虽然存在于生物体系中,但是开发由离子键和金属配位键同时构建的聚两性电解质 (Polyampholyte, PA) 水凝胶网络仍具有挑战性。近日,湖北工业大学材料与化学工程学院黄以万副教授、李学锋教授团队提出了一种简单的“二次平衡方法”由离子键和金属配位键协同增强增韧PA水凝胶。
在该方法中,首先将由离子键构成的原始PA水凝胶浸泡于具有配位能力的多价金属离子溶液中透析直至溶胀平衡,然后将上述平衡的水凝胶浸泡于去离子水中透析除去自由的金属离子(及其反离子)直至再次达到平衡,最后得到强韧性PA水凝胶。该方法能够在PA水凝胶网络中同时引入离子键和金属配位键,能够有效地优化水凝胶网络结构,实现协同强韧化的目的。
该论文还通过选择不同的原始PA凝胶体系和不同的多价金属离子,验证了所提出方法具有普适性。此外,提高水凝胶离子导电性的常用方法之一是在凝胶网络中引入可自由迁移的盐离子,但此类水凝胶可能在水环境中导电性不稳定;通过该论文的方法有效地避免了这一问题,所制备的水凝胶即使在水中平衡状态下也表现出稳定的离子导电性,在应变传感器领域表现出应用前景。
最后,该论文还通过粘弹性理论模型讨论了所制备水凝胶的粘弹性和弹性对力学性能的贡献,从而进一步理解了其增强增韧机理。该论文所提出的方法简单却能够有效地强韧化PA水凝胶;同时,该论文也为PA水凝胶在电解质溶液中的行为提供了新见解。相关研究成果近期以题为“Strong Tough Polyampholyte Hydrogels via the Synergistic Effect of Ionic and Metal–Ligand Bonds”在线发表在《Advanced Functional Materials》期刊上。

论文亮点
1. 实现了由离子键和金属配位键协同增强增韧PA水凝胶:金属配位键交联增强普通聚电解质水凝胶是目前通常采用的手段之一(如Fe3+交联的聚丙烯酸水凝胶),但PA水凝胶在金属盐溶液中表现出显著的“反聚电解质效应”,即随着金属离子浓度升高水凝胶样品表现出显出的溶胀和弱化行为,该论文通过简单的“二次平衡方法”成功克服这一问题,实现了协同强韧化的目的。
2. 所提出的“二次平衡方法”简单却可高效提高PA水凝胶的力学性能且具有普适性:所制备的PA水凝胶中最高杨氏模量可达19.9 ± 0.3 MPa,拉伸断裂强度可达4.2 ± 0.1 MPa,拉伸断裂功可达10.5 ± 0.6 MJ/m3,同时水凝胶样品还可保持较高的可拉伸性(ε = 4.6 ± 0.1 m/m)。
1. 水凝胶的设计、制备与表征

图1 基于“二次平衡法”由离子键和金属-配位键协同增强增韧PA水凝胶的设计策略与制备过程:a)设计策略与制备过程(其中“ASP”和“WEQ”分别表示未平衡和水平衡两种状态,且图中未显示相应的反离子);b)该论文中所采用的离子型单体的化学结构及多价金属离子信息;c)所设计的强韧性 PA 水凝胶中可能存在的动态物理键。

图2 所设计的四种状态(ASP-PA、WEQ-PA、ASP-PA-Fe3+ 及WEQ-PA-Fe3+)的PA 水凝胶的溶胀动力学、物理与化学结构及拉伸性能比较(此处的原始PA水凝胶是P(NaSS-co-DMAEA-Q) 水凝胶,且透析溶液浓度CFecl3= 0.7 M):a)样品的宏观照片;b)样品的体积溶胀比(Qv)随透析时间(tdia)的变化图;c)样品的接触角图像和 d)接触角具体数据;e)样品的SEM 图像和 f)从图中估测的样品孔径;g)样品的拉伸应力-应变曲线和 h)具体的力学性能(包括拉伸断裂强度、杨氏模量及拉伸断裂功)数据。

图3 透析溶液浓度(CFecl3)对所形成PA水凝胶的溶胀行为和红外光谱的影响:a)在不同浓度的FeCl3透析溶液中浸泡后ASP-PA-Fe3+水凝胶样品的宏观照片;b)ASP-PA-Fe3+水凝胶和WEQ-PA-Fe3+水凝胶样品的体积溶胀比(Qv)随CFecl3的变化图(其中黄色双箭头实线表示在两种透析介质中Qv的变化);c)WEQ-PA-Fe3+水凝胶样品的红外光谱图。
2. 透析溶液中铁离子浓度对水凝胶力学性能的影响

