共价可适网络为解决目前传统热固性树脂无法重塑、回收等问题提供了新的途径。但目前动态共价键的可逆主要是依靠加热、加压或者两者同时刺激来实现,这些刺激方式对具有复杂几何形状的热固性树脂的重塑或者热固性树脂局部区域的选择性重塑具有较大局限性。
基于上述问题,本研究开发了一种可利用近红外光(NIR)触发动态共价交换的可塑聚肟氨酯交联网络。以对苯醌二肟、Jeffamine D230 和六亚甲基二异氰酸酯三聚体(THDI)为主要原料,在环保的有机铋化合物的催化下,使用密炼机合成了一类具有本征NIR 光热效应的聚(脲-肟氨酯)热固性树脂粉体(PUOUs)。通过热压成型,得到黑色的玻璃态 PUOUs 薄膜材料(图1a)。本研究中 PUOUs 的主要特点表现为:1)PUOUs经 NIR (λ = 808 nm) 照射 35 s 后表面温度可达到 195 °C,高于动态肟氨酯键的快速动态交换温度(Tmall),因此可以触发动态肟氨酯键的动态交换,搭接后的聚肟氨酯在界面处可实现远程高效的可控焊接(图1b)。2)基于伯氨基与肟羟基分别与异氰酸酯基反应活性的差异,在 PUOUs 材料基体中形成了明显的聚脲和聚肟氨酯的两相分离,通过对材料进行形状编程,PUOUs 表现出优异的三重形状记忆性能。通过操控近红外激光光源,可实现材料形状记忆的按需恢复(图1c)。
为了探究对苯醌二肟(BQDO)与异氰酸酯反应后所形成的肟氨酯键的动态性,本研究设计了AA与BB两种模型化合物,并通过核磁与GPC等手段验证了其动态特性。首先在不添加D230条件下,采用BQDO和THDI制备POUs。对比无催化条件和分别以二月桂酸二丁基锡(DBTDL)和环保的2-乙基己酸铋(U600)作为催化剂所制备的POUs后发现,POU-U600表现出最佳的耐热性、最高的交联密度和拉伸强度及模量、低的动态交换活化能、以及体系潜在的催化环保性(图2)。

图1. PUOUs的a)制备,b)光热效应及光焊接示意图,c)选择性形状记忆恢复过程。图1. PUOUs的a)制备,b)光热效应及光焊接示意图,c)选择性形状记忆恢复过程。

图2. POUs的设计及动态性。a) 模型化合物AA与BB的动态交换反应式;b) 动态交换过程的核磁信号变化;c) POUs的热压重塑成型示意图;d) 不同催化体系POUs的耐热性;e) POU-U600在不同温度下的应力松弛实验;f) 活化能分析。
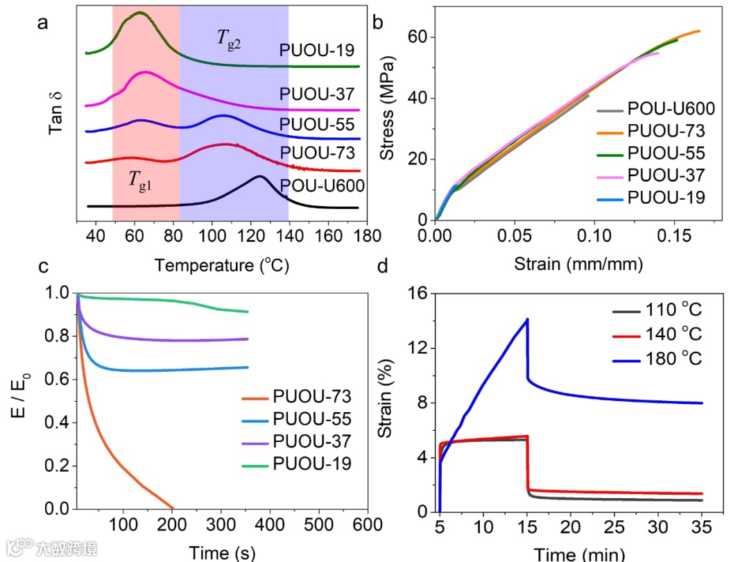
POU-U600的玻璃化转变温度(Tg)为125 °C,交联网络高的Tg会影响分子链的移动能力,进而会限制动态交换过程的进行。为此,本研究通过进一步在POU-U600体系中引入非晶的二胺Jeffamine D230,经调整D230与BQDO的相对比例,得到相应的PUOU-ab(a, b分别代表BQDO与D230的物质的量比)。醚键的存在会改善交联网络的高分子链移动能力,实验发现:PUOUs在65 °C出现新的Tg,尤其样品PUOU-55和PUOU-73表现出显著独立的两个Tg。这主要是因为,与肟羟基相比,伯氨基与异氰酸酯基的反应速度更快,因此会首先在交联体系中形成聚脲相,继而形成聚肟氨酯相。PUOU-73具有最佳的断裂强度,并可在80 °C表现出最显著的应力松弛现象,同时在高温下表现出显著的蠕变性(图3)。

