聚磺酰胺是含有磺酰胺重复单元的主链含氮聚合物,其磺酰胺基团可以为仲胺或叔胺。聚磺酰胺在工业生产中具有非常重要的用途,可用作染色剂、螯合剂、重金属吸附剂、增塑剂等。此外,通过分子设计,聚磺酰胺能与聚酰胺(尼龙)一样具有高强度、高弹性、良好机械性能和热稳定性等优异性能,并且具有较好的耐酸碱性,在膜材料(反渗透膜、纳滤膜、锂电池隔膜等)领域得到了广泛的研究。传统上,聚磺酰胺的合成通过二磺酰氯与二胺的缩聚反应,反应过程中需要使用三乙胺等缚酸剂,且合成的聚磺酰胺分子量较低,结构也难以拓展。为了获得高分子量聚磺酰胺,通常需要使用界面聚合方法,但该方法限制了其大规模工业化制备。因此,研究新的聚磺酰胺合成路线具有重要的应用价值。
氮杂环丙烷作为具有高环张力的三元氮杂环化合物,在有机合成中有着广泛的应用。N-磺酰基氮杂环丙烷作为“活化的”氮杂环丙烷,通过阴离子开环聚合(ROP)反应能合成磺酰基位于侧链的聚磺酰胺。广东工业大学张震副教授研究小组近年来基于氮杂环丙烷开环聚合(ROP)进行高分子精密设计与合成的研究工作,相继发展了2-氮杂烯丙基阴离子、有机催化羧酸等引发体系(Macromolecules, 2019, 52, 3888;Macromolecules, 2019, 52, 8793),并且利用有机小分子催化策略发展了串联、接枝、熔融、连续聚合等多种聚合方法(Polym. Chem., 2021, DOI: 10.1039/D1PY00890K;J. Poly. Sci., 2021, DOI: 10.1002/pol.20210484;Carbohydr. Polym., 2021, 261, 117903;Polym. Chem., 2021, 12, 1787;J. Poly. Sci., 2020, 58, 2116),合成了端基功能化和拓扑结构的聚磺酰胺及其杂化材料,具有良好的油/水分离、金属离子吸附等性能。

图1:本工作的合成方案
由于N-磺酰基氮杂环丙烷开环聚合(ROP)合成的聚磺酰胺的磺酰基位于侧链,且磺酰基脱除条件苛刻,因此合成的该类型聚磺酰胺应用范围有限。近日,广东工业大学张震副教授研究小组设计合成了双氮杂环丙烷类型单体,基于氮杂环丙烷单分子开环反应,发展了一种新的聚磺酰胺的高效合成方法,合成的聚磺酰胺结构可控、分子量高,且能进行“一锅法”级联聚合合成聚磺酰胺刷(图1)。

图2:C-单取代氮杂环丙烷的逐步加成聚合
研究人员在N-磺酰基氮杂环丙烷开环聚合的研究基础上,设想通过双氮杂环丙烷单体的逐步聚合来合成聚磺酰胺。通过实验发现,单取代的双氮杂环丙烷在逐步聚合中也会发生开环聚合(ROP)导致侧链支化或交联,获得链结构不可控的聚合物(图2)。为了解决链结构不可控的难点,研究人员设计合成了C,C-双取代氮杂环丙烷单体,期望通过空间位阻来抑制氮杂环丙烷开环均聚的发生。结果表明:该双氮杂环丙烷单体与二羧酸类亲核试剂在有机催化下通过逐步聚合反应能够合成线性结构的聚磺酰胺。并且通过筛选有机催化剂,二(硫)酚类、二硫醇类等与双氮杂环丙烷单体均能发生逐步聚合合成线性聚磺酰胺,该方法适用的亲核试剂单体范围广(图3)。

