热固性树脂由于其优异的热/力学性能、耐溶剂性、尺寸稳定性等,在粘合剂、涂料、复合材料和电子封装等领域具有广泛应用。然而由于不溶不熔的永久交联网络使热固性树脂及其下游材料如复合材料难以回收,大多被焚烧或填埋,造成极大资源浪费与环境污染。近年来,科研人员将可解离的化学键包括酯、二硫、席夫碱、硼酸酯、缩醛、Diels-Alder加合物、双酮烯胺、六氢均三嗪结构等引入到热固性树脂网络,制备可降解热固性树脂,可解决其回收问题。但目前的研究,缺乏从加工应用角度考虑可降解热固性树脂的分子结构设计。
近日,中科院宁波材料所马松琪研究员、朱锦研究员团队在《Composites Science and Technology》期刊上发表了题为“Degradable benzyl cyclic acetal epoxy monomers with low viscosity: Synthesis, structure-property relationships, application in recyclable carbon fiber composite”的论文(DOI: 10.1016/j.compscitech.2021.109243)。该论文,首次从加工角度设计合成了低粘度可降解环氧单体,可以通过真空辅助树脂传递模塑(VARTM)成型工艺,制备出性能优异的碳纤维复合材料。同时,由于缩醛环氧树脂的降解性,在温和条件了实现了碳纤维的回收。此工作将引导可降解热固性树脂的研究人员从加工和性能两方面去设计分子结构,有利于推动该类树脂的应用。
首先通过图1、图2所示合成路线,合成了环缩醛结构上有甲基和乙基的二羟基化合物和缩醛环氧单体,采用1H NMR、13C NMR、TOF-MS、FTIR等对其结构进行了详细表征(图3)。

图1 含环缩醛结构的二羟基化合物的合成

图2 缩醛环氧单体AEp-1、AEp-2和AEp-3的合成

图3 缩醛环氧的(a)1H NMR、(b)13C NMR、(c)FTIR 和(d)TOF-MS 谱图
合成环氧单体粘度低,在30°C下测得AEp-1、AEp-2和未结晶时的AEp-3的粘度分别为7.3 Pa·s、0.7 Pa·s和5.8 Pa·s,这主要是由于环状缩醛结构上引入乙基或甲基后,环氧单体的规整性被打破,分子间相互作用减弱。通过计算径向分布函数(RDF)来揭示系统在平衡状态下的结构信息发现,三种环氧单体在体相中均匀分布,在较短的模拟时间内没有明显的聚集现象;计算得到的AEp-1、AEp-2和AEp-3的黏度分别为4.814、0.285和3.365 mPa·s,与实验结果的变化趋势一致。计算得到的分子间相互作用能,遵循AEp-1>AEp-3>AEp-2,这也与三种环氧单体粘度规律一致(图4)。

图4 三种环氧单体的粘度行为。(a)三种环氧单体的形貌(AEp-1和AEp-2在室温下为粘性液体,Aep-3最初为粘性液体,随着时间的推移逐渐结晶);(b)三种环氧单体在30 ℃下的粘度;(c)优化后的模拟盒子,分别由120个AEp-1分子、120个AEp-2分子和120个AEp-3分子组成;(d)三种环氧单体的径向分布函数;(e)三种环氧单体的平均分子间相互作用能
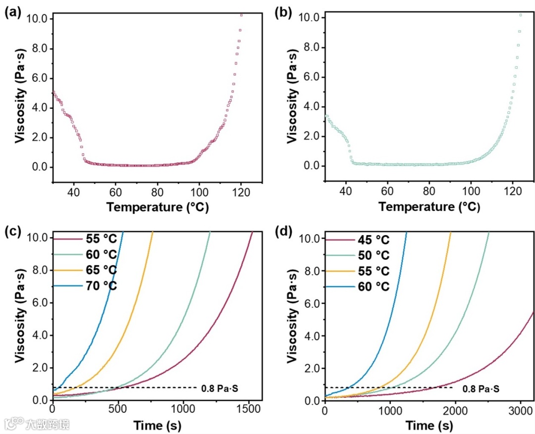
环氧固化体系具有较低的粘度和合适的加工窗口。通过系统的黏度-温度关系(图5a,5b)研究发现,当温度较低时,固化反应程度低,化学变化微弱,物理变化为主,因此该阶段树脂粘度下降较快。随着温度的升高,树脂的固化反应程度逐渐增加,在这一阶段,由于物理变化导致的粘度下降和化学变化导致的粘度增加达到平衡,粘度-温度曲线在一定温度范围内(小于100 ℃)保持较低的粘度。随着温度的进一步升高,树脂固化反应增强,化学变化成为影响粘度变化的主导因素,粘度急剧增加。在黏度-温度曲线的基础上,开展了和黏度-时间关系的研究发现(图5c,5d),AEp-2-IPDA体系的粘度在45 °C下需要1690s才可以达到0.8Pa·s,满足采用VARTM工艺生产大件碳纤维复合材料时,要求树脂体系的粘度为0.1~0.8 Pa·s可以操作20-30分钟的要求。