图4 透析溶液浓度(CFecl3)对WEQ-PA-Fe3+水凝胶样品的拉伸和撕裂行为的影响(此处的原始PA水凝胶是P(NaSS-co-DMAEA-Q) 水凝胶):a)样品的拉伸应力-应变曲线和b-d)具体的力学性能数据;e)样品的撕裂力与位移曲线和f)相应的撕裂能数据。

图5 WEQ-PA-Fe3+水凝胶样品的自回复和抗疲劳行为(此处的原始PA水凝胶是P(NaSS-co-DMAEA-Q) 水凝胶,且CFecl3= 0.7 M):a)不同等待时间水凝胶样品的拉伸加载-卸载曲线;b)残余应变和回复比随等待时间的变化图;c)同一水凝胶样品在不同应变(ε = 1.0-7.0 m/m)下的连续(即不等待)循环拉伸加载-卸载曲线;d)当c)中经过循环拉伸的水凝胶样品在25 °C经过48 h等待后的拉伸曲线与没有经过循环拉伸的水凝胶样品的拉伸曲线对比图。
3. 所提出“二次平衡法”的通用性验证

图6 透析溶液浓度(CFecl3)对WEQ-PA-Fe3+水凝胶样品的拉伸行为的影响(此处的原始PA水凝胶是P(NaSS-co-MPTC) 水凝胶):a)样品的拉伸应力-应变曲线和b-d)具体的力学性能数据。

图7 WEQ-PA-Mn+水凝胶样品的拉伸性能结果(此处Mn+代表Na+、Ca2+、Zn2+、Al3+、Fe3+离子,且CFecl3= 0.7 M):a)样品的拉伸应力-应变曲线和b-d)具体的力学性能数据。
4. 所制备水凝胶应用于应变传感器的展示

图8 WEQ-PA-Fe3+水凝胶样品作为应变传感器的应用展示:a)由LED灯泡和水凝胶样品组成的完整电路中灯泡亮度随着对样品施加应变(ε)的变化图;b)样品的相对电阻随拉伸应变(ε)变化的变化图;c-e)样品作为应变传感器成功用于检测人体不同部位的变形。
5. 讨论:金属配位键的引入对水凝胶应变软化和硬化行为及粘弹行为的影响

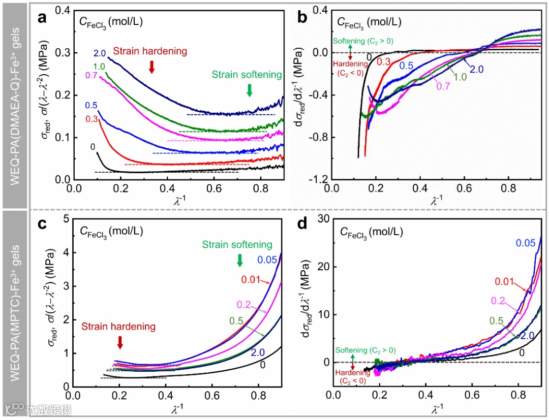
图9 透析溶液浓度(CFecl3)对WEQ-PA-Fe3+水凝胶样品的Mooney-Rivlin曲线及其一阶导数的影响(此处DMAEA-Q和MPTC表示原始PA水凝胶分别是P(NaSS-co-DMAEA-Q)和P(NaSS-co-MPTC)):a,c)两种水凝胶体系的衰减应力σred vs.λ−1;b,d)dσred/d(λ−1)vs. λ−1。上述曲线均是基于拉伸两种体系的拉伸应力-应变曲线得到的。

