共轭高分子组装形成的高度有序的纳米结构可用于基本构效关系的研究。目前对于溶液聚集态如何影响共轭高分子结晶和电荷传输行为的认识并不全面。北京大学化学与分子工程学院裴坚教授课题组报告了基于侧链工程的BDOPV类高分子溶液聚集态、结晶行为和电荷传输行为影响的系统研究,表明侧链工程是调整溶液到固相聚集态结构的有效策略。在分子水平上,烷基侧链带来的空间位阻影响了分子间位错;在微米线和薄膜中,不同的侧链结构带了溶液聚集态和结晶畴区尺寸的差异。
共轭高分子的结晶机理与高效电荷传输等材料的宏观性质密切相关,因此受到研究人员的广泛关注。不同于小分子,共轭高分子的结晶过程在很大程度上由动力学控制。在溶液状态下,高分子和高分子,高分子和溶剂之间的分子间相互作用控制了高分子的溶液结晶动力学。然而,由于这些弱相互作用的复杂性,理解共轭高分子的结晶行为和微观结构仍是当前研究领域中的难点。侧链工程可用于调整共轭高分子链间相互作用,实现对溶液聚集态和结晶动力学的深入理解。
本文亮点
本文提出的基于不同烷基侧链的模型体系,能够在不显著影响高分子化学和电子结构的前提下,将溶液聚集态的效应从其他影响因素中解构出来,有利于阐明分子间相互作用对结晶和共轭高分子微观结构的影响。该工作提出远离高分子骨架的分叉位点有利于增强链间相互作用,产生更大的溶液聚集体。侧链结构的细微调整在调控纳米级别的结晶度中也起了重要作用,受益于调控的链间相互作用,更远离高分子骨架的支化位点能产生更大的晶畴,更高的电子迁移率,最高值超过10 cm2 V−1 s−1。该工作第一次系统性地阐述了受侧链组成调控的溶液聚集态对结晶过程,以及电荷传输的影响。
基于侧链工程,本工作系统地研究了溶液聚集态、高分子结晶行为、微观结构与电荷传输性质之间的关系。如图1(a,b),基于相同骨架的F4BDOPV-2T共轭高分子,本工作设计了三个不同烷基侧链,分别命名为F4BDOPV-2T-120,F4BDOPV-2T-318,和F4BDOPV-2T-516。在侧链总长度近似的前提下,侧链支化位点逐渐远离骨架。如图1(c,d)所示,分叉位点远离共轭骨架有利于增强链间相互作用,产生更大的溶液聚集体。对共轭高分子的堆积结构分析显示,侧链支化位点远离共轭骨架会增强共轭高分子链间相互作用,在薄膜和微米线器件中带来更大的结晶畴区,有利于分子间的电荷传输。
图1. 溶液聚集态通过侧链工程对共轭高分子结晶过程的影响。(a)相同长度,不同分叉位点的烷基侧链取代的F4BDOPV-2T系列高分子的化学结构。(b)F4BDOPV-2T的堆积模式。溶液聚集态对共轭高分子结晶行为的影响(c)稀溶液中形成的微米线和(d)浓溶液中形成的薄膜。
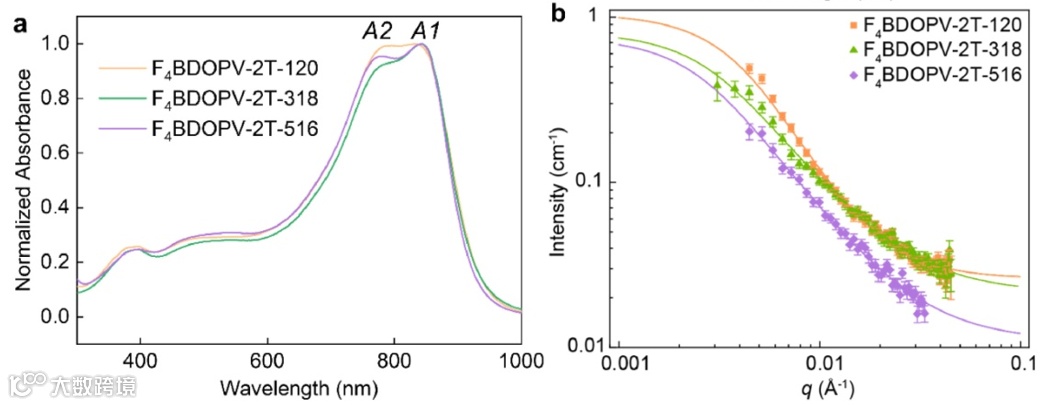
如图2(a)所示,紫外-可见吸收光谱表征了稀溶液条件下共轭高分子的聚集结构。三个高分子显示了相同的双峰吸收光谱,证明了烷基侧链的修饰不会影响高分子骨架的光物理性质。然而,F4BDOPV-2T-120显示了相对更低的A1吸收强度,说明F4BDOPV-2T-120在更近支化位点带来的空间位阻的影响下,具有更弱的聚集倾向和更扭曲的骨架结构。因此,本文提出的侧链修饰策略在不大幅度影响化学和电子结构的前提下,改变了高分子的溶液聚集态结构。如图2(b)所示,小角中子散射表征了浓溶液条件下共轭高分子的聚集结构。三个共轭高分子表现出了强溶液相聚集行为,F4BDOPV-2T-516形成了最大的聚集体。
图2. F4BDOPV-2T高分子的溶液聚集态。(a)吸收光谱。(b)小角中子散射曲线。
