有机光伏电池活性层形貌对器件性能具有至关重要的影响。给受体晶体相干长度增加利于载流子传输与收集,共混相含量提高能够促进激子分离效率提高。因此,活性层具有较长的晶体相干长度(CLs)和适宜的共混相含量,对于提高器件性能具有重要意义。然而,对于大多数共混体系而言,相干长度增加与共混相含量提高之间相互矛盾:增加CLs通常会减少混合相含量,导致激子解离界面不足。由此可见,如何在增大给受体晶体相干长度的同时保持适宜的共混相含量,是进一步提高器件能量转换效率的关键。

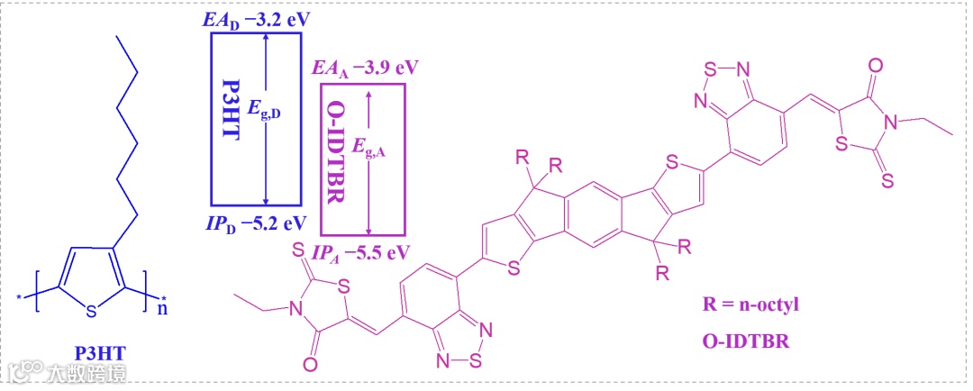
图1.(A)P3HT与O-IDTBR化学结构式及能级结构
前期工作中,刘剑刚教授团队利用溶剂工程实现了P3HT/O-IDTBR共混体系活性层形貌的优化,建立了添加剂沸点及含量与活性层聚集态结构间的关联。(Adv. Funct. Mater. 2019,1807591;J. Energ. Chem. 2020,333)结果表明,提高添加剂含量或者沸点虽然能够有效增加CLs,但共混相降含量随之降低,导致激子分离效率下降,不利于器件能量转换效率的提高。

图2.(A)演示扩散实验过程的示意图。(B)P3HT-H与P3HT-L溶液在滴注后立即和20秒扩散到CB中的图像,虚线标记P3HT溶液的边缘。
针对上述问题,本部分工作中刘剑刚教授团队利用不同分子量P3HT分子本征特性的差异,解决了相干长度增加与共混相含量降低这一矛盾,实现了在活性层共混相含量基本保持恒定的基础上,进一步提高CLs的目标:从动力学角度出发,低分子量P3HT(P3HT-L)分子相较于高分子量P3HT(P3HT-H)扩散能力更强,能够有效降低P3HT-H的缠结程度,利于其自组织结晶,形成较长的CLs;从热力学角度分析,给受体间相容性差异(P3HT-L/O-IDTBR的相容性低于P3HT-H/O-IDTBR的相容性)会驱动P3HT-L分子优先滞留在P3HT-H相区,不影响由P3HT-H和O-IDTBR组成的共混相,使得共混相含量保持恒定。形貌优化后,器件性能从7.03%提高至7.80%,该工作为如何优化聚合物/非富勒烯活性层精细结构提供了新思路。

图3. P3HT-H/O-IDTBR(A)和P3HT-H/O-IDTBR(B)热循环的DSC吸热过程。根据DSC图谱获得P3HT/O-IDTBR共混体系相图(C)。(D)P3HT-H/O-IDTBR和P3HT-H/P3HT-L/O-IDTBR共混体系的纳米结构示意图。
以上成果发表在Small(Small 2021, 2103804)上,该论文第一作者为西北工业大学梁秋菊副教授,通讯作者为西北工业大学刘剑刚教授,共同通讯作者为西北工业大学黄维院士以及中国科技大学焦学琛教授。
论文链接:
https://onlinelibrary.wiley.com/doi/epdf/10.1002/smll.202103804
相关进展
高分子科技原创文章。欢迎个人转发和分享,刊物或媒体如需转载,请联系邮箱:info@polymer.cn
诚邀投稿
欢迎专家学者提供稿件(论文、项目介绍、新技术、学术交流、单位新闻、参会信息、招聘招生等)至info@polymer.cn,并请注明详细联系信息。高分子科技®会及时推送,并同时发布在中国聚合物网上。
欢迎加入微信群 为满足高分子产学研各界同仁的要求,陆续开通了包括高分子专家学者群在内的几十个专项交流群,也包括高分子产业技术、企业家、博士、研究生、媒体期刊会展协会等群,全覆盖高分子产业或领域。目前汇聚了国内外高校科研院所及企业研发中心的上万名顶尖的专家学者、技术人员及企业家。
申请入群,请先加审核微信号PolymerChina (或长按下方二维码),并请一定注明:高分子+姓名+单位+职称(或学位)+领域(或行业),否则不予受理,资格经过审核后入相关专业群。
点
这里“阅读原文”,查看更多