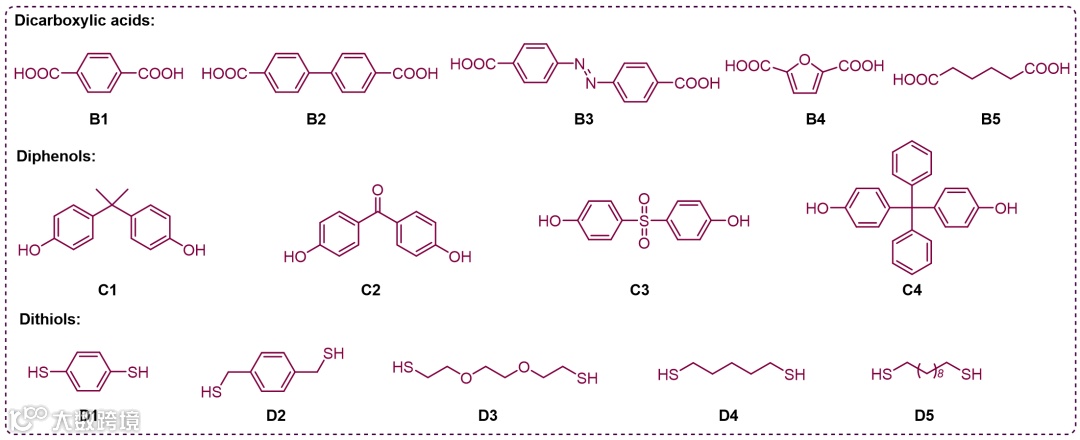
图3:本工作所用的羧酸、酚和硫醇单体
通过这一方法,能够绿色、高效地合成聚磺酰胺,无小分子副产物生成,单体易于制备,合成的聚合物绝对分子量高达261 kDa,且具有优异的热稳定性,分解温度达到300 ℃以上(图4)。此外,值得一提的是,通过在聚磺酰胺中引入刚性结构分子或柔性聚醚、长链烷烃等重复单元,能获得不同软硬度及柔韧性的聚磺酰胺,其玻璃化转变温度在62-199 ℃范围内(图4)。目前,从工业化的乙(丙)烯亚胺作为原料合成线性聚磺酰胺的相关工作正在进行中。

图4:相关表征:(a) 热重分析谱图;(b) DSC曲线
本工作具体研究内容以“Organocatalytic Synthesis of Polysulfonamides with Well-Defined Linear and Brush Architectures from a Designed/Synthesized Bis(N-Sulfonyl Aziridine)”为题发表在最新一期《Macromolecules》,论文第一作者是2019级硕士生朱淋淋同学,文章唯一通讯作者是广东工业大学轻工化工学院张震副教授。本工作感谢国家自然科学基金、聚合物成型加工工程教育部重点实验室开放课题及阿卜杜拉国王科技大学Nikos Hadjichristidis教授的大力支持。

原文链接:
https://pubs.acs.org/doi/full/10.1021/acs.macromol.1c01193
相关进展
广东工业大学本科生在《Macromolecules》发表氮杂环丙烷开环聚合研究进展
复旦大学丁建东教授课题组运用密度泛函理论揭示异辛酸亚锡催化丙交酯开环聚合的机理
高分子科技原创文章。欢迎个人转发和分享,刊物或媒体如需转载,请联系邮箱:info@polymer.cn
诚邀投稿
欢迎专家学者提供稿件(论文、项目介绍、新技术、学术交流、单位新闻、参会信息、招聘招生等)至info@polymer.cn,并请注明详细联系信息。高分子科技®会及时推送,并同时发布在中国聚合物网上。
欢迎加入微信群 为满足高分子产学研各界同仁的要求,陆续开通了包括高分子专家学者群在内的几十个专项交流群,也包括高分子产业技术、企业家、博士、研究生、媒体期刊会展协会等群,全覆盖高分子产业或领域。目前汇聚了国内外高校科研院所及企业研发中心的上万名顶尖的专家学者、技术人员及企业家。
申请入群,请先加审核微信号PolymerChina (或长按下方二维码),并请一定注明:高分子+姓名+单位+职称(或学位)+领域(或行业),否则不予受理,资格经过审核后入相关专业群。
点
这里“阅读原文”,查看更多


