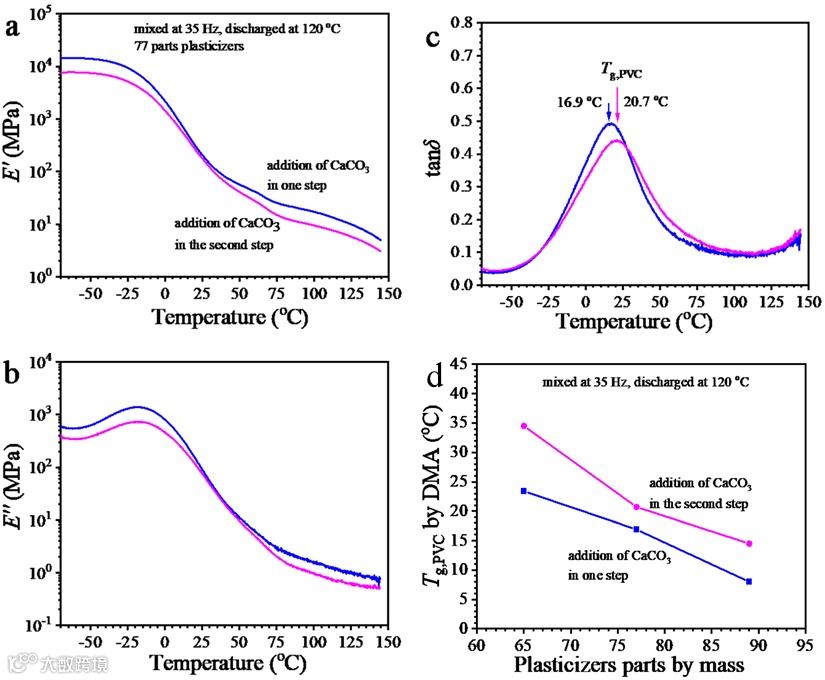
DMA实验进一步佐证了DSC测试的可靠性。DMA结果显示,一步法样料的储能模量和损耗模量均高于两步法对应样料的数值,Tg,PVC的变化趋势亦与DSC测试结果一致。DAM结果表明,一步法有助于CaCO3更加均匀地分布于PVC基体中,这对PVC材料的增韧起到了关键作用。图3以77份增塑剂含量样料组为例,展示了DMA测试曲线及相关结果。DMA通过材料力学模量的整体变化来测定Tg,DSC则通过材料的热效应对Tg进行测量。因此,DSC测试比DMA测试更加灵敏。PVC塑化程度的不同导致了材料整体的不均匀性,这也就解释了为什么DSC法检测出两步法样料的两个Tg,而DMA则只检测出一个Tg。

图3 77份增塑剂含量的软质PVC材料DMA测试曲线及由DMA曲线测定的Tg,PVC变化曲线。粉料混合频率为35 Hz,放料温度120 °C,使用两种不同的方式添加CaCO3。
通过对样料进行SEM、EDS以及粒子统计分析,发现CaCO3较为均匀地分布在PVC基体中,粒子统计显示一步法样料的粒子尺寸及粒子间距均大于两步法相应样料的数值。以上结果表明:在一步法中添加CaCO3粉末会导致CaCO3粉末在PVC基体中分散,并在CaCO3颗粒周围形成界面层,这会增加平均粒径,同时还会降低Tg,PVC。Tg,PVC的降低是通过增加CaCO3颗粒周围的自由体积来实现的。对于两步法添加CaCO3粉末的过程,CaCO3颗粒不足以影响PVC基质,对于增塑的PVC组分,Tg,PVC则相对较高,而对于增塑程度较少的PVC甚至显示更高的Tg0,PVC。

图4 77份增塑剂含量的软质PVC样料SEM图片、EDS测试图片和粒子统计图。粉料混合频率为35 Hz,放料温度120 °C,使用两种不同的方式添加CaCO3粉料。
放料温度和混料频率对Tg,PVC的影响结果如图5所示。可以看出,虽然Tg,PVC都随增塑剂含量的增加而近似线性下降,但在放料温度为120℃时,Tg,PVC的下降幅度比放料温度为110℃时明显加大。这说明增加增塑剂含量,提升放料温度和混料频率,都有助于软质PVC加工过程中的物料混合。这一结论对软质PVC材料的加工生产具有更加直接的指导作用。

图5 放料温度(a)和混料频率(b)对Tg,PVC的影响随增塑剂含量的变化曲线。
以上研究成果近期发表在聚合物加工基础研究国际期刊Journal of Polymer Research 上 (Journal of Polymer Research 2021,28,138;DOI 10.1007/s10965-021-02496-z)。论文第一作者为中国科学技术大学化学与材料科学学院硕士研究生李航和博士研究生张娟,安徽万朗磁塑集团有限公司研发中心魏峰,严娟,答镇和储贻健研究员为论文共同作者,论文通讯作者为中国科学技术大学化学与材料科学学院软物质化学中科院重点实验室王志刚教授。王志刚教授等对安徽万朗磁塑集团有限公司提供合作研究项目深表谢意。
论文链接:
https://link.springer.com/article/10.1007/s10965-021-02496-z
相关进展
中科大王志刚教授课题组在聚乳酸基生物可再生热塑性弹性体的合成及其结构与性能研究方面取得新进展
中国科学技术大学王志刚教授课题组在ABA型和BAB型三嵌段共聚物弹性体力学性能研究中取得可喜进展
中科大王志刚教授课题组在流动场下预形成球晶诱导聚合物结晶行为转变中取得可喜进展
高分子科技原创文章。欢迎个人转发和分享,刊物或媒体如需转载,请联系邮箱:info@polymer.cn
诚邀投稿
欢迎专家学者提供稿件(论文、项目介绍、新技术、学术交流、单位新闻、参会信息、招聘招生等)至info@polymer.cn,并请注明详细联系信息。高分子科技®会及时推送,并同时发布在中国聚合物网上。
欢迎加入微信群 为满足高分子产学研各界同仁的要求,陆续开通了包括高分子专家学者群在内的几十个专项交流群,也包括高分子产业技术、企业家、博士、研究生、媒体期刊会展协会等群,全覆盖高分子产业或领域。目前汇聚了国内外高校科研院所及企业研发中心的上万名顶尖的专家学者、技术人员及企业家。
申请入群,请先加审核微信号PolymerChina (或长按下方二维码),并请一定注明:高分子+姓名+单位+职称(或学位)+领域(或行业),否则不予受理,资格经过审核后入相关专业群。
点
这里“阅读原文”,查看更多