图5 AEp-1-IPDA和AEp-2-IPDA固化体系的粘度行为。(a) AEp-1-IPDA体系和(b) AEp-2-IPDA体系在升温速率为5°C min-1时的粘温曲线;(c)AEp-1-IPDA体系(55、60、65、70°c)和(d) AEp-2-IPDA体系(45、50、55、60°c)在恒定温度下的粘度-时间曲线
三种环氧单体固化反应活性遵循AEp-2<aep-3<aep-1,这与环氧基团周围的空间位阻有关。对于AEp-2,两个环氧基团的空间位阻最小,其次是AEp-3,AEp-1的空间位阻最大。环氧树脂固化后,通过比较环氧体系固化前后的红外光谱图以及凝胶含量(图6),证明固化反应程度高。固化物具有优异的热、力学性能(图7)。

图6(a)环氧网络形成示意图;(b)基于Kissinger方法的线性拟合曲线;(c) IPDA、AEp-1和Cured AEp-1的红外光谱;(d)三种网络的凝胶含量

图7三种固化环氧树脂的热学性能和力学性能。(a)Tan δ和(b)储存模量随温度变化曲线;(c)TGA和(d)拉伸应力-应变曲线;(e)含-OCH3的环氧单体固化后形成分子内氢键示意图
适合用于制备可回收的碳纤维复合材料(CFRP)。AEp-2-IPDA体系易与T300碳纤维织物(Virgin CF)通过VARTM工艺制备CFRP(Original CFRP),表现出优异的拉伸强度(635.9±24.1 MPa)、杨氏模量(25.5±0.7 GPa)和断裂伸长率(5.9±0.9%)。由于缩醛环氧树脂基体的优异降解性能,复合材料浸泡在0.1mol L- 1HCl丙酮/H2O (9:1,v/v)溶液中室温24 h,可回收碳纤维(1strecycled CF)(图8)。回收碳纤维表面无树脂残留,此外由于回收条件温和,避免了对碳纤维表面形貌、化学成分和机械性能的损伤(图9),使回收的碳纤维可以多次重复使用。再生得到的碳纤维复合材料(Regenerated CFRP),保持了原始碳纤维复合材料的优异热学、力学性能。

图8(a)CFRP的真空辅助树脂传递模塑(VARTM)成型制备和回收示意图;(b)拉伸应力-应变曲线;(c)原始和再生碳纤维复合材料的层间剪切强度(ILSS;(d)Original和Regenerated碳纤维复合材料的动态热力学性能

图9 原始和回收碳纤维的(a)SEM图像,(b)单丝拉伸应力-应变曲线,(c)拉曼光谱和(d)XRD光谱
原文链接:
https://doi.org/10.1016/j.compscitech.2021.109243
相关进展
高分子科技原创文章。欢迎个人转发和分享,刊物或媒体如需转载,请联系邮箱:info@polymer.cn
诚邀投稿
欢迎专家学者提供稿件(论文、项目介绍、新技术、学术交流、单位新闻、参会信息、招聘招生等)至info@polymer.cn,并请注明详细联系信息。高分子科技®会及时推送,并同时发布在中国聚合物网上。
欢迎加入微信群 为满足高分子产学研各界同仁的要求,陆续开通了包括高分子专家学者群在内的几十个专项交流群,也包括高分子产业技术、企业家、博士、研究生、媒体期刊会展协会等群,全覆盖高分子产业或领域。目前汇聚了国内外高校科研院所及企业研发中心的上万名顶尖的专家学者、技术人员及企业家。
申请入群,请先加审核微信号PolymerChina (或长按下方二维码),并请一定注明:高分子+姓名+单位+职称(或学位)+领域(或行业),否则不予受理,资格经过审核后入相关专业群。
点
这里“阅读原文”,查看更多


