共轭聚合物具有化学结构易修饰、能带及光谱可调等优势,在有机光电子领域潜力巨大。目前,共轭聚合物的合成主要通过Suzuki、Stille、直接芳基化聚合等交叉偶联方法制备。然而,这些聚合反应普遍在高温条件下进行,不仅消耗能量,而且还会在聚合物中产生难以分离的均聚结构缺陷,从而显著降低材料质量和器件性能。相比高温反应,室温反应有利于降低均聚结构缺陷。在聚合物半导体合成中,目前只有活性聚合或自由基聚合等方法可以实现均聚化合物的制备,化学选择性问题是限制该方法制备交替共轭聚合物的主要问题。因此开发室温交叉偶联新方法,对于降低成本,提高材料品质具有非常重要的研究意义。
中国科学院大学黄辉团队在碳-硫键活化深入研究的基础上(Nat. Chem., 2017, 9, 188. Inorg. Chem., 2018, 57, 9266.),2019年首次将芳香硫醚作为替代芳基卤化物的亲电试剂,应用于有机半导体合成中(Angew. Chem. Int. Ed. 2019, 58, 5044)。芳香硫醚作为亲电试剂,具有独特的反应特性,诸如官能团耐受范围广,因此该策略适用于合成各种有机半导体材料;此外,尽管碳-硫键易于毒化催化剂,合成难度大,但有效的催化剂、添加剂策略仍然可以促进碳-碳键的高效形成(Liebeskind-Srogl Coupling);最后,室温下碳-硫键发生自偶联的概率远低于碳-卤键,所以适合无均聚结构缺陷聚合物的合成。因此,发展碳-硫键活化对于发展共轭高分子的设计与制备具有指导意义。
近期,黄辉/史钦钦团队与美国西北大学Tobin J. Marks教授等课题组合作开发了一种以芳基二硫醚为亲电试剂的室温Stille型交叉偶联聚合方法学。该方法比传统的热激活的Stille偶联反应具有更快的聚合速率和更少的自偶联缺陷,而且底物广泛,是制备聚合物半导体材料的新方法。

图1. C-S键制备聚合物新方法,及与经典热活化方法制备半导体材料的差别
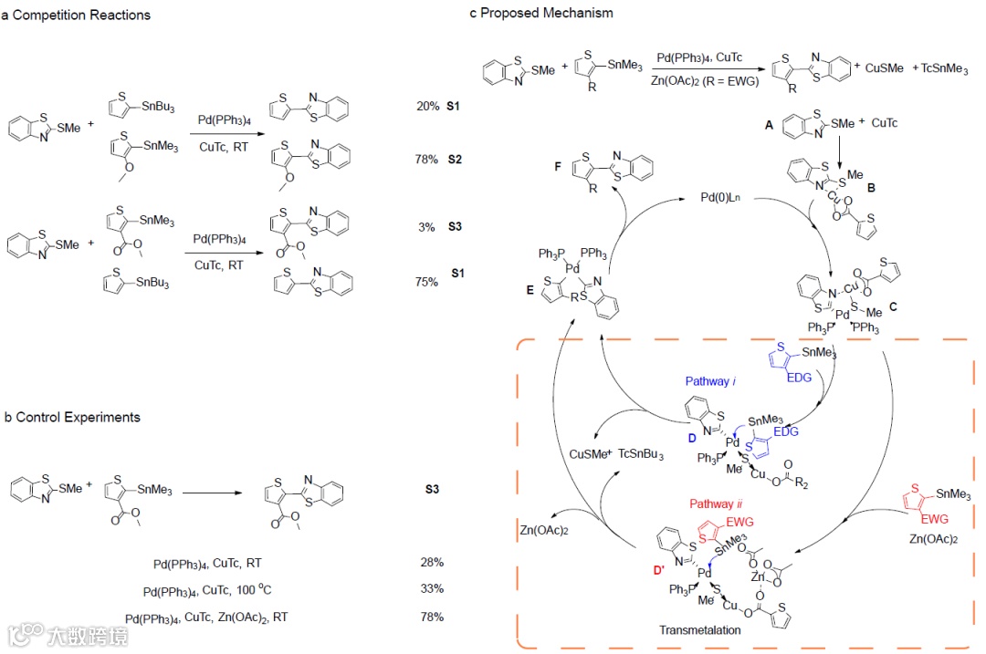
为了进一步理解碳-硫键反应过程中控制反应进行的关键因素,作者通过小分子竞争实验,以及对照试验研究,表明反应的决速步骤主要在于转金属反应历程,并且验证了给电子能力更强的亲核试剂反应速率快,产率高,最后提出了该方法的反应机理。

图2. 机理研究:(a)竞争反应;(b)对照实验研究;(c) 基于C-S断裂的交叉偶联机理。
为了进一步说明新方法较传统Stille偶联制备有机聚合物半导体的优势,作者与化学研究所林禹泽研究员,中国科学院大学张凤娇副教授在材料结构缺陷态、材料薄膜缺陷态密度、及有机电子器件性能方面进行了合作,验证了该方法制备高品质聚合物半导体材料的优势。

图3. 缺陷的研究:(a)自偶联副反应研究; (b) P2-CS(室温C-S活化)、P2-CI(传统Stille)和PBBT(均聚结构缺陷)的分子结构; (c) P2-CS、P2-CI和PBBT的核磁谱图(9.0 ~ 6.5 ppm); (d) P2-CS和P2-CI薄膜缺陷态密度(tDOS); (e) P2-CS薄膜的OFET转移曲线; (f) P2-CI薄膜的OFET转移曲线。
综上,该项工作发展了首个利用碳-硫键活化的Stille交叉偶联聚合。在温和的反应条件下,制备了一系列高温Stille反应难以获得的聚合物半导体材料,从而为合成低成本,高性能的有机/高分子半导体材料提供了新的研究思路。
相关成果以”Efficient Room Temperature Catalytic Synthesis of Alternating Conjugated Copolymers via C-S Bond Activation.”为题发表在Nat. Commun.上,中国科学院大学博士研究生李子杰为第一作者,史钦钦副教授为本文共同第一作者,黄辉教授、史钦钦副教授和Tobin J. Marks教授为本文共同通讯作者。以上工作得到国家自然科学基金委、中科院及国科大的支持。
文章链接:
https://www.nature.com/articles/s41467-021-27832-1
相关进展
高分子科技原创文章。欢迎个人转发和分享,刊物或媒体如需转载,请联系邮箱:info@polymer.cn
诚邀投稿
欢迎专家学者提供稿件(论文、项目介绍、新技术、学术交流、单位新闻、参会信息、招聘招生等)至info@polymer.cn,并请注明详细联系信息。高分子科技®会及时推送,并同时发布在中国聚合物网上。
欢迎加入微信群 为满足高分子产学研各界同仁的要求,陆续开通了包括高分子专家学者群在内的几十个专项交流群,也包括高分子产业技术、企业家、博士、研究生、媒体期刊会展协会等群,全覆盖高分子产业或领域。目前汇聚了国内外高校科研院所及企业研发中心的上万名顶尖的专家学者、技术人员及企业家。
申请入群,请先加审核微信号PolymerChina (或长按下方二维码),并请一定注明:高分子+姓名+单位+职称(或学位)+领域(或行业),否则不予受理,资格经过审核后入相关专业群。
点
这里“阅读原文”,查看更多


