高性能碳纤维是重要的战略材料,被誉为黑色黄金。碳纤维材料具有超高的拉伸强度和模量以及较低的密度等优点,被广泛应用于航空航天、体育器材和休闲用具等领域。各种碳纤维类型中,尤以聚丙烯腈基(PAN)碳纤维应用最多,研究最广泛,这主要得益于原料易获得、产碳率高和性能优越等特点。然而PAN均聚物由于其较低的亲水性以及热处理过程中过度集中的放热难以直接作为碳纤维的前驱体使用,通常通过共聚的方式,引入能提高分子柔顺性、降低环化反应集中放热的共聚单体,从而得到热性能和可纺性均满足要求的高分子前驱体。理想的前驱体共聚物需满足环化温度低、耐热性好、放热速率低和碳产率高等要求,但目前缺乏对PAN前驱体共聚物的系统性研究,面对众多可与丙烯腈形成共聚物的候选单体,传统的试错法在一次研究里通常只能单一地针对某一个或少数几个单体进行研究,使得前驱体共聚物的研发和创新速度都极为缓慢。

图1. PAN的自由基环化机理(a)、P(AN-co-NVF)的环化机理(b)、各类聚合物的能垒计算值(ΔE) (c)


图2. 本文合成的共聚单体种类及合成流程

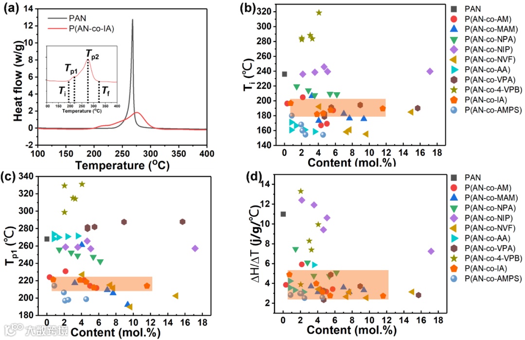
图3. 第一步筛选(差示扫描量热法)
图4. 第二步筛选(热重分析)

图5. 第三步筛选(傅里叶变换变温红外分析)
原文链接:
https://doi.org/10.1016/j.polymer.2022.124570
相关进展
北京化工大学阳庆元教授、仲崇立教授与上海有机所的赵新研究员合作在材料基因组学领域取得重要进展
高分子科技原创文章。欢迎个人转发和分享,刊物或媒体如需转载,请联系邮箱:info@polymer.cn
诚邀投稿
欢迎专家学者提供稿件(论文、项目介绍、新技术、学术交流、单位新闻、参会信息、招聘招生等)至info@polymer.cn,并请注明详细联系信息。高分子科技®会及时推送,并同时发布在中国聚合物网上。
欢迎加入微信群 为满足高分子产学研各界同仁的要求,陆续开通了包括高分子专家学者群在内的几十个专项交流群,也包括高分子产业技术、企业家、博士、研究生、媒体期刊会展协会等群,全覆盖高分子产业或领域。目前汇聚了国内外高校科研院所及企业研发中心的上万名顶尖的专家学者、技术人员及企业家。
申请入群,请先加审核微信号PolymerChina (或长按下方二维码),并请一定注明:高分子+姓名+单位+职称(或学位)+领域(或行业),否则不予受理,资格经过审核后入相关专业群。
点
这里“阅读原文”,查看更多