图10 透析溶液浓度(CFecl3)对WEQ-PA-Fe3+水凝胶样品中黏弹性(Gv)和弹性(Ge)部分对其初始剪切模量(G)贡献的影响:a,c)两种水凝胶体系中Gv和Ge随CFecl3的变化图;b,d)两种水凝胶体系中Gv/Ge随CFecl3的变化图。
该论文通过一种简单的“二次平衡方法”制备了由离子键和金属配位键协同增强增韧的PA水凝胶。为了验证此方法,该论文首先采用P(NaSS-co-DMAEA-Q)水凝胶作为一种模型原始 PA水凝胶和Fe3+作为模型配位离子制备强韧性PA水凝胶,初步结果表明该方法可显着提高原始 PA水凝胶的力学性能。该论文进一步研究发现第一步中透析溶液浓度(CFecl3)显著影响最终水凝胶的增强效率。当=CFecl3 0.7 M时,与原始 PA 水凝胶相比,优化后的水凝胶的杨氏模量、拉伸断裂强度和拉伸断裂功分别提高了200%、192%和 356%;同时,优化后水凝胶的撕裂能也提高了164%(CFecl3= 2.0 M),显示出显著改善的破坏韧性。该论文还通过选择另一种原始PA水凝胶(即 P(NaSS-co-MPTC))和不同多价金属离子(即 Al3+、Zn2+ 和 Ca2+)验证了所提出的强韧化PA水凝胶方法具有一定的通用性。此外,即使在水中平衡状态下,该论文所制备的水凝胶也表现出稳定的离子电导率,同时也具有良好的信号传输能力,展现出作为柔性应变传感器的应用潜力。最后,该论文还通过粘弹性模型讨论了优化后水凝胶的粘弹性和弹性对力学性能的贡献,进一步理解了其强韧化机理。该论文所提出的设计策略简单却有效,对增强增韧PA水凝胶具有普遍性;同时,该论文也为PA水凝胶在电解质溶液中的行为提供了新见解。
论文第一作者为湖北工业大学材料系黄以万副教授,共同通讯作者为黄以万副教授和李学锋教授,论文实验工作主要由硕士生肖龙亚(已被录取为华南理工大学博士研究生)完成,参与本研究工作的还有团队成员龙世军副教授、硕士生周菊、刘涛及本科生晏永奇。研究工作得到了国家自然基金项目(51903079, 52073083)、武汉市科学技术局应用基础前沿项目(2019010701011397)、湖北工业大学博士启动基金项目(BSQD2019029)以及绿色轻工材料湖北省重点实验室开发基金项目(201907B05)的支持。
参考文献:
Yiwan Huang*, Longya Xiao, Ju Zhou, Tao Liu, Yongqi Yan, Shijun Long, Xuefeng Li*, “Strong Tough Polyampholyte Hydrogels via the Synergistic Effect of Ionic and Metal-Ligand Bonds”, Advanced Functional Materials, published online, 2021.
论文链接:
https://onlinelibrary.wiley.com/doi/10.1002/adfm.202103917
湖北工业大学微纳米及软物质团队介绍:
团队由李学锋教授担任PI负责人,主要从事高分子软物质新材料的基础和应用研究,其中水凝胶材料主要研究方向有水凝胶的高性能化及其功能化,该方向还有黄以万副教授和龙世军副教授。近年来,该团队主持国家自然基金项目6项、省部级科研项目与横向科研项目20余项,在专业期刊发表学术论文100余篇,获授权中国发明专利近30项,其中李学锋教授入选“英国皇家化学会2019 Top 1% 高被引作者”。最近在水凝胶方向代表性论文如下:
相关进展
日本北海道大学龚剑萍教授课题组在纤维增强水凝胶领域取得新进展
华南理工大学王涛/孙尉翔/童真团队在pH响应聚电解质水凝胶领域取得新进展
北海道大学龚剑萍教授团队:利用微电极技术探究新型“杂化聚电解质”水凝胶中的阳离子-π作用
高分子科技原创文章。欢迎个人转发和分享,刊物或媒体如需转载,请联系邮箱:info@polymer.cn
诚邀投稿
欢迎专家学者提供稿件(论文、项目介绍、新技术、学术交流、单位新闻、参会信息、招聘招生等)至info@polymer.cn,并请注明详细联系信息。高分子科技®会及时推送,并同时发布在中国聚合物网上。
欢迎加入微信群 为满足高分子产学研各界同仁的要求,陆续开通了包括高分子专家学者群在内的几十个专项交流群,也包括高分子产业技术、企业家、博士、研究生、媒体期刊会展协会等群,全覆盖高分子产业或领域。目前汇聚了国内外高校科研院所及企业研发中心的上万名顶尖的专家学者、技术人员及企业家。
申请入群,请先加审核微信号PolymerChina (或长按下方二维码),并请一定注明:高分子+姓名+单位+职称(或学位)+领域(或行业),否则不予受理,资格经过审核后入相关专业群。
点
这里“阅读原文”,查看更多