图3展示了三个共轭高分子在微米线中的堆积结构。F4BDOPV-2T高分子的粉末X射线衍射图案如图3(a,b,c)所示,F4BDOPV-2T-120显示出更低的结晶性。此外,由于大平面骨架间的强分子间作用维持了π–π堆积,三个F4BDOPV-2T高分子显示出相近的π–π堆积距离,如图3(g,h,i)所示,烷基侧链造成的空间位阻伴随着骨架间的位移,随着分叉位点远离骨架,在长轴方向分子间的重叠逐渐变大。
图3. 侧链影响的高分子晶体结构。(a,b,c)F4BDOPV-2T高分子的粉末X射线衍射图案。(d,e,f)F4BDOPV-2T高分子沿着π-堆积方向的晶体堆积结构。通过分子模拟获得的高分子堆积结构:(g)π–π堆积距离,(h)短轴位移,(i)长轴位移的统计直方图。
图4(a,b,c)展示了高分子薄膜的2D-掠入射X射线散射,三个高分子均表现出高度有序的edge-on堆积结构。对比高分子微米线的粉末X射线衍射数据,不论是从稀溶液缓慢结晶,还是从浓溶液快速结晶,其聚集行为体现了一致性。此外,在两种情况下,片层间距和π–π距离均与支化位点无关。随着支化位点远离侧链,结晶有序度逐渐增大,此现象与更大的溶液聚集体尺寸对应。
图4. 薄膜微观结构。(a,b,c)2D-掠入射X射线散射。(d)21D-掠入射X射线散射。
图5(a,b,c,d)展示了高分子微米线晶体和薄膜器件中的电荷传输行为。F4BDOPV-2T-516微米线表现出高达10.58 cm2 V−1 s−1的电子迁移率,几乎为F4BDOPV-2T-120的两倍。图5(e)通过密度泛函理论计算了三个高分子在微米线和薄膜中的堆积结构对迁移率的影响,F4BDOPV-2T-516显示出更大的转移积分,从而有利于电荷传输过程。
图5. 微米线晶体和薄膜中的电荷传输。(a)底栅顶接触薄膜晶体管器件。(b)基于微米线的器件迁移率与-CH2间隔基团的关系。(c)顶栅底接触薄膜晶体管器件。(d)基于薄膜的器件迁移率对与-CH2间隔基团的关系。(e)电子转移积分与高分子链间位错的关系。
图6. F4BDOPV-2T高分子的晶体堆积结构、薄膜结构、溶液聚集体、微米线/薄膜场效应晶体管性能。(灰色背景的数据来自微米线晶体,白色背景的数据来自薄膜)。
该研究以Influence of solution-state aggregation on conjugated polymer crystallization in thin films and microwire crystals为题发表在Giant 上。
原文链接:
https://doi.org/10.1016/j.giant.2021.100064
相关进展
免责声明:部分资料来源于网络,转载的目的在于传递更多信息及分享,并不意味着赞同其观点或证实其真实性,也不构成其他建议。仅提供交流平台,不为其版权负责。如涉及侵权,请联系我们及时修改或删除。邮箱:info@polymer.cn
诚邀投稿
欢迎专家学者提供稿件(论文、项目介绍、新技术、学术交流、单位新闻、参会信息、招聘招生等)至info@polymer.cn,并请注明详细联系信息。高分子科技®会及时推送,并同时发布在中国聚合物网上。
欢迎加入微信群 为满足高分子产学研各界同仁的要求,陆续开通了包括高分子专家学者群在内的几十个专项交流群,也包括高分子产业技术、企业家、博士、研究生、媒体期刊会展协会等群,全覆盖高分子产业或领域。目前汇聚了国内外高校科研院所及企业研发中心的上万名顶尖的专家学者、技术人员及企业家。
申请入群,请先加审核微信号PolymerChina (或长按下方二维码),并请一定注明:高分子+姓名+单位+职称(或学位)+领域(或行业),否则不予受理,资格经过审核后入相关专业群。
点
这里“阅读原文”,查看更多