图3. PUOUs的表征。a) PUOUs的Tan δ; b) PUOUs的应力应变曲线;c) PUOUs的应力松弛;d) PUOU-73在不同温度下的蠕变。
对苯醌二肟特殊的p-π共轭结构使得采用其制备得到的聚肟氨酯经热压成型后表现为如聚苯胺、碳纳米管类似的黑色特征。同时研究发现:线性聚肟氨酯比单纯的BQDO具有更长的p-π共轭。采用2.7 W/cm2的近红外光照射PUOU-73表面35 s,表面温度可以达到195 °C,高温可触发肟氨酯键的动态交换,最终可用来实现PUOU-73的光焊接(图4)。

图4. PUOU-73的光热效应和光焊接。a) BQDO和线性聚肟氨酯溶液对光的吸收和透过特性;b) 不同辐射强度的近红外光照射下PUOU-73表面温度的变化;c) 光焊接实验;d) 不同焊接时长后PUOU-73的单搭接剪切试验。

图5. 形状记忆行为及光热响应形状记忆恢复。a) PUOU-73的双重形状记忆过程;b) PUOU-55的三重形状记忆过程;c) PUOU-55的三重形状记忆示意;d) 光致选择性形状记忆恢复。
经过编程,PUOU-73可表现出高效的形状记忆恢复率和固定率,PUOU-55可表现出优异的三重形状记忆过程,两次的形状固定率为76%和90%,形状恢复率分别可以达到100%和91%(图5)。基于PUOU-73的固态塑性、光热效应和光致选择性形状记忆恢复等特点,本研究最终加工了一种光响应的智能形状记忆开关。通过光控操纵PUOU-73从临时形状向永久形状的转变,最终实现电路的通路和断路(图6)。

图6. 近红外光控智能形状记忆开关的构筑。a) 卡通示意(上)及实验(下)展示含智能开关的并联电路。ⅰ) 处于临时形状的 Switch A (light ON) 与B (light OFF); ⅱ) NIR照射后A开关的形状记忆恢复 (light OFF); ⅲ) NIR照射后B开关的形状记忆恢复(light ON). b) PUOU-73开关的工作细节,ⅰ) Switch A ON; ⅱ) Switch A OFF; ⅲ) Switch B OFF; Ⅳ) Switch B ON.
相关工作近期以“NIR-Triggered Dynamic Exchange and Intrinsic Photothermal-Responsive Covalent Adaptable Networks”为题,在期刊Chemical Engineering Journal上发表。西安交通大学化学学院博士生陈兴幸为该论文的第一作者,西安交通大学化学学院张彦峰研究员为通讯作者。该工作得到国家自然科学基金(NSFC 51873170)、陕西省国际科技合作计划项目(2020KW-062)、陕西省重点产业创新链(No. 2019ZDLGY02-02)和西安市科技局重点实验室建设项目等的资助。
文章链接:
https://doi.org/10.1016/j.cej.2021.131212
Chen, X.; Wang, R.; Cui, C.; An, L.; Zhang, Q.; Cheng, Y.; Zhang Y. * NIR-Triggered Dynamic Exchange and Intrinsic Photothermal-Responsive Covalent Adaptable Networks. Chemical Engineering Journal 2021, 131212.
相关进展
高分子科技原创文章。欢迎个人转发和分享,刊物或媒体如需转载,请联系邮箱:info@polymer.cn
诚邀投稿
欢迎专家学者提供稿件(论文、项目介绍、新技术、学术交流、单位新闻、参会信息、招聘招生等)至info@polymer.cn,并请注明详细联系信息。高分子科技®会及时推送,并同时发布在中国聚合物网上。
欢迎加入微信群 为满足高分子产学研各界同仁的要求,陆续开通了包括高分子专家学者群在内的几十个专项交流群,也包括高分子产业技术、企业家、博士、研究生、媒体期刊会展协会等群,全覆盖高分子产业或领域。目前汇聚了国内外高校科研院所及企业研发中心的上万名顶尖的专家学者、技术人员及企业家。
申请入群,请先加审核微信号PolymerChina (或长按下方二维码),并请一定注明:高分子+姓名+单位+职称(或学位)+领域(或行业),否则不予受理,资格经过审核后入相关专业群。
点
这里“阅读原文”,查看更多


